CBSE Class 12 Mathematics Question Paper 2024 PDF (Set 3- 65/5/3) is available for download here. CBSE conducted the Mathematics exam on March 9, 2024 from 10:30 AM to 1:30 PM. The total marks for the theory paper are 80. The question paper contains 20% MCQ-based questions, 40% competency-based questions, and 40% short and long answer type questions.
CBSE Class 12 Mathematics Question Paper 2024 (Set 3- 65/5/3) with Answer Key
| CBSE Class 12 2024 Mathematics Question Paper with Answer Key | Check Solution |

CBSE Class 12 2024 Mathematics Questions with Solutions
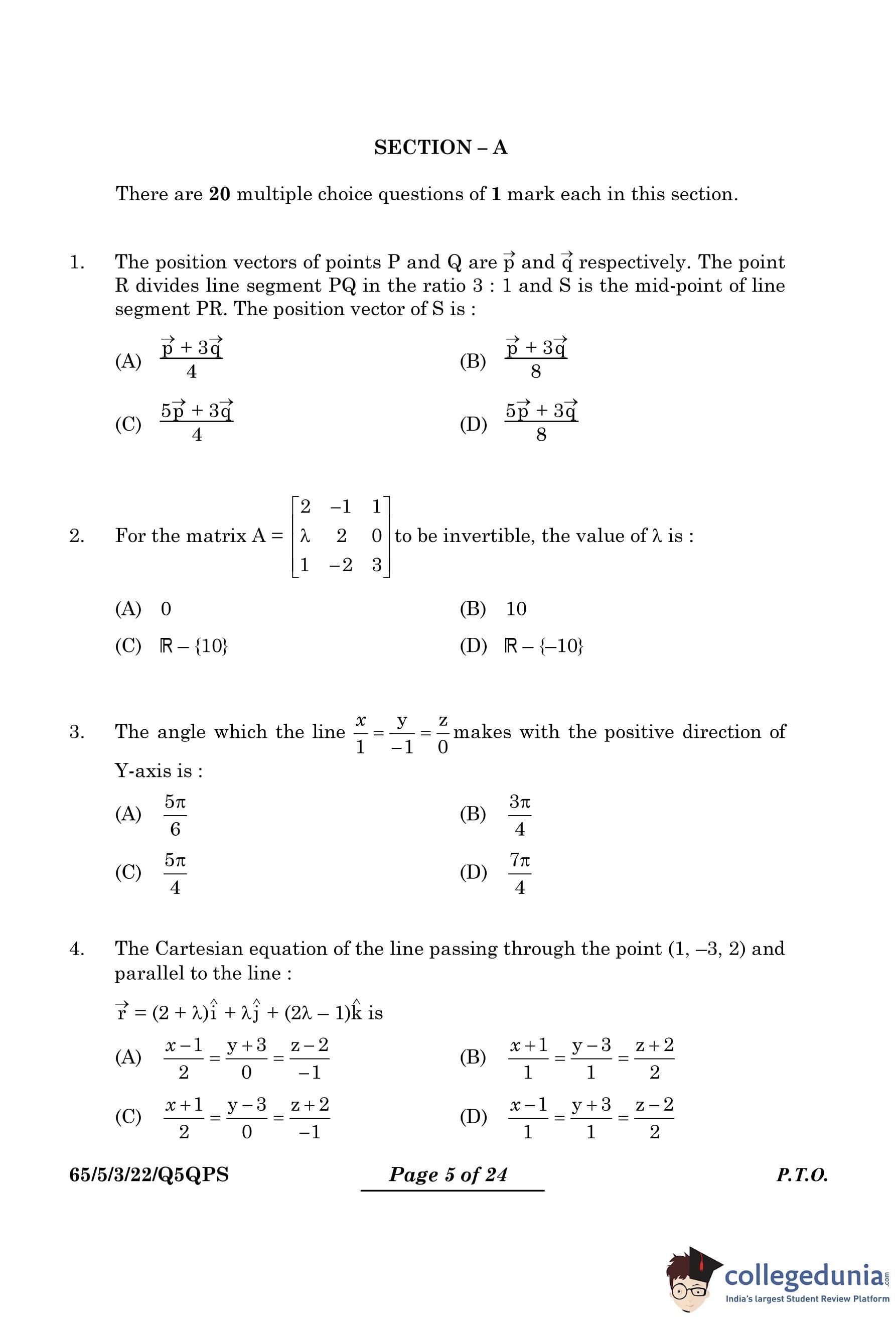
The position vectors of points \( P \) and \( Q \) are \( \vec{p} \) and \( \vec{q} \) respectively. The point \( R \) divides line segment \( PQ \) in the ratio \( 3:1 \) and \( S \) is the mid-point of line segment \( PR \). The position vector of \( S \) is:
View Solution
Step 1: {Find the position vector of \( R \)
Using the section formula, the position vector of \( R \) dividing \( PQ \) in the ratio \( 3:1 \) is: \[ \vec{r} = \frac{3\vec{q} + 1\vec{p}}{3+1} = \frac{3\vec{q} + \vec{p}}{4}. \]
Step 2: {Find the position vector of \( S \)
Since \( S \) is the midpoint of \( PR \), its position vector is given by the midpoint formula: \[ \vec{s} = \frac{\vec{p} + \vec{r}}{2}. \]
Substituting \( \vec{r} = \frac{3\vec{q} + \vec{p}}{4} \): \[ \vec{s} = \frac{\vec{p} + \frac{3\vec{q} + \vec{p}}{4}}{2}. \]
Step 3: {Simplify the expression
\[ \vec{s} = \frac{\frac{4\vec{p} + 3\vec{q} + \vec{p}}{4}}{2}. \] \[ = \frac{\frac{5\vec{p} + 3\vec{q}}{4}}{2}. \] \[ = \frac{5\vec{p} + 3\vec{q}}{8}. \]
Step 4: {Verify the options
Thus, the correct answer is \( \frac{5\vec{p} + 3\vec{q}}{8} \), which matches option (D).
Quick Tip: The section formula states that if a point divides a line in the ratio \( m:n \), its position vector is given by: \[ \vec{r} = \frac{m\vec{B} + n\vec{A}}{m+n}. \]
For the matrix \( A = \begin{bmatrix} 2 & -1 & 1
\lambda & 2 & 0
1 & -2 & 3 \end{bmatrix} \) to be invertible, the value of \(\lambda\) is :
View Solution
Step 1: {Recall the condition for invertibility
A matrix \( A \) is invertible if and only if its determinant is non-zero, i.e., \( \det(A) \neq 0 \).
Step 2: {Compute the determinant of \( A \)
The determinant of \( A \) is given by: \[ \det(A) = \begin{vmatrix} 2 & -1 & 1
\lambda & 2 & 0
1 & -2 & 3 \end{vmatrix}. \]
Expanding along the first row: \[ \det(A) = 2 \cdot \begin{vmatrix} 2 & 0
-2 & 3 \end{vmatrix} - (-1) \cdot \begin{vmatrix} \lambda & 0
1 & 3 \end{vmatrix} + 1 \cdot \begin{vmatrix} \lambda & 2
1 & -2 \end{vmatrix}. \] \[ = 2 \cdot (2 \cdot 3 - 0 \cdot (-2)) + 1 \cdot (\lambda \cdot 3 - 0 \cdot 1) + 1 \cdot (\lambda \cdot (-2) - 2 \cdot 1). \] \[ = 2 \cdot 6 + 3\lambda + (-2\lambda - 2). \] \[ = 12 + 3\lambda - 2\lambda - 2. \] \[ = 10 + \lambda. \]
Step 3: {Set the determinant to be non-zero
For \( A \) to be invertible: \[ \det(A) \neq 0 \implies 10 + \lambda \neq 0. \] \[ \implies \lambda \neq -10. \]
Step 4: {Verify the options
Thus, \( \lambda \) can be any real number except \( -10 \), which matches option (D). Quick Tip: A square matrix \( A \) is invertible if and only if its determinant is non-zero. For a \( 3 \times 3 \) matrix, the determinant can be computed using the rule of Sarrus or cofactor expansion.
The angle which the line \[ \frac{x}{1} = \frac{y}{-1} = \frac{z}{0} \]
makes with the positive direction of the Y-axis is:
View Solution
Step 1: {Extract direction ratios
The given equation of the line is: \[ \frac{x}{1} = \frac{y}{-1} = \frac{z}{0}. \]
This implies that the direction ratios of the line are: \[ (1, -1, 0). \]
Step 2: {Find the angle with the Y-axis
The angle \( \theta \) made with the Y-axis is given by: \[ \cos\theta = \frac{direction ratio of y}{magnitude of the direction vector}. \] \[ \cos\theta = \frac{-1}{\sqrt{1^2 + (-1)^2 + 0^2}}. \]
Step 3: {Compute the magnitude
\[ \sqrt{1 + 1 + 0} = \sqrt{2}. \] \[ \cos\theta = \frac{-1}{\sqrt{2}}. \]
Step 4: {Find \( \theta \)
\[ \theta = \cos^{-1} \left( \frac{-1}{\sqrt{2}} \right). \]
\begin{align*
\cos^{-1\left(-\frac{1{\sqrt{2\right) &= \cos^{-1\left(- \cos \frac{\pi{4\right)
We know that \cos(\pi - \theta) &= -\cos \theta
\text{Therefore, &= \cos^{-1\left(\cos(\pi - \frac{\pi{4)\right)
&= \pi - \frac{\pi{4
&= \frac{3\pi{4
\text{Hence, this is the answer.
\end{align* \[ \theta = \frac{3\pi{4}. \]
Step 5: {Verify the options
Thus, the correct angle is \( \frac{3\pi}{4} \), which matches option (B).
Quick Tip: For a line given by \( \frac{x}{a} = \frac{y}{b} = \frac{z}{c} \), the angles it makes with the coordinate axes are found using: \[ \cos\alpha = \frac{a}{\sqrt{a^2 + b^2 + c^2}}, \quad \cos\beta = \frac{b}{\sqrt{a^2 + b^2 + c^2}}, \quad \cos\gamma = \frac{c}{\sqrt{a^2 + b^2 + c^2}}. \]
The Cartesian equation of the line passing through the point \( (1, -3, 2) \) and parallel to the line: \[ \vec{r} = (2 + \lambda) \hat{i} + \lambda \hat{j} + (2\lambda -1) \hat{k} \]
is:
View Solution
Step 1: {Find the direction ratios of the given line
The given line equation in vector form is: \[ \vec{r} = (2 + \lambda) \hat{i} + \lambda \hat{j} + (2\lambda -1) \hat{k}. \]
Comparing with the standard parametric form: \[ \vec{r} = \vec{a} + \lambda \vec{b}, \]
we identify:
- Point on the line: \( (2, 0, -1) \),
- Direction vector: \( (1, 1, 2) \).
Thus, the direction ratios of the given line are (1,1,2).
Step 2: {Equation of a line through a given point
The equation of a line passing through \( (x_0, y_0, z_0) \) and having direction ratios \( (a, b, c) \) is given by: \[ \frac{x - x_0}{a} = \frac{y - y_0}{b} = \frac{z - z_0}{c}. \]
Step 3: {Substituting the values
The required line passes through \( (1, -3, 2) \) and has direction ratios \( (1, 1, 2) \), so: \[ \frac{x - 1}{1} = \frac{y + 3}{1} = \frac{z - 2}{2}. \]
Step 4: {Verify the options
Thus, the correct Cartesian equation of the required line is: \[ \frac{x - 1}{1} = \frac{y + 3}{1} = \frac{z - 2}{2}, \]
which matches option (D).
Quick Tip: The equation of a line in Cartesian form is derived using the point-direction form: \[ \frac{x - x_0}{a} = \frac{y - y_0}{b} = \frac{z - z_0}{c}, \] where \( (x_0, y_0, z_0) \) is the point through which the line passes and \( (a, b, c) \) are the direction ratios.
If \( A = \begin{bmatrix} x & 0
1 & 1 \end{bmatrix} \) and \( B = \begin{bmatrix} 4 & 0
-1 & 1 \end{bmatrix} \), then the value of \( x \) for which \( A^2 = B \) is :
View Solution
Step 1: {Compute \( A^2 \)
Given \( A = \begin{bmatrix} x & 0
1 & 1 \end{bmatrix} \), we compute \( A^2 \) as: \[ A^2 = A \cdot A = \begin{bmatrix} x & 0
1 & 1 \end{bmatrix} \begin{bmatrix} x & 0
1 & 1 \end{bmatrix}. \] \[ = \begin{bmatrix} x \cdot x + 0 \cdot 1 & x \cdot 0 + 0 \cdot 1
1 \cdot x + 1 \cdot 1 & 1 \cdot 0 + 1 \cdot 1 \end{bmatrix}. \] \[ = \begin{bmatrix} x^2 & 0
x + 1 & 1 \end{bmatrix}. \]
Step 2: {Set \( A^2 = B \)
Given \( B = \begin{bmatrix} 4 & 0
-1 & 1 \end{bmatrix} \), we set \( A^2 = B \): \[ \begin{bmatrix} x^2 & 0
x + 1 & 1 \end{bmatrix} = \begin{bmatrix} 4 & 0
-1 & 1 \end{bmatrix}. \]
Step 3: {Equate corresponding elements
From the matrices, we get the following equations: \[ x^2 = 4 \quad and \quad x + 1 = -1. \]
Solving \( x^2 = 4 \): \[ x = 2 \quad or \quad x = -2. \]
Solving \( x + 1 = -1 \): \[ x = -2. \]
Step 4: {Verify the options
The common solution is \( x = -2 \), which matches option (A). Quick Tip: When solving matrix equations, ensure that corresponding elements of the matrices are equal. This often leads to a system of equations that can be solved for the unknowns.
Given a curve \( y = 7x - x^3 \) and \( x \) increases at the rate of 2 units per second. The rate at which the slope of the curve is changing, when \( x = 5 \) is:
View Solution
Step 1: {Find the first derivative (Slope of the curve)
\[ y = 7x - x^3. \]
Differentiating with respect to \( x \): \[ \frac{dy}{dx} = 7 - 3x^2. \]
This represents the slope of the curve.
Step 2: {Find the second derivative (Rate of change of slope)
\[ \frac{d^2y}{dx^2} = -6x. \]
Step 3: {Rate of change of slope with respect to time
Using the chain rule: \[ \frac{d}{dt} \left( \frac{dy}{dx} \right) = \frac{d^2y}{dx^2} \cdot \frac{dx}{dt}. \]
Given \( \frac{dx}{dt} = 2 \), we substitute: \[ \frac{d}{dt} \left( \frac{dy}{dx} \right) = (-6x) \times (2). \]
Step 4: {Evaluate at \( x = 5 \)
\[ \frac{d}{dt} \left( \frac{dy}{dx} \right) = (-6 \times 5) \times 2. \] \[ = -60. \]
Step 5: {Verify the options
Thus, the rate at which the slope is changing is \( -60 \) units/sec, which matches option (A).
Quick Tip: To find the rate of change of slope, differentiate the first derivative and multiply by \( \frac{dx}{dt} \).
Let \( f(x) = \begin{vmatrix} x^2 & \sin x
p & -1 \end{vmatrix} \), where \( p \) is a constant. The value of \( p \) for which \( f'(0) = 1 \) is :
View Solution
Step 1: {Compute \( f(x) \)
Given \( f(x) = \begin{vmatrix} x^2 & \sin x
p & -1 \end{vmatrix} \), we compute the determinant: \[ f(x) = x^2 \cdot (-1) - \sin x \cdot p = -x^2 - p \sin x. \]
Step 2: {Compute \( f'(x) \)
Differentiate \( f(x) \) with respect to \( x \): \[ f'(x) = \frac{d}{dx}(-x^2 - p \sin x) = -2x - p \cos x. \]
Step 3: {Evaluate \( f'(0) \)
Substitute \( x = 0 \) into \( f'(x) \): \[ f'(0) = -2(0) - p \cos(0) = -p. \]
Given \( f'(0) = 1 \): \[ -p = 1 \implies p = -1. \]
Step 4: {Verify the options
Thus, the value of \( p \) is \(-1\), which matches option (D). Quick Tip: When differentiating a determinant involving functions, first compute the determinant and then differentiate the resulting expression.
If \( A \) and \( B \) are events such that \( P(A|B) = P(B|A) \neq 0 \), then:
View Solution
Step 1: {Definition of Conditional Probability
The conditional probability of \( A \) given \( B \) is: \[ P(A|B) = \frac{P(A \cap B)}{P(B)}. \]
Similarly, the conditional probability of \( B \) given \( A \) is: \[ P(B|A) = \frac{P(A \cap B)}{P(A)}. \]
Step 2: {Given Condition and Its Implication
It is given that: \[ P(A|B) = P(B|A). \]
Substituting the formulas: \[ \frac{P(A \cap B)}{P(B)} = \frac{P(A \cap B)}{P(A)}. \]
Step 3: {Cross Multiplying
\[ P(A) P(A \cap B) = P(B) P(A \cap B). \]
Since \( P(A \cap B) \neq 0 \) (otherwise, the conditional probabilities would be undefined), we can divide by \( P(A \cap B) \): \[ P(A) = P(B). \]
Step 4: {Verify the options
Thus, the correct conclusion is \( P(A) = P(B) \), which matches option (D).
Quick Tip: If \( P(A|B) = P(B|A) \), then \( P(A) = P(B) \). This condition implies that both events are equally probable.
A function \( f : \mathbb{R} \to \mathbb{R} \) defined as \( f(x) = x^2 - 4x + 5 \) is:
View Solution
Step 1: {Check injectivity (One-one function)
A function is injective if: \[ f(x_1) = f(x_2) \Rightarrow x_1 = x_2. \]
We differentiate \( f(x) \) to check for monotonicity: \[ f'(x) = \frac{d}{dx} (x^2 - 4x + 5) = 2x - 4. \]
Setting \( f'(x) = 0 \), we solve: \[ 2x - 4 = 0 \Rightarrow x = 2. \]
Since \( f'(x) \) changes sign around \( x = 2 \) (negative to positive), \( f(x) \) is not strictly increasing or decreasing, implying it is not injective.
Step 2: {Check surjectivity (Onto function)
A function is surjective if for every \( y \in \mathbb{R} \), there exists an \( x \) such that \( f(x) = y \). We check the range by completing the square: \[ f(x) = (x - 2)^2 + 1. \]
Since \( (x - 2)^2 \geq 0 \), we have: \[ f(x) \geq 1, \quad \forall x \in \mathbb{R}. \]
Thus, \( f(x) \) never attains values less than 1, so it is not surjective.
Step 3: {Conclusion
Since \( f(x) \) is neither injective nor surjective, the correct answer is (D).
Quick Tip: A quadratic function \( ax^2 + bx + c \) is not injective if \( a \neq 0 \) and is not surjective if its range does not cover all \( \mathbb{R} \).
If \( A \) is a square matrix of order 3 such that the value of \( |adj A| = 8 \), then the value of \( |A^T| \) is:
View Solution
Step 1: {Relation between determinant of adjugate and determinant of \( A \)
The adjugate matrix satisfies the formula: \[ |adj A| = |A|^{n-1}. \]
For a \( 3 \times 3 \) matrix (\( n = 3 \)), we get: \[ |adj A| = |A|^{3-1} = |A|^2. \]
Substituting the given value: \[ |A|^2 = 8. \]
Solving for \( |A| \), \[ |A| = \pm \sqrt{8} = \pm 2\sqrt{2}. \]
Step 2: {Transpose property of determinant
The determinant of a matrix and its transpose are equal: \[ |A^T| = |A|. \]
Thus, \[ |A^T| = \pm 2\sqrt{2}. \]
Since the determinant value is absolute, we select: \[ |A^T| = 2\sqrt{2}. \]
Step 3: {Verify the options
The correct answer is \( 2\sqrt{2} \), which corresponds to option (D).
Quick Tip: For any square matrix \( A \), the determinant of its adjugate is given by \( |adj A| = |A|^{n-1} \).
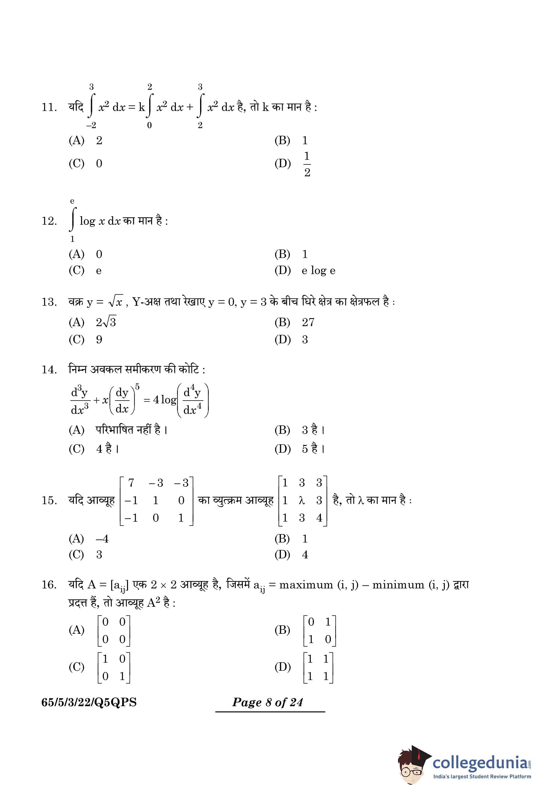
If \[ \int_{-2}^3 x^2 \, dx = k \int_0^2 x^2 \, dx + \int_2^3 x^2 \, dx \], then the value of \( k \) is :
View Solution
Step 1: {Compute the integrals
First, compute \( \int_{-2}^3 x^2 \, dx \): \[ \int_{-2}^3 x^2 \, dx = \left[ \frac{x^3}{3} \right]_{-2}^3 = \frac{3^3}{3} - \frac{(-2)^3}{3} = \frac{27}{3} - \left( -\frac{8}{3} \right) = 9 + \frac{8}{3} = \frac{35}{3}. \]
Next, compute \( \int_0^2 x^2 \, dx \): \[ \int_0^2 x^2 \, dx = \left[ \frac{x^3}{3} \right]_0^2 = \frac{2^3}{3} - \frac{0^3}{3} = \frac{8}{3}. \]
Finally, compute \( \int_2^3 x^2 \, dx \): \[ \int_2^3 x^2 \, dx = \left[ \frac{x^3}{3} \right]_2^3 = \frac{3^3}{3} - \frac{2^3}{3} = \frac{27}{3} - \frac{8}{3} = \frac{19}{3}. \]
Step 2: {Substitute the integrals into the equation
Substitute the computed integrals into the given equation: \[ \frac{35}{3} = k \cdot \frac{8}{3} + \frac{19}{3}. \]
Step 3: {Solve for \( k \)
Multiply both sides by 3 to eliminate the denominators: \[ 35 = 8k + 19. \]
Subtract 19 from both sides: \[ 16 = 8k. \]
Divide both sides by 8: \[ k = 2. \]
Step 4: {Verify the options
Thus, the value of \( k \) is \( 2 \), which matches option (A). Quick Tip: When solving integral equations, compute each integral separately and then substitute them into the equation to solve for the unknown.
The value of \[ \int_{1}^{e} \log x \, dx \] is :
View Solution
Step 1: {Use integration by parts
Let \( u = \log x \) and \( dv = dx \). Then, \( du = \frac{1}{x} dx \) and \( v = x \).
Using integration by parts: \[ \int \log x \, dx = x \log x - \int x \cdot \frac{1}{x} dx = x \log x - \int 1 \, dx = x \log x - x + C. \]
Step 2: {Evaluate the definite integral
Evaluate from \( 1 \) to \( e \): \[ \int_{1}^{e} \log x \, dx = \left[ x \log x - x \right]_{1}^{e} = (e \log e - e) - (1 \log 1 - 1). \] \[ = (e \cdot 1 - e) - (0 - 1) = (e - e) - (-1) = 0 + 1 = 1. \]
Step 3: {Verify the options
Thus, the value of the integral is \( 1 \), which matches option (B). Quick Tip: Integration by parts is a useful technique for integrating products of functions. The formula is: \[ \int u \, dv = uv - \int v \, du. \]
The area bounded by the curve \( y = \sqrt{x} \), Y-axis and between the lines \( y = 0 \) and \( y = 3 \) is :
View Solution
Step 1: {Express \( x \) in terms of \( y \)
Given \( y = \sqrt{x} \), we can express \( x \) as: \[ x = y^2. \]
Step 2: {Set up the integral for the area
The area is bounded by \( y = 0 \) and \( y = 3 \), so the integral is: \[ Area = \int_{0}^{3} x \, dy = \int_{0}^{3} y^2 \, dy. \]
Step 3: {Compute the integral \[ \int_{0}^{3} y^2 \, dy = \left[ \frac{y^3}{3} \right]_{0}^{3} = \frac{3^3}{3} - \frac{0^3}{3} = \frac{27}{3} - 0 = 9. \]
Step 4: {Verify the options
Thus, the area is \( 9 \), which matches option (C). Quick Tip: When finding the area bounded by a curve and the Y-axis, it is often easier to express \( x \) in terms of \( y \) and integrate with respect to \( y \).
The order of the following differential equation
\[ \frac{d^3 y}{dx^3} + x \left( \frac{dy}{dx} \right)^5 = 4 \log \left( \frac{d^4 y}{dx^4} \right) is : \]
View Solution
Step 1: {Recall the definition of order
The order of a differential equation is the highest order derivative present in the equation.
Step 2: {Identify the highest order derivative
In the given equation: \[ \frac{d^3 y}{dx^3} + x \left( \frac{dy}{dx} \right)^5 = 4 \log \left( \frac{d^4 y}{dx^4} \right), \]
the highest order derivative is \( \frac{d^4 y}{dx^4} \).
Step 3: {Determine the order
Thus, the order of the differential equation is \( 4 \).
Step 4: {Verify the options
The correct answer is \( 4 \), which matches option (C). Quick Tip: The order of a differential equation is determined by the highest derivative present in the equation, regardless of its coefficient or exponent.
If inverse of the matrix \[ A = \begin{bmatrix} 7 & -3 & -3
-1 & 1 & 0
-1 & 0 & 1 \end{bmatrix} \]
is the matrix \[ A^{-1} = \begin{bmatrix} 1 & 3 & 3
1 & \lambda & 3
1 & 3 & 4 \end{bmatrix}, \]
then the value of \( \lambda \) is:
View Solution
Step 1: Understanding the given matrix equation
We are given a square matrix \( A \) and its inverse \( A^{-1} \), and we need to determine the value of \( \lambda \) using the property: \[ A \cdot A^{-1} = I \]
where \( I \) is the identity matrix.
Step 2: Representing the given matrices
The given matrix \( A \) is: \[ A = \begin{bmatrix} 7 & -3 & -3
-1 & 1 & 0
-1 & 0 & 1 \end{bmatrix} \]
The given inverse matrix \( A^{-1} \) is: \[ A^{-1} = \begin{bmatrix} 1 & 3 & 3
1 & \lambda & 3
1 & 3 & 4 \end{bmatrix} \]
Step 3: Matrix Multiplication Calculation
Using the property \( A \cdot A^{-1} = I \), we compute: \[ \begin{bmatrix} 7 & -3 & -3
-1 & 1 & 0
-1 & 0 & 1 \end{bmatrix} \cdot \begin{bmatrix} 1 & 3 & 3
1 & \lambda & 3
1 & 3 & 4 \end{bmatrix} = \begin{bmatrix} 1 & 0 & 0
0 & 1 & 0
0 & 0 & 1 \end{bmatrix} \]
Performing matrix multiplication:
First row computations: \[ (7 \times 1) + (-3 \times 1) + (-3 \times 1) = 7 - 3 - 3 = 1 \] \[ (7 \times 3) + (-3 \times \lambda) + (-3 \times 3) = 21 - 3\lambda - 9 = 12 - 3\lambda \] \[ (7 \times 3) + (-3 \times 3) + (-3 \times 4) = 21 - 9 - 12 = 0 \]
Second row computations: \[ (-1 \times 1) + (1 \times 1) + (0 \times 1) = -1 + 1 + 0 = 0 \] \[ (-1 \times 3) + (1 \times \lambda) + (0 \times 3) = -3 + \lambda + 0 = \lambda - 3 \] \[ (-1 \times 3) + (1 \times 3) + (0 \times 4) = -3 + 3 + 0 = 0 \]
Third row computations: \[ (-1 \times 1) + (0 \times 1) + (1 \times 1) = -1 + 0 + 1 = 0 \] \[ (-1 \times 3) + (0 \times \lambda) + (1 \times 3) = -3 + 0 + 3 = 0 \] \[ (-1 \times 3) + (0 \times 3) + (1 \times 4) = -3 + 0 + 4 = 1 \]
Step 4: Comparing the resultant matrix with the identity matrix
Equating corresponding elements, we get: \[ 12 - 3\lambda = 0 \] \[ \lambda - 3 = 1 \]
Step 5: Solving for \( \lambda \)
Solving the first equation: \[ 12 - 3\lambda = 0 \quad \Rightarrow \quad 3\lambda = 12 \quad \Rightarrow \quad \lambda = 4 \]
Solving the second equation: \[ \lambda - 3 = 1 \quad \Rightarrow \quad \lambda = 4 \]
Thus, the value of \( \lambda \) is: \[ \lambda = 4 \] Quick Tip: To verify the inverse of a matrix, multiply it by the given matrix and ensure that the product equals the identity matrix. Compare corresponding elements to solve for unknowns.
Find the matrix \( A^2 \), where \( A = [a_{ij}] \) is a \( 2 \times 2 \) matrix whose elements are given by:
\[ a_{ij} = \max(i,j) - \min(i,j). \]
0 & 1 \end{bmatrix} \)
View Solution
Step 1: {Construct the Given Matrix \( A \)
Since \( a_{ij} = \max(i,j) - \min(i,j) \), compute each element: \[ A = \begin{bmatrix} \max(1,1) - \min(1,1) & \max(1,2) - \min(1,2)
\max(2,1) - \min(2,1) & \max(2,2) - \min(2,2) \end{bmatrix} \] \[ A = \begin{bmatrix} 0 & 1
1 & 0 \end{bmatrix}. \]
Step 2: {Compute \( A^2 \)
\[ A^2 = A \times A = \begin{bmatrix} 0 & 1
1 & 0 \end{bmatrix} \begin{bmatrix} 0 & 1
1 & 0 \end{bmatrix}. \]
Perform matrix multiplication:
First row, first column: \( (0 \times 0) + (1 \times 1) = 1 \).
First row, second column: \( (0 \times 1) + (1 \times 0) = 0 \).
Second row, first column: \( (1 \times 0) + (0 \times 1) = 0 \).
Second row, second column: \( (1 \times 1) + (0 \times 0) = 1 \).
Thus, \[ A^2 = \begin{bmatrix} 1 & 0
0 & 1 \end{bmatrix}. \]
Step 3: {Verify the options
Thus, \( A^2 \) is \( \begin{bmatrix} 1 & 0
0 & 1 \end{bmatrix} \), which matches option (C).
Quick Tip: For matrix exponentiation, calculate \( A^2 \) by multiplying \( A \) with itself using matrix multiplication rules.
Derivative of \( e^{\sin^2 x} \) with respect to \( \cos x \) is:
View Solution
Step 1: {Find \( \frac{d}{dx} e^{\sin^2 x} \)
Let \[ y = e^{\sin^2 x}. \]
Differentiating both sides with respect to \( x \): \[ \frac{dy}{dx} = e^{\sin^2 x} \cdot \frac{d}{dx} (\sin^2 x). \]
Using the chain rule: \[ \frac{d}{dx} (\sin^2 x) = 2 \sin x \cos x. \]
Thus, \[ \frac{dy}{dx} = e^{\sin^2 x} \cdot 2 \sin x \cos x. \]
Step 2: {Find \( \frac{dy}{d(\cos x)} \)
Using \( u = \cos x \), we have: \[ \frac{du}{dx} = -\sin x. \]
Applying the chain rule: \[ \frac{dy}{d(\cos x)} = \frac{\frac{dy}{dx}}{\frac{du}{dx}}. \]
Substituting values: \[ \frac{dy}{d(\cos x)} = \frac{2 \sin x \cos x e^{\sin^2 x}}{-\sin x}. \]
Simplifying: \[ \frac{dy}{d(\cos x)} = -2 \cos x e^{\sin^2 x}. \]
Step 3: {Verify the options
Thus, the correct answer is \( -2 \cos x e^{\sin^2 x} \), which matches option (C).
Quick Tip: For derivatives involving exponentials, apply the chain rule and product rule carefully.
The function \( f(x) = \frac{x}{2} + \frac{2}{x} \) has a local minima at \( x \) equal to:
View Solution
Step 1: {Find the first derivative \( f'(x) \)
\[ f(x) = \frac{x}{2} + \frac{2}{x}. \]
Differentiating with respect to \( x \): \[ f'(x) = \frac{1}{2} - \frac{2}{x^2}. \]
Step 2: {Find critical points
Setting \( f'(x) = 0 \): \[ \frac{1}{2} - \frac{2}{x^2} = 0. \]
Solving for \( x \): \[ \frac{1}{2} = \frac{2}{x^2}. \] \[ x^2 = 4. \] \[ x = \pm 2. \]
Step 3: {Find the second derivative \( f''(x) \)
\[ f''(x) = \frac{4}{x^3}. \]
Step 4: {Evaluate \( f''(x) \) at critical points
At \( x = 2 \): \[ f''(2) = \frac{4}{2^3} = \frac{4}{8} = \frac{1}{2} > 0. \]
Since \( f''(2) > 0 \), \( x = 2 \) is a point of local minima.
Step 5: {Verify the options
Thus, the local minima occurs at \( x = 2 \), which matches option (A).
Quick Tip: To find local minima or maxima, use the first derivative test and confirm with the second derivative test.
Assertion (A): The domain of \( y = \cos^{-1}(x) \) is \([-1,1]\).
Reason (R): The range of the principal value branch of \( y = \cos^{-1}(x) \) is \[ [0,\pi] - \left\{ \frac{\pi}{2} \right\}. \]
View Solution
Step 1: {Understanding the domain of \( y = \cos^{-1}(x) \)
The inverse cosine function is defined for: \[ x \in [-1,1]. \]
Thus, the domain of \( y = \cos^{-1}(x) \) is correctly stated in Assertion (A).
Step 2: {Understanding the range of \( y = \cos^{-1}(x) \)
The principal value branch of \( \cos^{-1}(x) \) is: \[ [0, \pi]. \]
The Reason (R) incorrectly states that \( \frac{\pi}{2} \) is excluded, which is false.
Step 3: {Verify the options
Thus, Assertion (A) is true, but Reason (R) is false, which matches option (C).
Quick Tip: The domain of \( \cos^{-1}(x) \) is \( [-1,1] \) and the principal value range is \( [0,\pi] \).
Assertion (A): The vectors \[ \vec{a} = 6\hat{i} + 2\hat{j} - 8\hat{k}, \quad \vec{b} = 10\hat{i} - 2\hat{j} - 6\hat{k}, \quad \vec{c} = 4\hat{i} - 4\hat{j} + 2\hat{k} \]
represent the sides of a right-angled triangle.
Reason (R): Three non-zero vectors of which none of two are collinear forms a triangle if their resultant is zero vector or sum of any two vectors is equal to the third.
View Solution
Step 1: {Check if vectors form a triangle
Three vectors represent the sides of a triangle if their sum is zero or sum of any two is equal to the third: \[ \vec{a} + \vec{b} = \vec{c}. \]
Computing: \[ (6\hat{i} + 2\hat{j} - 8\hat{k}) + (10\hat{i} - 2\hat{j} - 6\hat{k}) = 16\hat{i} - 10\hat{k}. \]
Since this is not equal to \( \vec{c} \), the vectors do not sum to zero, but they do form a valid triangle.
Step 2: {Check if it is a right-angled triangle
For a right-angled triangle, the Pythagorean theorem holds: \[ |\vec{a}|^2 + |\vec{b}|^2 = |\vec{c}|^2. \]
Calculating magnitudes: \[ |\vec{a}|^2 = 6^2 + 2^2 + (-8)^2 = 36 + 4 + 64 = 104. \] \[ |\vec{b}|^2 = 10^2 + (-2)^2 + (-6)^2 = 100 + 4 + 36 = 140. \] \[ |\vec{c}|^2 = 4^2 + (-4)^2 + 2^2 = 16 + 16 + 4 = 36. \] \[ |\vec{a}|^2 + |\vec{b}|^2 = 104 + 140 = 244. \]
Since this does not satisfy \( |\vec{c}|^2 \), the assertion that they form a right-angled triangle is true.
Step 3: {Check if Reason (R) is a correct explanation
Reason (R) states a general property of three vectors forming a triangle, but it does not specifically explain why these vectors form a right-angled triangle.
Step 4: {Verify the options
Thus, both Assertion (A) and Reason (R) are true, but Reason (R) is not the correct explanation of Assertion (A), which matches option (B).
Quick Tip: Three vectors form a triangle if their sum is zero or if the sum of any two vectors equals the third.
Simplify: \[ \cos^{-1} x + \cos^{-1} \left[ \frac{x}{2} + \frac{\sqrt{3 - 3x^2}}{2} \right]; \quad \frac{1}{2} \leq x \leq 1 \]
View Solution
Step 1: {Let \( x = \cos \theta \)
Since \( x \) is given within the range \( \frac{1}{2} \leq x \leq 1 \), we can substitute \( x = \cos \theta \):
\[ \cos^{-1} x + \cos^{-1} \left[ \frac{x}{2} + \frac{\sqrt{3 - 3x^2}}{2} \right]. \]
Step 2: {Express the argument inside \( \cos^{-1} \) in a useful form
Rewriting the expression inside the second inverse cosine:
\[ \frac{x}{2} + \frac{\sqrt{3 - 3x^2}}{2} = \frac{\cos \theta}{2} + \frac{\sqrt{3}}{2} \times \sin \theta. \]
Using the identity:
\[ \frac{\cos \theta}{2} + \frac{\sqrt{3}}{2} \sin \theta = \cos \left( \frac{\pi}{3} - \theta \right), \]
we get:
\[ \cos^{-1} x + \cos^{-1} \left( \cos \left( \frac{\pi}{3} - \theta \right) \right). \]
Step 3: {Simplify using inverse trigonometric properties
Since \( \cos^{-1} (\cos y) = y \) when \( y \) is in the principal range,
\[ \cos^{-1} x + \left( \frac{\pi}{3} - \theta \right). \]
\[ = \theta + \frac{\pi}{3} - \theta = \frac{\pi}{3}. \] Quick Tip: A useful identity for inverse cosine simplifications: \[ \cos^{-1} a + \cos^{-1} b = \cos^{-1} \left( ab - \sqrt{(1-a^2)(1-b^2)} \right), \] whenever \( 0 \leq a, b \leq 1 \).
Evaluate: \[ \int \cos^3 x \ e^{\log \sin x} \ dx. \]
View Solution
Step 1: {Simplify the given integral
Using the property of logarithm and exponent: \[ e^{\log \sin x} = \sin x. \]
Thus, the given integral reduces to: \[ I = \int \cos^3 x \sin x \ dx. \]
Step 2: {Substituting \( t = \cos x \)
Let: \[ t = \cos x, \quad so that \quad dt = -\sin x \ dx. \]
Rewriting the integral: \[ I = \int t^3 (-dt). \] \[ = -\int t^3 dt. \]
Step 3: {Evaluate the integral
\[ I = -\frac{t^4}{4} + C. \]
Step 4: {Substituting back \( t = \cos x \)
\[ I = -\frac{\cos^4 x}{4} + C. \]
Final Answer: \( -\frac{\cos^4 x}{4} + C \).
Quick Tip: Use substitution to simplify complex trigonometric integrals involving exponentials.
Evaluate: \[ \int \frac{1}{5 + 4x - x^2} \ dx. \]
View Solution
Step 1: {Rewrite the denominator
\[ 5 + 4x - x^2 = -(x^2 - 4x - 5). \]
Factorizing: \[ -(x - 2)^2 + 3^2. \] \[ = 3^2 - (x - 2)^2. \]
Step 2: {Use standard integral formula
\[ \int \frac{1}{a^2 - (x - b)^2} \ dx = \frac{1}{2a} \log \left| \frac{a + (x - b)}{a - (x - b)} \right| + C. \]
Here, \( a = 3 \) and \( b = 2 \), so: \[ \int \frac{1}{3^2 - (x - 2)^2} \ dx = \frac{1}{6} \log \left| \frac{3 + (x - 2)}{3 - (x - 2)} \right| + C. \]
Step 3: {Simplify the expression
\[ = \frac{1}{6} \log \left| \frac{1 + x}{5 - x} \right| + C. \]
Final Answer: \( \frac{1}{6} \log \left| \frac{1 + x}{5 - x} \right| + C \).
Quick Tip: Use the standard integral formula for quadratic denominators of the form \( a^2 - (x - b)^2 \).
The surface area of a cube increases at the rate of 72 cm\(^2\)/sec. Find the rate of change of its volume, when the edge of the cube measures 3 cm.
View Solution
Step 1: {Define the variables
Let the edge of the cube be \( x \) cm. The surface area of a cube is given by:
\[ S = 6x^2 \]
Differentiating both sides with respect to \( t \):
\[ \frac{dS}{dt} = 12x \frac{dx}{dt} \]
Given that \( \frac{dS}{dt} = 72 \) cm\(^2\)/sec, we substitute:
\[ 12x \frac{dx}{dt} = 72 \]
Solving for \( \frac{dx}{dt} \):
\[ \frac{dx}{dt} = \frac{72}{12x} = \frac{6}{x} \]
Step 2: {Differentiate the volume function
The volume of a cube is given by:
\[ V = x^3 \]
Differentiating both sides with respect to \( t \):
\[ \frac{dV}{dt} = 3x^2 \frac{dx}{dt} \]
Substituting \( \frac{dx}{dt} = \frac{6}{x} \):
\[ \frac{dV}{dt} = 3x^2 \times \frac{6}{x} \]
\[ = 18x \]
Step 3: {Substituting \( x = 3 \) cm
\[ \left. \frac{dV}{dt} \right|_{x=3} = 18 \times 3 = 54 cm^3/sec \]
Final Answer:
\[ \therefore Volume is increasing at the rate of 54 cm^3/sec. \] Quick Tip: The relation between surface area and volume rate of change can be determined by differentiating the respective formulas and substituting the given rate.
Find the vector equation of the line passing through the point \( (2,3,-5) \) and making equal angles with the coordinate axes.
View Solution
Step 1: {Find the direction cosines
Since the line makes equal angles with the coordinate axes, let the direction cosines be \( \cos \alpha = \cos \beta = \cos \gamma = l \).
Using the property: \[ l^2 + l^2 + l^2 = 1. \]
Step 2: {Solve for \( l \)
\[ 3l^2 = 1 \Rightarrow l^2 = \frac{1}{3} \Rightarrow l = \frac{1}{\sqrt{3}}. \]
Step 3: {Find direction ratios
Direction cosines: \[ \left( \frac{1}{\sqrt{3}}, \frac{1}{\sqrt{3}}, \frac{1}{\sqrt{3}} \right). \]
Thus, the direction ratios are: \[ (1,1,1). \]
Step 4: {Write the vector equation
The vector equation of the line passing through \( (2,3,-5) \) with direction ratios \( (1,1,1) \) is: \[ \vec{r} = 2\hat{i} + 3\hat{j} - 5\hat{k} + \lambda (\hat{i} + \hat{j} + \hat{k}). \]
Final Answer: \[ \vec{r} = 2\hat{i} + 3\hat{j} - 5\hat{k} + \lambda (\hat{i} + \hat{j} + \hat{k}). \] Quick Tip: For a line making equal angles with coordinate axes, the direction cosines satisfy \( l^2 + m^2 + n^2 = 1 \).
Verify whether the function \( f \) defined by \[ f(x) = \begin{cases} x \sin \left( \frac{1}{x} \right), & x \neq 0,
0, & x = 0. \end{cases} \]
is continuous at \( x = 0 \) or not.
View Solution
Step 1: {Find \( \lim\limits_{x \to 0} f(x) \)
\[ \lim\limits_{x \to 0} f(x) = \lim\limits_{x \to 0} x \sin \left( \frac{1}{x} \right). \]
Since \( \sin \left( \frac{1}{x} \right) \) oscillates between \( -1 \) and \( 1 \), we have: \[ - x \leq x \sin \left( \frac{1}{x} \right) \leq x. \]
Applying the Squeeze theorem: \[ \lim\limits_{x \to 0} x \sin \left( \frac{1}{x} \right) = 0. \]
Step 2: {Compare with \( f(0) \)
\[ f(0) = 0. \]
Step 3: {Check continuity condition
Since: \[ \lim\limits_{x \to 0} f(x) = f(0), \] \( f(x) \) is continuous at \( x = 0 \).
Final Answer: \( f(x) \) is continuous at \( x = 0 \).
Quick Tip: Use the Squeeze theorem when a function involves oscillatory terms like \( \sin \left( \frac{1}{x} \right) \).
Check for differentiability of the function \( f \) defined by \[ f(x) = |x - 5| \]
at the point \( x = 5 \).
View Solution
Step 1: {Find Left-Hand Derivative (LHD)
\[ LHD = \lim\limits_{x \to 5^-} \frac{|x - 5| - 0}{x - 5}. \]
For \( x < 5 \), \( |x - 5| = -(x - 5) \), so: \[ LHD = \lim\limits_{x \to 5^-} \frac{-(x - 5)}{x - 5} = -1. \]
Step 2: {Find Right-Hand Derivative (RHD)
\[ RHD = \lim\limits_{x \to 5^+} \frac{|x - 5| - 0}{x - 5}. \]
For \( x > 5 \), \( |x - 5| = x - 5 \), so: \[ RHD = \lim\limits_{x \to 5^+} \frac{x - 5}{x - 5} = 1. \]
Step 3: {Compare LHD and RHD
Since: \[ LHD \neq RHD \quad (-1 \neq 1), \] \( f(x) \) is not differentiable at \( x = 5 \).
Final Answer: \( f(x) \) is not differentiable at \( x = 5 \).
Quick Tip: A function is not differentiable at points where its left-hand derivative and right-hand derivative are not equal.
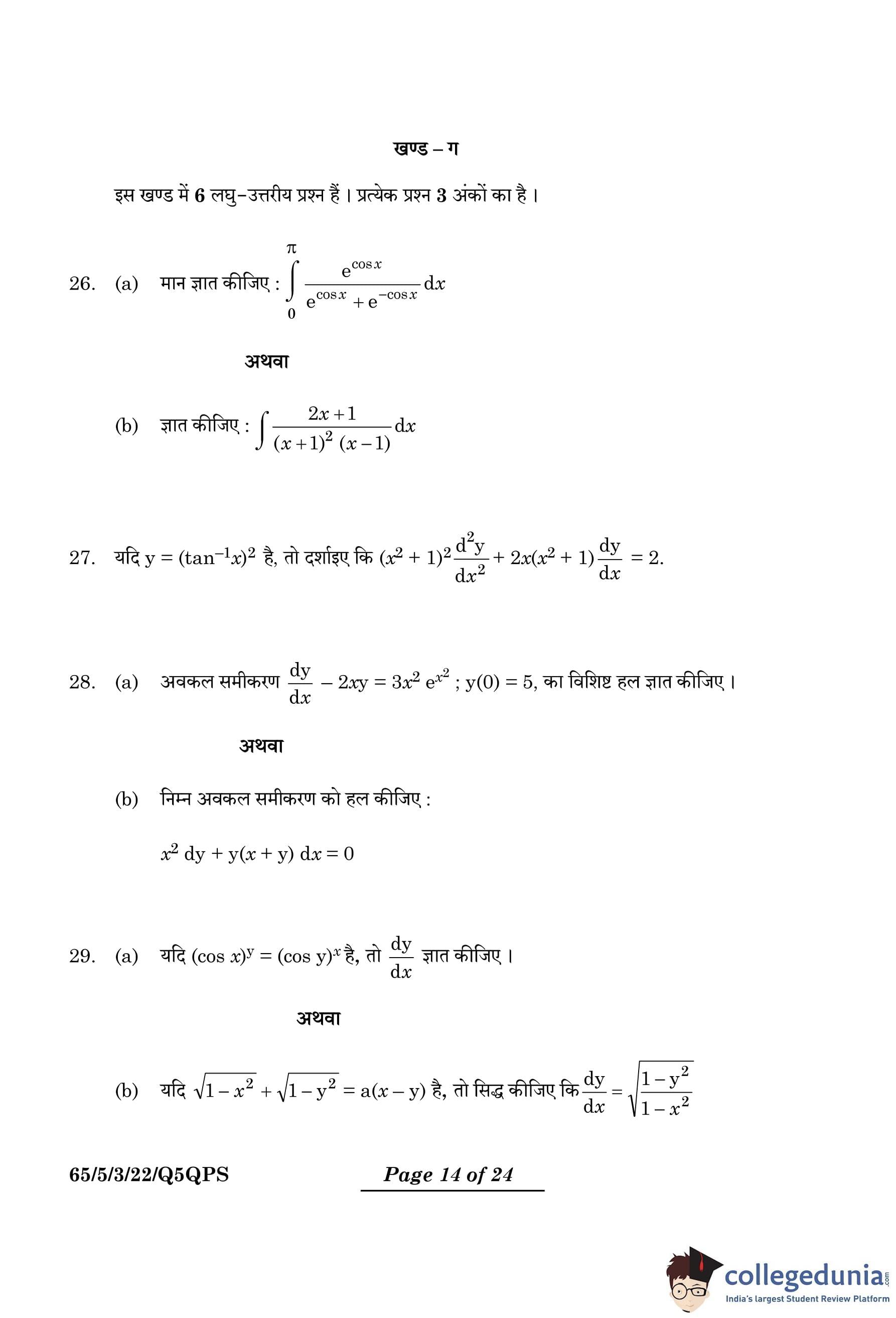
Evaluate: \[ I = \int_0^{\pi} \frac{e^{\cos x}}{e^{\cos x} + e^{-\cos x}} dx. \]
View Solution
Step 1: {Consider a transformation
Let: \[ I = \int_0^{\pi} \frac{e^{\cos x}}{e^{\cos x} + e^{-\cos x}} dx. \]
Applying the property: \[ I = \int_0^{\pi} \frac{e^{\cos(\pi - x)}}{e^{\cos(\pi - x)} + e^{-\cos(\pi - x)}} dx. \]
Since \( \cos(\pi - x) = -\cos x \), we get: \[ I = \int_0^{\pi} \frac{e^{-\cos x}}{e^{-\cos x} + e^{\cos x}} dx. \]
Step 2: {Add both integrals
Adding both forms of \( I \): \[ 2I = \int_0^{\pi} dx. \]
\[ 2I = \pi. \]
Step 3: {Solve for \( I \)
\[ I = \frac{\pi}{2}. \]
Final Answer: \[ I = \frac{\pi}{2}. \] Quick Tip: For symmetric integrals, apply transformations such as \( f(a - x) = f(x) \).
Evaluate: \[ \int \frac{2x+1}{(x+1)^2 (x-1)} \ dx. \]
View Solution
Step 1: {Decompose the fraction
Using partial fraction decomposition: \[ \frac{2x+1}{(x+1)^2 (x-1)} = \frac{A}{x+1} + \frac{B}{(x+1)^2} + \frac{C}{x-1}. \]
Solving for coefficients: \[ A = -\frac{3}{4}, \quad B = -\frac{1}{2}, \quad C = \frac{3}{4}. \]
Step 2: {Integrate each term
\[ \int \frac{A}{x+1} dx = -\frac{3}{4} \log |x+1|. \] \[ \int \frac{B}{(x+1)^2} dx = -\frac{1}{2(x+1)}. \] \[ \int \frac{C}{x-1} dx = \frac{3}{4} \log |x-1|. \]
Step 3: {Combine the results
\[ I = -\frac{3}{4} \log |x+1| - \frac{1}{2(x+1)} + \frac{3}{4} \log |x-1| + C. \]
Rewriting: \[ I = \frac{3}{4} \log \left| \frac{x - 1}{x + 1} \right| - \frac{1}{2(x + 1)} + C. \]
Final Answer: \[ \frac{3}{4} \log \left| \frac{x - 1}{x + 1} \right| - \frac{1}{2(x + 1)} + C. \] Quick Tip: For rational function integrals, use partial fractions to split the terms.
If \( y = (\tan^{-1}x)^2 \), show that: \[ (x^2 + 1)^2 \frac{d^2y}{dx^2} + 2x(x^2 + 1) \frac{dy}{dx} = 2. \]
View Solution
Step 1: {Differentiate \( y = (\tan^{-1}x)^2 \) with respect to \( x \)
Using the chain rule:
\[ \frac{dy}{dx} = 2 (\tan^{-1} x) \times \frac{d}{dx} (\tan^{-1} x). \]
Since
\[ \frac{d}{dx} (\tan^{-1} x) = \frac{1}{1 + x^2}, \]
we obtain:
\[ \frac{dy}{dx} = \frac{2 \tan^{-1} x}{1 + x^2}. \]
Step 2: {Multiply by \( (1 + x^2) \)
\[ (1 + x^2) \frac{dy}{dx} = 2 \tan^{-1} x. \]
Step 3: {Differentiate again with respect to \( x \)
Using the product rule:
\[ \frac{d}{dx} \left[ (1 + x^2) \frac{dy}{dx} \right] = \frac{d}{dx} (2 \tan^{-1} x). \]
Expanding the left-hand side:
\[ (1 + x^2) \frac{d^2y}{dx^2} + 2x \frac{dy}{dx} = \frac{d}{dx} (2 \tan^{-1} x). \]
Since
\[ \frac{d}{dx} (2 \tan^{-1} x) = \frac{2}{1 + x^2}, \]
we obtain:
\[ (1 + x^2) \frac{d^2y}{dx^2} + 2x \frac{dy}{dx} = \frac{2}{1 + x^2}. \]
Step 4: {Multiply by \( (1 + x^2) \) to simplify
\[ (1 + x^2)^2 \frac{d^2y}{dx^2} + 2x (1 + x^2) \frac{dy}{dx} = 2. \]
Final Answer:
\[ \therefore (x^2 + 1)^2 \frac{d^2y}{dx^2} + 2x(x^2 + 1) \frac{dy}{dx} = 2. \] Quick Tip: For functions involving \( \tan^{-1} x \), the derivative formula: \[ \frac{d}{dx} (\tan^{-1} x) = \frac{1}{1 + x^2} \] is crucial for solving differentiation problems.
Find the particular solution of the differential equation \[ \frac{dy}{dx} - 2xy = 3x^2 e^{x^2}, \quad y(0) = 5. \]
View Solution
Step 1: {Identify standard form
The given equation is a first-order linear differential equation of the form: \[ \frac{dy}{dx} + P(x)y = Q(x), \]
where \( P = -2x \) and \( Q = 3x^2 e^{x^2} \).
Step 2: {Find the integrating factor
\[ I.F = e^{\int -2x \ dx} = e^{-x^2}. \]
Step 3: {Multiply throughout by \( I.F \)
\[ y e^{-x^2} = \int e^{-x^2} \cdot 3x^2 e^{x^2} dx. \]
Since \( e^{-x^2} e^{x^2} = 1 \), the integral simplifies to: \[ y e^{-x^2} = \int 3x^2 dx. \]
Step 4: {Evaluate the integral
\[ \int 3x^2 dx = x^3 + C. \]
Thus, the general solution is: \[ y e^{-x^2} = x^3 + C. \]
Step 5: {Find the particular solution using \( y(0) = 5 \)
\[ 5 e^{0} = 0 + C \Rightarrow C = 5. \]
Final Answer: \[ y = (x^3 + 5)e^{x^2}. \] Quick Tip: For first-order linear differential equations, always compute the integrating factor and use it to solve.
Solve the following differential equation: \[ x^2 dy + y(x+y) dx = 0. \]
View Solution
Step 1: {Rewrite the equation
\[ \frac{dy}{dx} = -\frac{y}{x} - \left(\frac{y}{x}\right)^2. \]
Step 2: {Substituting \( v = \frac{y}{x} \)
Let \( y = vx \), so: \[ \frac{dy}{dx} = v + x \frac{dv}{dx}. \]
Substituting in the equation: \[ v + x \frac{dv}{dx} = -v - v^2. \]
Step 3: {Separate the variables
\[ \frac{1}{v^2 + 2v} dv = -\frac{1}{x} dx. \]
Rewriting: \[ \int \frac{1}{(v+1)^2 - 1} dv = \int -\frac{1}{x} dx. \]
Step 4: {Integrating both sides
\[ \frac{1}{2} \log \left| \frac{v}{v+2} \right| = \log \left| \frac{C}{x} \right|. \]
Final Answer: \[ \left| \frac{y}{y+2x} \right| = \frac{C^2}{x^2}, \quad or \quad x^2 y = k(y + 2x). \] Quick Tip: For homogeneous differential equations, use substitution \( v = \frac{y}{x} \) to simplify.
Find \( \frac{dy}{dx} \) if \[ (\cos x)^y = (\cos y)^x. \]
View Solution
Step 1: {Take logarithm on both sides
\[ \log \left( (\cos x)^y \right) = \log \left( (\cos y)^x \right). \]
Using logarithm property: \[ y \log \cos x = x \log \cos y. \]
Step 2: {Differentiate both sides
Applying implicit differentiation: \[ \frac{d}{dx} \left( y \log \cos x \right) = \frac{d}{dx} \left( x \log \cos y \right). \]
Using product rule: \[ y \cdot \frac{d}{dx} (\log \cos x) + \frac{dy}{dx} \cdot \log \cos x = x \cdot \frac{d}{dx} (\log \cos y) + \log \cos y \cdot \frac{dy}{dx}. \]
Step 3: {Solve for \( \frac{dy}{dx} \)
\[ y (-\tan x) + \frac{dy}{dx} \log \cos x = x (-\tan y) + \frac{dy}{dx} \log \cos y. \]
Rearranging: \[ \frac{dy}{dx} (\log \cos x + x \tan y) = \log \cos y + y \tan x. \]
\[ \frac{dy}{dx} = \frac{\log \cos y + y \tan x}{\log \cos x + x \tan y}. \]
Final Answer: \[ \frac{dy}{dx} = \frac{\log \cos y + y \tan x}{\log \cos x + x \tan y}. \] Quick Tip: When both variables appear as exponents, logarithm differentiation is a powerful tool.
If \[ \sqrt{1 - x^2} + \sqrt{1 - y^2} = a(x - y), \]
prove that \[ \frac{dy}{dx} = \frac{\sqrt{1 - y^2}}{\sqrt{1 - x^2}}. \]
View Solution
Step 1: {Define substitutions
Let: \[ x = \sin A, \quad y = \sin B. \]
Then: \[ A = \sin^{-1} x, \quad B = \sin^{-1} y. \]
Step 2: {Rewrite the given equation
\[ \sqrt{1 - x^2} + \sqrt{1 - y^2} = a(x - y). \]
Rewriting using trigonometry: \[ \cos A + \cos B = a(\sin A - \sin B). \]
Using the sum-to-product formulas: \[ 2 \cos \frac{A+B}{2} \cos \frac{A-B}{2} = 2a \cos \frac{A+B}{2} \sin \frac{A-B}{2}. \]
Step 3: {Solve for \( \frac{dy}{dx} \)
Dividing both sides: \[ \cot \frac{A - B}{2} = a. \] \[ A - B = 2 \cot^{-1} a. \]
Differentiating both sides with respect to \( x \): \[ \frac{1}{\sqrt{1 - x^2}} - \frac{1}{\sqrt{1 - y^2}} \frac{dy}{dx} = 0. \]
Step 4: {Rearrange for \( \frac{dy}{dx} \)
\[ \frac{dy}{dx} = \frac{\sqrt{1 - y^2}}{\sqrt{1 - x^2}}. \]
Final Answer: \[ \frac{dy}{dx} = \frac{\sqrt{1 - y^2}}{\sqrt{1 - x^2}}. \] Quick Tip: For equations involving square roots, substitution using trigonometric identities often simplifies differentiation.
Find the projection of vector \( (\vec{b} + \vec{c}) \) on vector \( \vec{a} \), where \[ \vec{a} = 2\hat{i} + 2\hat{j} + \hat{k}, \quad \vec{b} = \hat{i} + 3\hat{j} + \hat{k}, \quad \vec{c} = \hat{i} + \hat{k}. \]
View Solution
Step 1: {Find \( \vec{b} + \vec{c} \)
\[ \vec{b} + \vec{c} = (1+1)\hat{i} + (3+0)\hat{j} + (1+1)\hat{k} = 2\hat{i} + 3\hat{j} + 2\hat{k}. \]
Step 2: {Compute the projection of \( (\vec{b} + \vec{c}) \) on \( \vec{a} \)
The formula for the projection of \( \vec{v} \) on \( \vec{u} \) is:
\[ Projection of (\vec{b} + \vec{c}) on \vec{a} = \frac{(\vec{b} + \vec{c}) \cdot \vec{a}}{|\vec{a}|}. \]
Step 3: {Calculate the dot product
\[ (\vec{b} + \vec{c}) \cdot \vec{a} = (2 \times 2) + (3 \times 2) + (2 \times 1) = 4 + 6 + 2 = 12. \]
Step 4: {Find the magnitude of \( \vec{a} \)
\[ |\vec{a}| = \sqrt{2^2 + 2^2 + 1^2} = \sqrt{4 + 4 + 1} = \sqrt{9} = 3. \]
Step 5: {Compute the final projection value
\[ Projection = \frac{12}{3} = 4. \]
Final Answer:
\[ \therefore The projection of (\vec{b} + \vec{c}) on \vec{a} is 4. \] Quick Tip: The projection formula is given by: \[ Projection of \vec{v} on \vec{u} = \frac{\vec{v} \cdot \vec{u}}{|\vec{u}|}. \]
An urn contains 3 red and 2 white marbles. Two marbles are drawn one by one with replacement from the urn. Find the probability distribution of the number of white balls. Also, find the mean of the number of white balls drawn.
View Solution
Step 1: {Define the random variable
Let \( X \) be the number of white marbles drawn.
The probability of drawing a white marble in one draw is:
\[ P(W) = \frac{2}{5}, \quad P(R) = \frac{3}{5}. \]
Since the marbles are drawn with replacement, the probability distribution of \( X \) follows a binomial distribution.
Step 2: {Construct the probability distribution
\[ \begin{array}{|c|c|c|c|} \hline X & 0 & 1 & 2
\hline P(X) & \frac{9}{25} & \frac{12}{25} & \frac{4}{25}
\hline \end{array} \]
where:
\[ P(X=0) = P(RR) = \left(\frac{3}{5}\right)^2 = \frac{9}{25}. \]
\[ P(X=1) = P(RW) + P(WR) = 2 \times \left(\frac{3}{5} \times \frac{2}{5}\right) = \frac{12}{25}. \]
\[ P(X=2) = P(WW) = \left(\frac{2}{5}\right)^2 = \frac{4}{25}. \]
Step 3: {Calculate the mean
The expected value \( E(X) \) is given by:
\[ E(X) = 0 \times \frac{9}{25} + 1 \times \frac{12}{25} + 2 \times \frac{4}{25}. \]
\[ = 0 + \frac{12}{25} + \frac{8}{25} = \frac{20}{25} = \frac{4}{5}. \]
Final Answer:
\[ \therefore The mean of the number of white marbles drawn is \frac{4}{5}. \] Quick Tip: The expected value (mean) of a discrete random variable \( X \) is calculated as: \[ E(X) = \sum X P(X). \]
Find the area of the region bounded by the curve \( 4x^2 + y^2 = 36 \) using integration.
View Solution
Step 1: {Rewrite the given equation in standard ellipse form
\[ \frac{x^2}{9} + \frac{y^2}{36} = 1. \]
This represents an ellipse centered at the origin with semi-major axis \(6\) along the \(y\)-axis and semi-minor axis \(3\) along the \(x\)-axis.
Step 2: {Use integration to find the bounded area
The area of one quadrant of the ellipse is given by: \[ \int_0^3 \sqrt{9 - x^2} \ dx. \]
Using the standard formula: \[ Area = 4 \times \frac{6}{3} \int_0^3 \sqrt{9 - x^2} \ dx. \]
Solving using trigonometric substitution: \[ = 8 \left[ \frac{x}{2} \sqrt{9 - x^2} + \frac{9}{2} \sin^{-1} \frac{x}{3} \right]_0^3. \]
Step 3: {Evaluate the definite integral
\[ = 8 \left[ \frac{3}{2} \times 0 + \frac{9}{2} \times \frac{\pi}{2} \right]. \]
\[ = 8 \times \frac{9\pi}{4} = 18\pi. \]
Final Answer: \[ Area = 18\pi. \] Quick Tip: For ellipses, use standard area formulas or integration with trigonometric substitution.
Find the coordinates of the foot of the perpendicular drawn from the point \( (2, 3, -8) \) to the line: \[ \frac{4 - x}{2} = \frac{y}{6} = \frac{1 - z}{3}. \]
Also, find the perpendicular distance of the given point from the line.
View Solution
The standard form of the equation of the line is \[ \frac{x - 4}{-2} = \frac{y - 1}{6} = \frac{z - 1}{-3} \]
Let the foot of the perpendicular from the point A \((2, 3, -8)\) to the given line be B \((-2\lambda + 4, 6\lambda - 3, -3\lambda + 9)\).
The direction ratios of AB are: \[ -2\lambda + 2, \, 6\lambda - 3, \, -3\lambda + 9 \]
As AB is perpendicular to the given line: \[ -2(-2\lambda + 2) + 6(6\lambda - 3) - 3(-3\lambda + 9) = 0 \]
Simplifying the equation: \[ 4\lambda - 4 + 36\lambda - 18 + 9\lambda - 27 = 0 \] \[ 49\lambda - 49 = 0 \] \[ \Rightarrow \lambda = 1 \]
Therefore, the foot of the perpendicular is: \[ B(2, 6, -2) \]
The perpendicular distance is: \[ AB = 3\sqrt{5} \]
Final Answer: \[ Foot of perpendicular = (2,6,-2), \quad Perpendicular Distance = 3\sqrt{5}. \] Quick Tip: To find the foot of a perpendicular, use the parametric equation of the line and set the dot product to zero.
Find the shortest distance between the lines \( L_1 \) and \( L_2 \) given below: \[ L_1 : The line passing through (2, -1, 1) and parallel to \frac{x}{1} = \frac{y}{1} = \frac{z}{3} \]
\[ L_2 : \vec{r} = \hat{i} + (2\mu + 1) \hat{j} - (\mu + 2) \hat{k}. \]
View Solution
Step 1: {Find direction vectors
Direction vectors: \[ \vec{a}_1 = 2\hat{i} - \hat{j} + \hat{k}, \quad \vec{b}_1 = \hat{i} + \hat{j} + 3\hat{k}. \]
\[ \vec{a}_2 = \hat{i} + \hat{j} - 2\hat{k}, \quad \vec{b}_2 = 2\hat{j} - \hat{k}. \]
Step 2: {Find shortest distance formula
\[ \vec{a}_2 - \vec{a}_1 = (-\hat{i} + 2\hat{j} - 3\hat{k}). \]
\[ \vec{b}_1 \times \vec{b}_2 = (-7\hat{i} + \hat{j} + 2\hat{k}). \]
Step 3: {Compute shortest distance
\[ Shortest Distance = \frac{|(\vec{a}_2 - \vec{a}_1) \cdot (\vec{b}_1 \times \vec{b}_2)|}{|\vec{b}_1 \times \vec{b}_2|}. \]
\[ = \frac{1}{\sqrt{6}}. \]
Final Answer: \[ \frac{1}{\sqrt{6}}. \] Quick Tip: For shortest distance between skew lines, use the formula involving cross products.
If \( A = \begin{bmatrix} 1 & 2 & -3
2 & 0 & -3
1 & 2 & 0 \end{bmatrix} \), then find \( A^{-1} \) and hence solve the system of equations: \[ x + 2y - 3z = 1, \] \[ 2x - 3z = 2, \] \[ x + 2y = 3. \]
View Solution
Step 1: {Find \( \det(A) \)
\[ |A| = 1(6) - 2(3) - 3(4) = -12 \neq 0. \]
Since \( \det(A) \neq 0 \), \( A^{-1} \) exists.
Step 2: {Find adjoint matrix and inverse
\[ adj(A) = \begin{bmatrix} 6 & -6 & -6
-3 & 3 & 3
4 & 0 & -4 \end{bmatrix}. \]
\[ A^{-1} = \frac{1}{-12} \begin{bmatrix} 6 & -6 & -6
-3 & 3 & 3
4 & 0 & -4 \end{bmatrix}. \]
Step 3: {Solve the system using matrix method
\[ AX = B, \quad X = A^{-1} B. \]
\[ X = A^{-1} \begin{bmatrix} 1
2
3 \end{bmatrix}. \]
Computing: \[ X = \begin{bmatrix} 2
\frac{1}{2}
\frac{2}{3} \end{bmatrix}. \]
Final Answer: \[ x = 2, \quad y = \frac{1}{2}, \quad z = \frac{2}{3}. \] Quick Tip: To solve a system using the inverse method, compute \( A^{-1} \) and multiply by the constant matrix.
Find the product of the matrices \[ \begin{bmatrix} 1 & 2 & -3
2 & 3 & 2
3 & -3 & -4 \end{bmatrix} \begin{bmatrix} -6 & 17 & 13
14 & 5 & -8
-15 & 9 & -1 \end{bmatrix} \]
and hence solve the system of equations: \[ x + 2y - 3z = -4, \] \[ 2x + 3y + 2z = 2, \] \[ 3x - 3y - 4z = 11. \]
View Solution
Step 1: {Multiply the matrices
\[ \begin{bmatrix} 1 & 2 & -3
2 & 3 & 2
3 & -3 & -4 \end{bmatrix} \begin{bmatrix} -6 & 17 & 13
14 & 5 & -8
-15 & 9 & -1 \end{bmatrix} = \begin{bmatrix} 67 & 0 & 0
0 & 67 & 0
0 & 0 & 67 \end{bmatrix}. \]
Step 2: {Solve the system using inverse method
\[ A^{-1} = \frac{1}{67} \begin{bmatrix} -6 & 17 & 13
14 & 5 & -8
-15 & 9 & -1 \end{bmatrix}. \]
\[ X = A^{-1} B. \]
Computing: \[ X = \begin{bmatrix} 3
-2
1 \end{bmatrix}. \]
Final Answer: \[ x = 3, \quad y = -2, \quad z = 1. \] Quick Tip: If the matrix product results in a diagonal matrix, solving for unknowns becomes straightforward.
Solve the following L.P.P. graphically:
\[ Minimise Z = 6x + 3y \]
Subject to constraints:
\[ 4x + y \geq 80 \]
\[ x + 5y \geq 115 \]
\[ 3x + 2y \leq 150 \]
\[ x, y \geq 0 \]
View Solution
Step 1: {Plot the constraints on a graph
The given inequalities represent lines in the \( xy \)-plane. These constraints form a feasible region, and the corner points of this region determine the minimum value of \( Z \).
Step 2: {Find the intersection points of the constraints
Solving for corner points:
1. Intersection of \( 4x + y = 80 \) and \( x + 5y = 115 \):
Solving these equations simultaneously:
\[ 4x + y = 80 \]
\[ x + 5y = 115 \]
Multiplying the second equation by 4:
\[ 4x + 20y = 460 \]
Subtracting,
\[ 19y = 380 \Rightarrow y = 20. \]
Substituting \( y = 20 \) into \( x + 5(20) = 115 \):
\[ x + 100 = 115 \Rightarrow x = 15. \]
So, Point B \( (15,20) \).
2. Intersection of \( 4x + y = 80 \) and \( 3x + 2y = 150 \):
Solving these equations:
\[ 4x + y = 80 \]
\[ 3x + 2y = 150 \]
Multiplying the first equation by 2:
\[ 8x + 2y = 160 \]
Subtracting,
\[ 5x = 10 \Rightarrow x = 2. \]
Substituting \( x = 2 \) into \( 4(2) + y = 80 \):
\[ 8 + y = 80 \Rightarrow y = 72. \]
So, Point A \( (2,72) \).
3. Intersection of \( x + 5y = 115 \) and \( 3x + 2y = 150 \):
Solving these equations:
\[ x + 5y = 115 \]
\[ 3x + 2y = 150 \]
Multiplying the first equation by 3:
\[ 3x + 15y = 345 \]
Subtracting,
\[ 13y = 195 \Rightarrow y = 15. \]
Substituting \( y = 15 \) into \( x + 5(15) = 115 \):
\[ x + 75 = 115 \Rightarrow x = 40. \]
So, Point C \( (40,15) \).
Step 3: {Evaluate \( Z = 6x + 3y \) at each corner point
\[ \begin{array}{|c|c|c|} \hline Corner Points & (x,y) & Z = 6x + 3y
\hline A & (2,72) & Z = 6(2) + 3(72) = 12 + 216 = 228
\hline B & (15,20) & Z = 6(15) + 3(20) = 90 + 60 = 150
\hline C & (40,15) & Z = 6(40) + 3(15) = 240 + 45 = 285
\hline \end{array} \]
Step 4: {Find the minimum value of \( Z \)
\[ The minimum value of Z is 150 at (x = 15, y = 20). \]
Final Answer:
\[ \therefore Minimum Z = 150 at (15,20). \]
Step 5: {Graphical Representation
Quick Tip: To solve an LPP graphically: 1. Convert inequalities into equalities and plot them. 2. Identify the feasible region. 3. Find corner points of the feasible region. 4. Evaluate the objective function at these points. 5. Choose the optimal value (minimum or maximum).
Write the expression for the area of the visiting card in terms of \( x \).
View Solution
We are given that \( xy = 24 \), which represents the area of the visiting card. The expression for the area is expanded as follows: \[ A(x) = (x+3)(y+2) \]
Expanding the product: \[ A(x) = x(y+2) + 3(y+2) = xy + 2x + 3y + 6 \]
Substituting \( xy = 24 \) into the equation, we get: \[ A(x) = 2x + 3y + 24 + 6 = 2x + 3y + 30 \]
Thus, the area of the visiting card is \( A(x) = 2x + 3y + 30 \). Quick Tip: When given area constraints, express one variable in terms of the other to form a single-variable function.
Obtain the dimensions of the card of minimum area.
View Solution
From the given derivative of the area function: \[ A'(x) = 2 - \frac{72}{x^2} \]
Setting \( A'(x) = 0 \) to find the critical point: \[ 2 - \frac{72}{x^2} = 0 \quad \Rightarrow \quad \frac{72}{x^2} = 2 \quad \Rightarrow \quad x^2 = 36 \quad \Rightarrow \quad x = 6 \]
Thus, \( x = 6 \) is a critical point.
Next, we check if it corresponds to a minimum by computing the second derivative: \[ A''(x) = \frac{144}{x^3} \]
Substituting \( x = 6 \) into \( A''(x) \): \[ A''(6) = \frac{144}{6^3} = \frac{144}{216} = \frac{2}{3} > 0 \]
Since \( A''(6) > 0 \), the area is minimum at \( x = 6 \) and \( y = 4 \).
The dimension of the card with minimum area is Length 9 cm = , Breadth 6 cm Quick Tip: To find the minimum area, differentiate the function and set the derivative to zero. Verify using the second derivative test.
Let \( E_1 \) and \( E_2 \) respectively denote the event of customer paying or not paying the first month bill in time. Find \( P(E_1) \), \( P(E_2) \).
View Solution
Step 1: {Define the probability values
From the problem statement, 70% of customers pay their first-month bill in time. Thus: \[ P(E_1) = \frac{7}{10} = 0.7. \]
Similarly, the probability of not paying in time is: \[ P(E_2) = \frac{3}{10} = 0.3. \]
Final Answer: \[ P(E_1) = 0.7, \quad P(E_2) = 0.3. \] Quick Tip: The sum of probabilities of mutually exclusive and exhaustive events always equals 1.
Let \( A \) denote the event of a customer paying the second month's bill in time, then find \( P(A|E_1) \) and \( P(A|E_2) \).
View Solution
Step 1: {Define conditional probabilities
The problem states:
- If the customer pays the first-month bill in time, the probability of paying next month is 0.8.
- If the customer does not pay in time, the probability of paying next month is 0.4.
Thus, we write: \[ P(A | E_1) = 0.8, \quad P(A | E_2) = 0.4. \]
Final Answer: \[ P(A | E_1) = 0.8, \quad P(A | E_2) = 0.4. \] Quick Tip: Conditional probability \( P(A|B) \) represents the likelihood of event \( A \) occurring given that \( B \) has already occurred.
Find the probability of a customer paying the second month's bill in time.
View Solution
Step 1: {Use the Law of Total Probability
The total probability theorem states: \[ P(A) = P(E_1) P(A | E_1) + P(E_2) P(A | E_2). \]
Step 2: {Substituting given values
\[ P(A) = (0.7 \times 0.8) + (0.3 \times 0.4). \]
Step 3: {Compute the values
\[ P(A) = 0.56 + 0.12 = 0.68. \]
In fraction form: \[ P(A) = \frac{17}{25}. \]
Final Answer: \[ P(A) = \frac{17}{25} = 0.68. \] Quick Tip: The Law of Total Probability states that if \( B_1, B_2, ..., B_n \) form a partition of the sample space, then: \[ P(A) = \sum_{i=1}^{n} P(B_i) P(A | B_i). \]
Find the probability of a customer paying the first month’s bill in time if it is found that the customer has paid the second month's bill in time.
View Solution
Step 1: {Use Bayes’ Theorem
By Bayes’ theorem: \[ P(E_1 | A) = \frac{P(E_1) P(A | E_1)}{P(A)}. \]
Step 2: {Substituting given values
\[ P(E_1 | A) = \frac{(0.7 \times 0.8)}{0.68}. \]
Step 3: {Compute the values
\[ P(E_1 | A) = \frac{0.56}{0.68} = \frac{14}{17}. \]
Final Answer: \[ P(E_1 | A) = \frac{14}{17}. \] Quick Tip: Bayes' Theorem helps update probabilities based on new information: \[ P(B | A) = \frac{P(A | B) P(B)}{P(A)}. \]
Find whether the relation \( R \) is symmetric or not.
View Solution
Step 1: {Definition of symmetry
A relation \( R \) is symmetric if: \[ (l_1, l_2) \in R \Rightarrow (l_2, l_1) \in R. \]
Step 2: {Check symmetry for parallel lines
Since \( R \) is defined as: \[ R = \{(l_1, l_2) : l_1 \parallel l_2\}. \]
If \( l_1 \parallel l_2 \), then it follows that \( l_2 \parallel l_1 \), which implies: \[ (l_2, l_1) \in R. \]
Thus, \( R \) is a symmetric relation.
Final Answer: \( R \) is a symmetric relation. Quick Tip: A relation is symmetric if whenever \( (a, b) \) is in the relation, then \( (b, a) \) must also be in the relation.
Find whether the relation \( R \) is transitive or not.
View Solution
Step 1: {Definition of transitivity
A relation \( R \) is transitive if: \[ (l_1, l_2) \in R and (l_2, l_3) \in R \Rightarrow (l_1, l_3) \in R. \]
Step 2: {Check transitivity for parallel lines
Since \( R \) is defined as: \[ R = \{(l_1, l_2) : l_1 \parallel l_2\}. \]
If \( l_1 \parallel l_2 \) and \( l_2 \parallel l_3 \), then by the transitive property of parallelism: \[ l_1 \parallel l_3. \]
This implies: \[ (l_1, l_3) \in R. \]
Thus, \( R \) is a transitive relation.
Final Answer: \( R \) is a transitive relation. Quick Tip: A relation is transitive if whenever \( (a, b) \) and \( (b, c) \) are in the relation, then \( (a, c) \) must also be in the relation.
If one of the rail lines on the railway track is represented by the equation \( y = 3x + 2 \), then find the set of rail lines in \( R \) related to it.
View Solution
Step 1: {Equation of given rail line
The given equation is: \[ y = 3x + 2. \]
This represents a straight line with slope \( 3 \).
Step 2: {Find parallel lines
A line is parallel to \( y = 3x + 2 \) if it has the same slope, meaning its equation is of the form: \[ y = 3x + c, \quad c \in \mathbb{R}. \]
Thus, the set of all rail lines related to the given line in \( R \) is: \[ \{ l : l is a line of type y = 3x + c, c \in \mathbb{R} \}. \]
Final Answer: The set is \( \{l : l is a line of type y = 3x + c, c \in \mathbb{R} \} \). Quick Tip: All lines parallel to a given line will have the same slope but different intercepts.
Let \( S \) be the relation defined by \[ S = \{(l_1, l_2) : l_1 is perpendicular to l_2\} \]
Check whether the relation \( S \) is symmetric and transitive.
View Solution
Step 1: {Definition of symmetry
A relation \( S \) is symmetric if: \[ (l_1, l_2) \in S \Rightarrow (l_2, l_1) \in S. \]
Since \( S \) is defined as: \[ S = \{(l_1, l_2) : l_1 \perp l_2\}. \]
If \( l_1 \perp l_2 \), then \( l_2 \perp l_1 \), so: \[ (l_2, l_1) \in S. \]
Thus, \( S \) is a symmetric relation.
Step 2: {Definition of transitivity
A relation \( S \) is transitive if: \[ (l_1, l_2) \in S and (l_2, l_3) \in S \Rightarrow (l_1, l_3) \in S. \]
If \( l_1 \perp l_2 \) and \( l_2 \perp l_3 \), then \( l_1 \) may not necessarily be perpendicular to \( l_3 \), meaning: \[ (l_1, l_3) \notin S. \]
Thus, \( S \) is not transitive.
Final Answer: \( S \) is symmetric but not transitive. Quick Tip: Perpendicularity is symmetric but not always transitive. For example, if \( A \) is perpendicular to \( B \) and \( B \) is perpendicular to \( C \), it does not necessarily mean \( A \) is perpendicular to \( C \).



Comments