JEE Main 3 April Shift 1 Question Paper is available here for free download. JEE Main April 3 Shift 1 Exam was conducted from 9:00 am to 12:00 pm. Students who are appearing for JEE Main upcoming shifts can check the JEE Main April 3 Shift 1 Question Paper Pdf to understand the difficulty level of the exam.
JEE Main April 3 Shift 1 was conducted by NTA in CBT mode. JEE Main B.E /B.Tech exam includes- Physics, Chemistry and Mathematics. In JEE Main April 3 Shift 1 students are required to attempt 75 questions following a marking scheme of +4 for correct answers and -1 for incorrect ones. You can find JEE Main April 3 Shift 1 Answer key here.
The Memory-Based Question Paper for JEE Main April 3 Shift 1 for B.E/B. Tech Paper is available for download. The second shift of JEE Main April 3 shift 2 is scheduled from 3:00 pm to 6:00 pm.
JEE Main 2025 April 3 Shift 1 Question Paper with Solutions
| JEE Main 2025 April 3 Shift 1 Question Paper Pdf | Download PDF | View Solution |

Let \( A \) be a matrix of order \( 3 \times 3 \) and \( |A| = 5 \). If \( |2 \, adj(3A \, adj(2A))| = 2^{\alpha} \cdot 3^{\beta} \cdot 5^{\gamma}, \alpha, \beta, \gamma \in \mathbb{N} \) then \( \alpha + \beta + \gamma \) is equal to
View Solution
Let a line passing through the point \( (4,1,0) \) intersect the line \( L_1: \frac{x - 1}{2} = \frac{y - 2}{3} = \frac{z - 3}{4} \) at the point \( A(\alpha, \beta, \gamma) \) and the line \( L_2: x - 6 = y = -z + 4 \) at the point \( B(a, b, c) \). Then \( \begin{vmatrix} 1 & 0 & 1\\ \alpha & \beta & \gamma \\ a & b & c \end{vmatrix} \text{is equal to} \)
View Solution
Let \( \alpha \) and \( \beta \) be the roots of \( x^2 + \sqrt{3}x - 16 = 0 \), and \( \gamma \) and \( \delta \) be the roots of \( x^2 + 3x - 1 = 0 \). If \( P_n = \alpha^n + \beta^n \) and \( Q_n = \gamma^n + \delta^n \), then \( \frac{P_{25} + \sqrt{3}P_{24}}{2P_{23}} + \frac{Q_{25} - Q_{23}}{Q_{24}} \text{is equal to} \)
View Solution
The sum of all rational terms in the expansion of \( \left( 2 + \sqrt{3} \right)^8 \) is
View Solution
Let A = {-3,-2,-1,0,1,2,3}. Let R be a relation on A defined by xRy if and only if \( 0 \le x^2 + 2y \le 4 \). Let \( l \) be the number of elements in R and m be the minimum number of elements required to be added in R to make it a reflexive relation. then \( l + m \) is equal to
View Solution
A line passing through the point P\((\sqrt{5}, \sqrt{5})\) intersects the ellipse \( \frac{x^2}{36} + \frac{y^2}{25} = 1 \) at A and B such that (PA).(PB) is maximum. Then 5(PA\(^2\) + PB\(^2\)) is equal to :
View Solution
The sum 1 + 3 + 11 + 25 + 45 + 71 + ... upto 20 terms, is equal to
View Solution
If the domain of the function \( f(x) = \log_e \left( \frac{2x-3}{5+4x} \right) + \sin^{-1} \left( \frac{4+3x}{2-x} \right) \) is \( [\alpha, \beta] \), then \( \alpha^2 + 4\beta \) is equal to
View Solution
If \( \sum_{r=1}^{9} \left( \frac{r+3}{2^r} \right) \cdot {^9C_r} = \alpha \left( \frac{3}{2} \right)^9 - \beta \), \( \alpha, \beta \in \mathbb{N} \), then \( (\alpha + \beta)^2 \) is equal to
View Solution
The number of solutions of the equation \( 2x + 3\tan x = \pi \), \( x \in [-2\pi, 2\pi] - \left\{ \pm \frac{\pi}{2}, \pm \frac{3\pi}{2} \right\} \) is
View Solution
If \( y(x) = \begin{vmatrix} \sin x & \cos x & \sin x + \cos x + 1
27 & 28 & 27
1 & 1 & 1 \end{vmatrix} \), \( x \in \mathbb{R} \), then \( \frac{d^2y}{dx^2} + y \) is equal to
View Solution
Let g be a differentiable function such that \( \int_0^x g(t) dt = x - \int_0^x tg(t) dt \), \( x \ge 0 \) and let \( y = y(x) \) satisfy the differential equation \( \frac{dy}{dx} - y \tan x = 2(x+1) \sec x g(x) \), \( x \in \left[ 0, \frac{\pi}{2} \right) \). If \( y(0) = 0 \), then \( y\left( \frac{\pi}{3} \right) \) is equal to
View Solution
A line passes through the origin and makes equal angles with the positive coordinate axes. It intersects the lines \( L_1 : 2x + y + 6 = 0 \) and \( L_2 : 4x + 2y - p = 0 \), \( p > 0 \), at the points A and B, respectively. If \( AB = \frac{9}{\sqrt{2}} \) and the foot of the perpendicular from the point A on the line \( L_2 \) is M, then \( \frac{AM}{BM} \) is equal to
View Solution
Let \( z \in \mathbb{C} \) be such that \( \frac{z+3i}{z-2+i} = 2+3i \). Then the sum of all possible values of \( z \) is
View Solution
Let \( f(x) = \int x^3 \sqrt{3-x^2} dx \). If \( 5f(\sqrt{2}) = -4 \), then \( f(1) \) is equal to
View Solution
Let \( a_1, a_2, a_3, ... \) be a G.P. of increasing positive numbers. If \( a_3 a_5 = 729 \) and \( a_2 + a_4 = \frac{111}{4} \), then \( 24(a_1 + a_2 + a_3) \) is equal to
View Solution
Let the domain of the function \( f(x) = \log_2 \log_4 \log_6 (3 + 4x - x^2) \) be (a, b). If \( \int_0^{a+b} [x^2] dx = p - q\sqrt{r} \), \( p, q, r \in \mathbb{N} \), gcd(p, q, r) = 1, where [.] is the greatest integer function, then p + q + r is equal to
View Solution
The radius of the smallest circle which touches the parabolas \( y = x^2 + 2 \) and \( x = y^2 + 2 \) is
View Solution
Let \( f(x) = \begin{cases} (1+ax)^{1/x} & , x < 0
1+b & , x = 0
\frac{(x+4)^{1/2} - 2}{(x+c)^{1/3} - 2} & , x > 0 \end{cases} \) be continuous at x = 0. Then \( e^a bc \) is equal to
View Solution
Line \( L_1 \) passes through the point (1, 2, 3) and is parallel to z-axis. Line \( L_2 \) passes through the point \( (\lambda, 5, 6) \) and is parallel to y-axis. Let for \( \lambda = \lambda_1, \lambda_2, \lambda_2 < \lambda_1 \), the shortest distance between the two lines be 3. Then the square of the distance of the point \( (\lambda_1, \lambda_2, 7) \) from the line \( L_1 \) is
View Solution
All five letter words are made using all the letters A, B, C, D, E and arranged as in an English dictionary with serial numbers. Let the word at serial number \( n \) be denoted by \( W_n \). Let the probability \( P(W_n) \) of choosing the word \( W_n \) satisfy \( P(W_n) = 2P(W_{n-1}) \), \( n > 1 \). If \( P(CDBEA) = \frac{2^\alpha}{2^\beta - 1} \), \( \alpha, \beta \in \mathbb{N} \), then \( \alpha + \beta \) is equal to :
View Solution
Let the product of the focal distances of the point P(4, \( 2\sqrt{3} \)) on the hyperbola H: \( \frac{x^2}{a^2} - \frac{y^2}{b^2} = 1 \) be 32. Let the length of the conjugate axis of H be p and the length of its latus rectum be q. Then \( p^2 + q^2 \) is equal to .....
View Solution
Let \( \vec{a} = \hat{i} + \hat{j} + \hat{k} \), \( \vec{b} = 3\hat{i} + 2\hat{j} - \hat{k} \), \( \vec{c} = \lambda \hat{j} + \mu \hat{k} \) and \( \hat{d} \) be a unit vector such that \( \vec{a} \times \hat{d} = \vec{b} \times \hat{d} \) and \( \vec{c} \cdot \hat{d} = 1 \). If \( \vec{c} \) is perpendicular to \( \vec{a} \), then \( |3\lambda \hat{d} + \mu \vec{c}|^2 \) is equal to ____.
View Solution
If the number of seven-digit numbers, such that the sum of their digits is even, is \( m \cdot n \cdot 10^a \); \( m, n \in \{1, 2, 3, ..., 9\} \), then \( m + n \) is equal to
View Solution
The area of the region bounded by the curve \( y = \max\{|x|, |x-2|\} \), then x-axis and the lines x = -2 and x = 4 is equal to ____.
View Solution
During the melting of a slab of ice at 273 K at atmospheric pressure:
View Solution
Consider a completely full cylindrical water tank of height 1.6 m and cross-sectional area 0.5 \( m^2 \). It has a small hole in its side at a height 90 cm from the bottom. Assume, the cross-sectional area of the hole to be negligibly small as compared to that of the water tank. If a load 50 kg is applied at the top surface of the water in the tank then the velocity of the water coming out at the instant when the hole is opened is : (g = 10 \( m/s^2 \))
View Solution
Choose the correct logic circuit for the given truth table having inputs A and B.
A & B & Y
0 & 0 & 0
0 & 1 & 0
1 & 0 & 1
1 & 1 & 1
View Solution
The radiation pressure exerted by a 450 W light source on a perfectly reflecting surface placed at 2m away from it, is :
View Solution
A wire of length \( 25 \, m \) and cross-sectional area \( 5 \, mm^2 \) having resistivity \( 2 \times 10^{-6} \, \Omega \cdot m \) is bent into a complete circle. The resistance between diametrically opposite points will be:
View Solution
Two blocks of masses m and M, (M > m), are placed on a frictionless table as shown in figure. A massless spring with spring constant k is attached with the lower block. If the system is slightly displaced and released then (\( \mu \) = coefficient of friction between the two blocks)
View Solution
Which of the following curves possibly represent one-dimensional motion of a particle?
View Solution
A parallel plate capacitor is filled equally (half) with two dielectrics of dielectric constant \( \epsilon_1 \) and \( \epsilon_2 \), as shown in figures. The distance between the plates is d and area of each plate is A. If capacitance in first configuration and second configuration are \( C_1 \) and \( C_2 \) respectively, then \( \frac{C_1}{C_2} \) is:
View Solution
Match the LIST-I with LIST-II
LIST-I LIST-II
A. Gravitational constant I. \( [LT^{-2}] \)
B. Gravitational potential energy II. \( [L^2T^{-2}] \)
C. Gravitational potential III. \( [ML^2T^{-2}] \)
D. Acceleration due to gravity IV. \( [M^{-1}L^3T^{-2}] \)
Choose the correct answer from the options given below :
View Solution
A force of 49 N acts tangentially at the highest point of a sphere (solid) of mass 20 kg, kept on a rough horizontal plane. If the sphere rolls without slipping, then the acceleration of the center of the sphere is
View Solution
A piston of mass M is hung from a massless spring whose restoring force law goes as F = -kx, where k is the spring constant of appropriate dimension. The piston separates the vertical chamber into two parts, where the bottom part is filled with 'n' moles of an ideal gas. An external work is done on the gas isothermally (at a constant temperature T) with the help of a heating filament (with negligible volume) mounted in lower part of the chamber, so that the piston goes up from a height \( L_0 \) to \( L_1 \), the total energy delivered by the filament is (Assume spring to be in its natural length before heating)
View Solution
A gas is kept in a container having walls which are thermally non-conducting. Initially the gas has a volume of 800 \( cm^3 \) and temperature 27°C. The change in temperature when the gas is adiabatically compressed to 200 \( cm^3 \) is: (Take \( \gamma \) = 1.5 : \( \gamma \) is the ratio of specific heats at constant pressure and at constant volume)
View Solution
Match the LIST-I with LIST-II
\LIST-I LIST-II
A. \( ^{236}_{92} U \rightarrow ^{94}_{38} Sr + ^{140}_{54} Xe + 2n \) I. Chemical Reaction
B. \( 2H_2 + O_2 \rightarrow 2H_2O \) II. Fusion with +ve Q value
C. \( ^3_1 H + ^2_1 H \rightarrow ^4_2 He + n \) III. Fission
D. \( ^1_1 H + ^3_1 H \rightarrow ^4_2 H + \gamma \) IV. Fusion with -ve Q value
Choose the correct answer from the options given below :
View Solution
The electrostatic potential on the surface of uniformly charged spherical shell of radius R = 10 cm is 120 V. The potential at the centre of shell, at a distance r = 5 cm from centre, and at a distance r = 15 cm from the centre of the shell respectively, are:
View Solution
The work function of a metal is 3 eV. The color of the visible light that is required to cause emission of photoelectrons is
View Solution
A particle is released from height S above the surface of the earth. At certain height its kinetic energy is three times its potential energy. The height from the surface of the earth and the speed of the particle at that instant are respectively.
View Solution
A person measures mass of 3 different particles as 435.42 g, 226.3 g and 0.125 g. According to the rules for arithmetic operations with significant figures, the additions of the masses of 3 particles will be.
View Solution
The radii of curvature for a thin convex lens are 10 cm and 15 cm respectively. The focal length of the lens is 12 cm. The refractive index of the lens material is
View Solution
The angle of projection of a particle is measured from the vertical axis as \( \phi \) and the maximum height reached by the particle is \( h_m \). Here \( h_m \) as function of \( \phi \) can be presented as
Consider following statements for refraction of light through prism, when angle of deviation is minimum.
View Solution
Three identical spheres of mass m, are placed at the vertices of an equilateral triangle of length a. When released, they interact only through gravitational force and collide after a time T = 4 seconds. If the sides of the triangle are increased to length 2a and also the masses of the spheres are made 2m, then they will collide after ______ seconds.
View Solution
A 4.0 cm long straight wire carrying a current of 8A is placed perpendicular to an uniform magnetic field of strength 0.15 T. The magnetic force on the wire is ______ mN.
View Solution
Two coherent monochromatic light beams of intensities 4I and 9I are superimposed. The difference between the maximum and minimum intensities in the resulting interference pattern is xI. The value of x is ______.
View Solution
A loop ABCD, carrying current \( I = 12 \, A \), is placed in a plane, consists of two semi-circular segments of radius \( R_1 = 6\pi \, m \) and \( R_2 = 4\pi \, m \). The magnitude of the resultant magnetic field at center O is \( k \times 10^{-7} \, T \). The value of \( k \) is ______ (Given \( \mu_0 = 4\pi \times 10^{-7} \, T m A^{-1} \))
View Solution
In the figure shown below, a resistance of 150.4 \( \Omega \) is connected in series to an ammeter A of resistance 240 \( \Omega \). A shunt resistance of 10 \( \Omega \) is connected in parallel with the ammeter. The reading of the ammeter is ______ mA.
View Solution
Which of the following postulate of Bohr's model of hydrogen atom in not in agreement with quantum mechanical model of an atom ?
View Solution
Given below are two statements:
Statement I : The N-N single bond is weaker and longer than that of P-P single bond
Statement II : Compounds of group 15 elements in +3 oxidation states readily undergo disproportionation reactions.
In the light of above statements, choose the correct answer from the options given below
View Solution
Given below are two statements:
Statement I: A catalyst cannot alter the equilibrium constant (\( K_c \)) of the reaction, temperature remaining constant.
Statement II: A homogeneous catalyst can change the equilibrium composition of a system, temperature remaining constant.
In the light of the above statements, choose the correct answer from the options given below.
View Solution
The metal ions that have the calculated spin only magnetic moment value of 4.9 B.M. are
A. \( Cr^{2+} \)
B. \( Fe^{2+} \)
C. \( Fe^{3+} \)
D. \( Co^{2+} \)
E. \( Mn^{2+} \)
Choose the correct answer from the options given below
View Solution
In a reaction A + B → C, initial concentrations of A and B are related as \( [A]_0 = 8[B]_0 \). The half lives of A and B are 10 min and 40 min, respectively. If they start to disappear at the same time, both following first order kinetics, after how much time will the concentration of both the reactants be same?
View Solution
Which of the following is the correct structure of L-fructose?
View Solution
Identify the correct statements from the following
A. 
B. ![]()
C. ![]()
D. ![]()
Choose the correct answer from the options given below
View Solution
Among \( 10^{-10} \) g (each) of the following elements, which one will have the highest number of atoms?
Element : Pb, Po, Pr and Pt
View Solution
Which of the following statements are correct?
A. The process of the addition an electron to a neutral gaseous atom is always exothermic
B. The process of removing an electron from an isolated gaseous atom is always endothermic
C. The 1st ionization energy of the boron is less than that of the beryllium
D. The electronegativity of C is 2.5 in \( CH_4 \) and \( CCl_4 \)
E. Li is the most electropositive among elements of group 1
Choose the correct answer from the options given below
View Solution
Which of the following properties will change when system containing solution 1 will become solution 2 ?
View Solution
Number of molecules from below which cannot give iodoform reaction is:
Ethanol, Isopropyl alcohol, Bromoacetone, 2-Butanol, 2-Butanone, Butanal, 2-Pentanone, 3-Pentanone, Pentanal and 3-Pentanol
View Solution
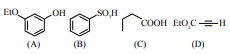
Identify [A], [B], and [C], respectively in the following reaction sequence :
View Solution
In the following reactions, which one is NOT correct?
View Solution
The correct order of the complexes
[5pt] \([Co(NH_3)_5(H_2O)]^{3+}\) (A),
[3pt] \([Co(NH_3)_6]^{3+}\) (B),
[3pt] \([Co(CN)_6]^{3-}\) (C),
[3pt] \([CoCl(NH_3)_5]^{2+}\) (D)
[5pt]
in terms of wavelength of light absorbed is:
View Solution
In the following system, \( PCl_5(g) \rightleftharpoons PCl_3(g) + Cl_2(g) \) at equilibrium, upon addition of xenon gas at constant T and p, the concentration of
View Solution
2 moles each of ethylene glycol and glucose are dissolved in 500 g of water. The boiling point of the resulting solution is: (Given: Ebullioscopic constant of water = \( 0.52 \, K kg mol^{-1} \))
View Solution
Which compound would give 3-methyl-6-oxoheptanal upon ozonolysis ?
View Solution
Match the LIST-I with LIST-II
LIST-I LIST-II
A. \( PF_5 \) I. \( dsp^2 \)
B. \( SF_6 \) II. \( sp^3d \)
C. \( Ni(CO)_4 \) III. \( sp^3d^2 \)
D. \( [PtCl_4]^{2-} \) IV. \( sp^3 \)
Choose the correct answer from the options given below :
View Solution
The least acidic compound, among the following is

View Solution
Correct order of limiting molar conductivity for cations in water at 298 K is :
View Solution
During estimation of Nitrogen by Dumas' method of compound X (0.42 g) :

mL of \( N_2 \) gas will be liberated at STP. (nearest integer)
\text{(Given molar mass in g mol^{-1\text{ : C : 12, H : 1, N : 14)
View Solution
0.5 g of an organic compound on combustion gave 1.46 g of \( CO_2 \) and 0.9 g of \( H_2O \). The percentage of carbon in the compound is ______ (Nearest integer)
\text{(Given : Molar mass (in g mol^{-1\text{) C : 12, H : 1, O : 16)
View Solution
The number of optical isomers exhibited by the iron complex (A) obtained from the following reaction is ______ \( FeCl_3 + KOH + H_2C_2O_4 \rightarrow A \)
View Solution
Given: \( \Delta H_f^0 [C(graphite)] = 710 \) kJ mol⁻¹ \( \Delta_c H^0 = 414 \) kJ mol⁻¹ \( \Delta_{H-H}^0 = 436 \) kJ mol⁻¹ \( \Delta_{C-H}^0 = 611 \) kJ mol⁻¹
{The \Delta H_{C=C^0 \text{ for CH_2=CH_2 \text{ is ______ \text{ kJ mol^{-1 \text{ (nearest integer value)
View Solution
Consider the following reactions \( A + HCl + H_2SO_4 \rightarrow CrO_2Cl_2 + Side Products \)
Little amount \( CrO_2Cl_2(vapour) + NaOH \rightarrow B + NaCl + H_2O \) \( B + H^+ \rightarrow C + H_2O \)
The number of terminal 'O' present in the compound 'C' is ______
View Solution
JEE Main 2025 April 3 Shift 1 Question Paper With Video Solutions
The JEE Main 2025 April 3 Question Paper with Video Solutions is available here. Students can match their responses with the JEE Main 2025 April 3 Shift 1 Answer key with Solutions. Students who are appearing for JEE Main upcoming shifts can check the JEE Main April 3 Shift 1 Question Paper and video solution to understand the difficulty level of the exam.
JEE Main 2025 April 3 Shift 1 Difficulty Level Analysis
The Mathematics Section of JEE Main April 3 shift 1 was challenging and time-consuming. The Chemistry and Physics Section of JEE Main April 3 shift 1 was easy. Important topics in JEE Main 2025 Shift 1 include- Calculus, Probability, Algebra, Organic Chemistry, Chemical Bonding. The subject-wise test analysis of the JEE Main 2025 April 3 Shift 1 Question Paper will be released shortly.
Related Links:
- JEE Main 2025 Question Paper pdf with solutions
- JEE Main Previous Years Question Paper with Solution PDF
JEE Main 2025 April 3 Shift 1 Answer Key: Coaching Institute PDF
| Coaching Institutes | Question Paper with Solutions PDF |
|---|---|
| Aakash BYJUs | Download Now |
| Resonance | Download Now |
| Vedantu | Download Now |
| Sri Chaitanya | Download Now |
| Allen Institute | Download Now |
JEE Main Marking Scheme 2025
For JEE Main Paper 1(B.E/BTech), students are required to attempt 75 questions following a marking scheme of +4 for correct answers and -1 for incorrect ones. The marking scheme is the same across Physics, Chemistry, and Mathematics sections totaling to 300 marks.
| Paper | Sections | Questions | Marks | Marking Scheme |
|---|---|---|---|---|
| Paper 1 | Physics, Chemistry, Mathematics | 75 Questions (25 Physics, 25 Chemistry, 25 Mathematics) | 300 total |
|
JEE Main 2025 Marking Criteria for Wrong Questions
If a Question is found to be wrong in JEE Main 2025 Exam, NTA uses the following criteria to mark student for the Questions
For MCQs
- If more than one Question is incorrect, then +4 marks are awarded to all those students who mark any of the two correct answers.
- If all options are correct , then +4 marks are awarded to all who attempted the Question.
- If all Questions are wrong then or none of the provided options are correct then +4 marks are awarded to all students who appeared for the exam whether they have attempted it or not.
For Numerical Questions
- If the Question is incorrect, then +4 marks are awarded to all students who have attempted the question.
- The answer to the numerical value Question shall be rounded off to the nearest value.
Once you calculate your expected marks, you can review the JEE Main Question papers to improve your preparation.
You can check:








Comments