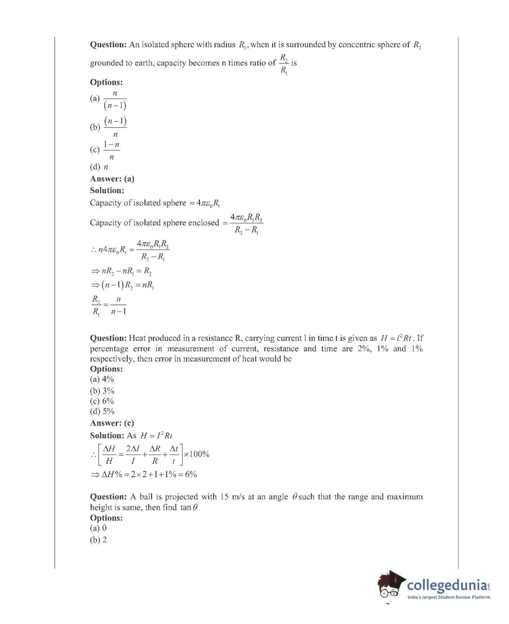
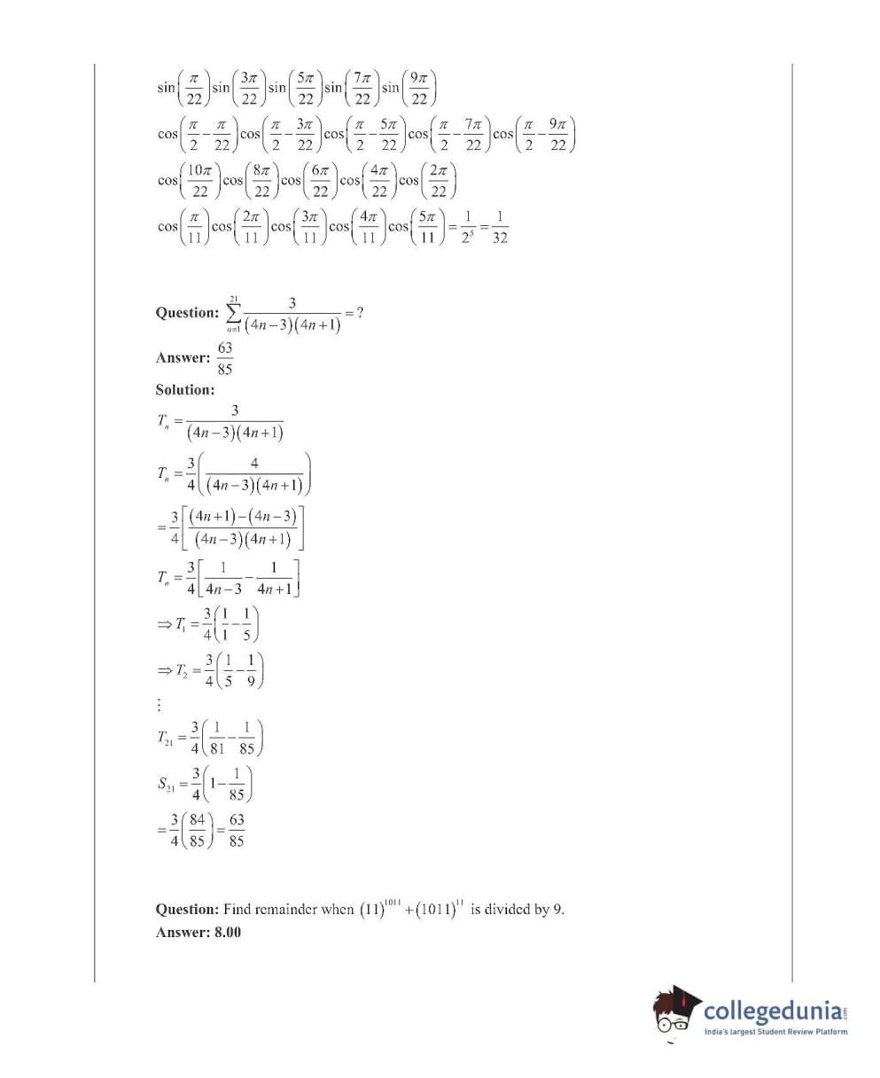
JEE Main 2022 July 25 Shift 2 Question Paper with Solution PDF is available for download. NTA has conducted JEE Main 2022 July 25 Shift 2 for B.E./ B.Tech paper. JEE Main 2022 Question Paper for B.Tech comprises of total 90 questions with 30 questions in each section- Physics, Chemistry and Mathematics (20 MCQs and 10 numerical type). Candidates have to answer any 5 numerical questions in JEE Main 2022 July 25 Shift 2 Question Paper. As per the initial students’ reaction, JEE Main 2022 July 25 Shift 2 paper has been reported as moderate. The Mathematics section was lengthy but moderate, Physics was easy to moderate and Chemistry was easy.
Related Links:
- Download JEE Main Previous Year Question Papers PDF with Solutions
- Download JEE Main 2025 Question Paper for all Shifts
JEE Main 2022 July 25 Shift 2 Question Paper with Solution PDF
| Subject | Question Paper with Solution PDF |
|---|---|
| Physics | Download PDF |
| Chemistry | Download PDF |
| Mathematics | Download PDF |
Also Check:
JEE Main 2022 Phase 2 Question Papers with Solution PDFs
Candidates can also check shift-wise JEE Main 2022 Phase 2 Question Papers with Solution PDFs. These shift-wise question paper PDFs for JEE Main 2022 will help candidates know the overall difficulty, topics with the highest weightage and the type of questions asked in the exam.
JEE Main 2022 Phase 1 Question Papers with Solution PDFs
Shift-wise JEE Main 2022 Phase 1 Question Papers with Solution PDFs are also available. Candidates preparing for Phase 2 of the exam can check and download JEE Main Question Paper PDFs to practice and test their exam prep level.
Also Check:



Comments