GATE rank is calculated using normalized marks, qualifying cutoff and topper performance, and not just marks alone.
- Even a 5-10 mark difference can change the rank by thousands due to heavy competition across 10 lakh candidates.
- Understanding GATE marks, GATE score and GATE rank helps students to predict their IIT/NIT/PSU chances before the results are out.
- Around 10 Lakhs of candidates wait for their GATE 2026 results in order to know their All India Rank.
- However, the result shows marks and score first, while rank depends on the competition and score trends.
This article explains in a simple step-by-step way how to calculate GATE 2026 rank from marks using the official formula, score calculator and marks vs rank trends.
Related Links:
- GATE 2026 Answer Key Out Soon (Live Updates): Check Expected Date and Download PDF
- How to Calculate GATE Score 2026: Normalisation, Marks vs Score vs Rank

Key Summary
- GATE Score is computed on the basis of either raw marks (one session) or on the basis of normalized marks (multiple session) to allow the score to be fair across shifts.
- The scoring system is as follows: marks (out of 100) are transferred into a mark out of 1000, with 350 being the qualifying mark and 900 being the top performer mark.
- Later, this score is converted to All India Rank which determines the admission in IIT/NIT and the possibility of getting a job in PSU.
What is GATE Rank and Why It Matters?
- Your GATE Rank is the AIR in comparison with other applicants who gave the same paper.
- It defines admissions in IITs, NITs, IISc, PSU admissions and scholarships.
Why Rank is More Important Than Marks?
| Factor | Marks | Rank |
|---|---|---|
| Shows performance | Yes | Yes |
| Used for admissions | NO | Yes |
| Used by PSUs | NO | Yes |
| Shows competition level | NO | Yes |
Two students can score similar marks but get different ranks depending on the difficulty and the number of candidates.
Also Read:
| GATE Score 600 means how many marks | GATE Score 800 means how many marks |
| GATE Score 500 means how many marks | GATE Score 700 means how many marks |
Ques. Does GATE result show rank directly?
Ans. Yes, the final GATE outcome will show what is your All India Rank (AIR) as well as mark and score. Though prior to the formal announcement of the final grades, candidates tend to approximate their probable ranks based on marks vs. score and past year rank. This helps to know their probabilities of early admission and shortlisted colleges.
Ques. Is rank same for all papers?
Ans. No, GATE rank is calculated separately for each paper/branch. Since the number of candidates, difficulty level and competition vary across papers, the same marks can result in very different ranks in CSE, Mechanical, Civil, Electrical and other branches.
Different Between GATE Marks vs Rank vs Score
- GATE marks are the actual marks from 100 marks based upon your performance on 65 questions. There is negative marking only for wrong MCQs.
- The marks are normalized into a GATE Score (a score out of 1000), which is used for admissions and PSU recruitment.
- According to the score, the candidates receive All India Rank, which indicates their rank among all the people who took that paper.
| Parameter | GATE Marks | GATE Score | GATE Rank |
|---|---|---|---|
| Meaning | Actual marks obtained in exam | Normalised score calculated from marks | Position among all candidates |
| Scale | Out of 100 | Out of 1000 | All India Rank (AIR) |
| How it is Calculated | Based on correct answers and negative marking (MCQs only) | Based on raw/normalized marks using formula | Based on GATE score comparison |
| Purpose | Shows actual performance in exam | Used for admissions and PSU recruitment | Determines admission chances & PSU selection |
| Importance | Helps estimate score & rank | Most important for IIT/IISc/NIT & PSUs | Helps judge competition level |
| Validity | Valid only for that exam | Valid for 3 years | Valid for that exam year |
Also Check: What will be the GATE 2026 Expected Cutoff for Top Branches
Also Check:
Ques. What is more important regarding admissions and PSU jobs- GATE marks, score or rank?
Ans. In the case of IIT/IISc admissions as well as PSU recruitment, the GATE score and rank is more important than the raw marks as they even out the performance of various sessions and papers. In spite of the fact that marks change every year, institutes primarily shortlist candidates based on their GATE score and All India Rank (AIR).
How to Calculate GATE 2026 Rank from Marks?
To estimate the GATE rank, understand the 4 major processes involved.
Step 1: Raw Marks (Out of 100)
These are the marks you got in the test.
They are calculated as:
- Correct answers mean full marks awarded
- Wrong MCQs means negative marking applied
- 1-mark MCQ: −1/3 mark
- 2-mark MCQ:−2/3 mark
- No negative marking for MSQ and NAT questions
Step 2: Normalized Marks (For Multi-Session Papers)
When exams happen in several shifts, the level of difficulty might be different. So IITs use a normalization formula to adjust marks across sessions and ensure fairness.
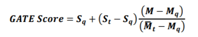
Step 3: GATE Score Calculation
- The formula used for GATE Score Calculation is-

where,
- M: marks obtained in GATE (actual marks for single session papers and normalized marks for multi-session papers)
- Mq: Qualifying marks for general category candidate in GATE paper
- Mt: Mean of marks of top 0.1% or top 10 (whichever is larger) of candidates who appeared for GATE (in case of multi-session papers including all sessions)
- Sq: 350, is the score assigned to Mq
- St: 900, is the score assigned to Mt
Check: How to Calculate GATE 2026 Score using a Calculator
Step 4: All India Rank (AIR)
- Lastly, the candidates will be shortlisted according to the GATE score.
- Higher score means Better rank.
- This AIR is used for IIT/IISc/NIT admissions and PSU recruitment.
Ques. Is GATE rank calculated directly from raw marks?
Ans. No, GATE rank is not calculated directly from raw marks. Raw marks are first normalized (if needed) and then converted into a GATE score, and the rank is prepared based on that score.
GATE Marks vs Rank vs Opportunities
- The GATE cutoff of the General category in the past few years has been about 25-27 marks.
- A score of about 30 marks is often just a pass and does not offer significant admission and employment chances.
- A total of 50 or higher marks is regarded as strong and may provide opportunities in IIT, IISc, and admission to good institutes.
- A target score of 60-70 marks are the perfect goal towards top ranks and improved career opportunities.
| GATE Marks Range | Expected Rank Range | What It Means / Opportunities |
|---|---|---|
| 70+ marks | Among toppers | Excellent score. Very high chances of top IIT/IISc admission and PSU shortlisting. |
| 60+ marks | Top 100 / Two-digit rank | Elite level. Eligible for PhD across IITs/IISc/NITs, ISRO, DRDO, BARC and PSU opportunities. High chance of top IIT selection. |
| 50-60 marks | Rank 100 - 300 | Strong score. There are high probabilities of interview calls from top IITs (IIT Delhi, IIT Bombay, IIT Madras, IIT Kanpur), IISc, IISERs. |
| 40-50 marks | Rank 300 - 800 | Fair score. Chances of interview calls from IITs, IISERs and NITs. May not guarantee top IITs. |
| 30-40 marks | Rank 800 - 2500 | Qualified but highly competitive range. Possible PhD/interview calls from some NITs. Not considered a safe score. |
| 25-30 marks | Near cutoff / Borderline | Very risky zone. You may or may not qualify depending on paper difficulty. |

Check:
| What is the rank of 40 marks in GATE |
| What is the rank of 60 marks in GATE |
| What is the rank of 70 marks in GATE |
Check the Video by Noorul Huda, He has explained about the expected marks vs Rank for GATE 2026
Also Read: Check GATE Score 500 Means how many marks?
Ques. Does higher accuracy affect GATE rank?
Ans. Yes, accuracy is important since the lesser the wrong answers, the lesser the negative marks and hence better the final marks, score and eventual rank.
Calculating the GATE 2026 rank in terms of marks is not precise. However, it is very predictable based on the official score formula and past trends. Candidates are able to estimate their admission chances early and make wiser counselling decisions by transforming the marks into score and comparing the marks with the mark vs rank data.
Related News:





Comments