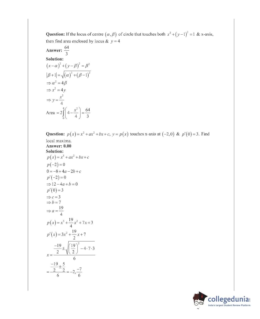
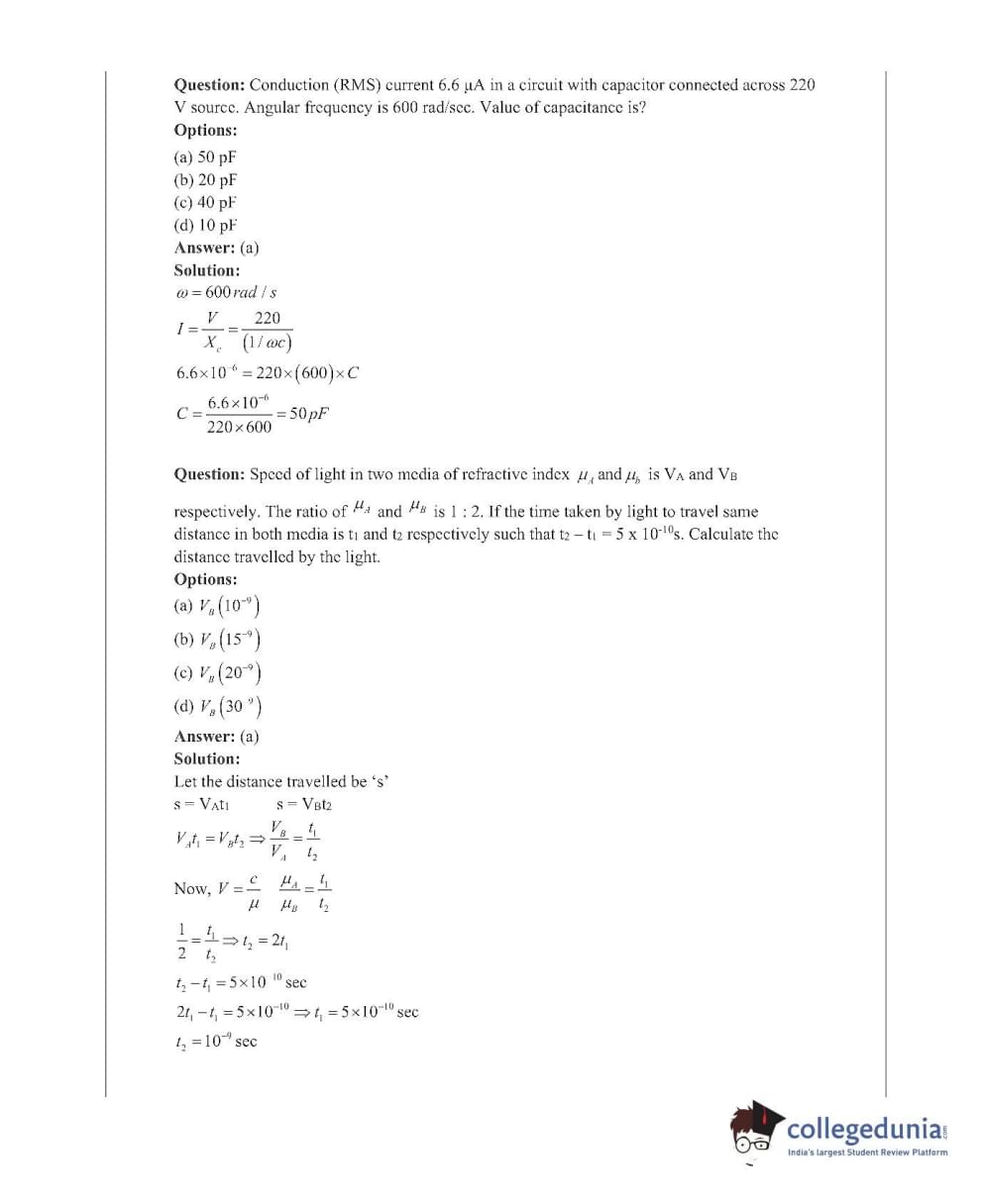
JEE Main 2022 July 25 Shift 1 Question Paper with Solution PDF is available for download. NTA has conducted JEE Main 2022 July 25 Shift 1 paper for B.E./ B.Tech. JEE Main 2022 Question Paper for B.Tech comprises of total 90 questions with 30 questions in each section- Physics, Chemistry and Mathematics (20 MCQs and 10 numerical type). Candidates have to answer any 5 numerical questions in JEE Main 2022 July 25 Shift 1 Question Paper. As per the students’ reaction, the Mathematics section in JEE Main 2022 July 25 Shift 1 Question Paper was the toughest among the three. Candidates rated Physics and Chemistry as easy. The overall difficulty of the question paper was reported as moderate.
Related Links:
- Download JEE Main Previous Year Question Papers PDF with Solutions
- Download JEE Main 2025 Question Paper for all Shifts
JEE Main 2022 July 25 Shift 1 Question Paper with Solution PDF
| Subject | Question Paper PDF |
|---|---|
| Physics | Download PDF |
| Chemistry | Download PDF |
| Mathematics | Download PDF |
Also Check:
JEE Main 2022 Phase 2 Question Paper with Solution PDF
Candidates can also check shift-wise JEE Main 2022 Phase 2 Question Paper with Solution PDFs. These shift-wise question paper PDFs for JEE Main 2022 will help candidates know the overall difficulty, topics with the highest weightage and the type of questions asked in the exam.
JEE Main 2022 Phase 1 Question Paper with Solution PDF
Shift-wise JEE Main 2022 Phase 1 Question Paper with Solution PDFs are also available. Candidates preparing for Phase 2 of the exam can check and download JEE Main Question Paper PDFs to practice and test their exam prep level.
Also Check:



Comments