NEET 2023 Question paper with answer key pdf G6 is available for download. NEET 2023 G6 question paper has been conducted by the NTA on May 7, 2023, in pen-paper mode. NEET 2023 question paper code G6 consists of 200 MCQs- 180 to be attempted in 200 minutes. Each of the 4 subjects (Zoology, Botany, Chemistry, Physics) in NEET G6 question paper 2023 have 50 MCQs (45 to be attempted).
You can download NEET 2023 question paper with answer key with solutions PDF for G6 using the links given below.
NEET 2023 Question Paper with Answer Key PDF G6 in English
| NEET 2023 G6 Question Paper with Answer Key PDF | Download PDF | Check Solutions |

The work functions of Caesium (Cs), Potassium (K) and Sodium (Na) are 2.14 eV, 2.30 eV and 2.75 eV respectively. If incident electromagnetic radiation has an incident energy of 2.20 eV, which of these photosensitive surfaces may emit photoelectrons?
View Solution
Step 1: Understanding the Question:
The question asks to identify which metal(s) will exhibit the photoelectric effect when illuminated by electromagnetic radiation of a specific energy.
Step 2: Key Formula or Approach:
The condition for the photoelectric effect to occur is that the energy of the incident radiation (E) must be greater than or equal to the work function (\(\Phi\)) of the metal surface.
\[ E \geq \Phi \]
Photoelectrons are emitted only if this condition is met.
Step 3: Detailed Explanation:
We are given the following values:
- Incident energy, \(E = 2.20 eV\)
- Work function of Caesium, \(\Phi_{Cs} = 2.14 eV\)
- Work function of Potassium, \(\Phi_{K} = 2.30 eV\)
- Work function of Sodium, \(\Phi_{Na} = 2.75 eV\)
Now, we will check the condition \(E > \Phi\) for each metal:
1. For Caesium (Cs):
Is \(2.20 eV > 2.14 eV\)? Yes. So, photoelectrons will be emitted from Caesium.
2. For Potassium (K):
Is \(2.20 eV > 2.30 eV\)? No. So, photoelectrons will not be emitted from Potassium.
3. For Sodium (Na):
Is \(2.20 eV > 2.75 eV\)? No. So, photoelectrons will not be emitted from Sodium.
Step 4: Final Answer:
Based on the analysis, only Caesium (Cs) will emit photoelectrons because its work function is less than the energy of the incident radiation.
Quick Tip: For photoelectric effect questions, always remember the fundamental condition: Incident Energy must be greater than the Work Function. The work function is the minimum energy required to eject an electron from a metal surface.
The net magnetic flux through any closed surface is:
View Solution
Step 1: Understanding the Question:
The question asks for the value of the net magnetic flux passing through any arbitrary closed surface.
Step 2: Detailed Explanation:
This question relates to a fundamental law of magnetism known as Gauss's Law for Magnetism.
- This law is one of the four Maxwell's equations.
- It states that the net magnetic flux (\(\Phi_B\)) through any closed surface is always zero.
\[ \oint \vec{B} \cdot d\vec{A} = 0 \]
- The physical reason for this law is that magnetic monopoles (isolated north or south poles) have never been observed to exist.
- Magnetic field lines always form closed loops. This means that for any closed surface, the number of magnetic field lines entering the surface is equal to the number of magnetic field lines leaving it.
- Consequently, the net magnetic flux, which is the measure of the total number of magnetic field lines passing through the surface, is zero.
Step 3: Final Answer:
According to Gauss's Law for Magnetism, the net magnetic flux through any closed surface is zero.
Quick Tip: Remember this as a fundamental principle: Magnetic monopoles do not exist, so magnetic field lines are always closed loops. This directly implies that the net magnetic flux through any closed surface is zero. Contrast this with Gauss's Law for electricity, where the net electric flux can be non-zero if there is a net charge inside the surface.
If the galvanometer G does not show any deflection in the circuit shown, the value of R is given by:
View Solution
Step 1: Understanding the Question:
The problem describes a circuit and states that the galvanometer (G) shows no deflection. This is a null-deflection condition, which means no current is flowing through the galvanometer. We need to find the value of the unknown resistance R that satisfies this condition.
Step 2: Key Formula or Approach:
The condition of no deflection in the galvanometer implies that the potential at the two points connected to the galvanometer is equal. We can apply Kirchhoff's laws or the principle of a potentiometer to solve this.
Step 3: Detailed Explanation:
Let's denote the points in the circuit. Let the positive terminal of the 10 V battery be A and the negative terminal be B. The circuit consists of a primary loop (A -> 400 \(\Omega\) -> P -> R -> B) and a secondary loop connected at point P.
- If the galvanometer shows no deflection, it means the potential at point P is equal to the potential at the positive terminal of the 2 V battery.
- Let's assume the potential at the negative terminal B is 0 V. Then the potential at the positive terminal of the 10 V battery (point A) is 10 V, and the potential at the positive terminal of the 2 V battery is 2 V.
- For no current through G, the potential at point P must be 2 V.
- The resistors 400 \(\Omega\) and R are in series across the 10 V battery. The total resistance in the primary circuit is \(R_{total} = 400 + R\).
- The current (I) flowing through the primary circuit is given by Ohm's law:
\[ I = \frac{V_{total}}{R_{total}} = \frac{10}{400 + R} \]
- The potential drop across the 400 \(\Omega\) resistor is \(V_{400} = I \times 400\).
- The potential at point P is the potential at A minus the potential drop across the 400 \(\Omega\) resistor:
\[ V_P = V_A - V_{400} = 10 - I \times 400 \]
- We know that \(V_P\) must be 2 V for null deflection.
\[ 2 = 10 - \left( \frac{10}{400 + R} \right) \times 400 \]
- Rearranging the equation to solve for R:
\[ \left( \frac{10}{400 + R} \right) \times 400 = 10 - 2 \] \[ \frac{4000}{400 + R} = 8 \] \[ 4000 = 8 \times (400 + R) \] \[ 4000 = 3200 + 8R \] \[ 8R = 4000 - 3200 \] \[ 8R = 800 \] \[ R = \frac{800}{8} = 100 \, \Omega \]
Step 4: Final Answer:
The value of resistance R for which the galvanometer shows no deflection is 100 \(\Omega\).
Quick Tip: This circuit is an application of the potentiometer principle. The null point is found when the potential difference across a portion of the potentiometer wire (here, the resistor R, from the perspective of the 0V terminal) is equal to the EMF of the cell in the secondary circuit. Here, potential across R must be 2V. So, potential across 400 \(\Omega\) must be 10V - 2V = 8V. Since V is proportional to R in a series circuit, \(\frac{V_{400}}{V_R} = \frac{400}{R}\), which gives \(\frac{8}{2} = \frac{400}{R}\), so \(4 = \frac{400}{R}\), and \(R = 100 \, \Omega\).
A 12 V, 60 W lamp is connected to the secondary of a step down transformer, whose primary is connected to ac mains of 220 V. Assuming the transformer to be ideal, what is the current in the primary winding?
View Solution
Step 1: Understanding the Question:
The problem involves an ideal transformer. We are given the voltage and power rating of the load connected to the secondary coil, and the voltage of the primary coil. We need to find the current in the primary coil.
Step 2: Key Formula or Approach:
For an ideal transformer, the efficiency is 100%. This means that the power input to the primary coil is equal to the power output from the secondary coil.
\[ Power_{in} = Power_{out} \] \[ V_p I_p = V_s I_s = P_s \]
Where \(V_p\) and \(I_p\) are the primary voltage and current, and \(V_s\) and \(I_s\) are the secondary voltage and current. \(P_s\) is the power consumed by the load.
Step 3: Detailed Explanation:
Given data:
- Secondary voltage, \(V_s = 12 V\)
- Power of the lamp (output power), \(P_s = 60 W\)
- Primary voltage, \(V_p = 220 V\)
Since the transformer is ideal, the input power (\(P_p\)) is equal to the output power (\(P_s\)).
\[ P_p = P_s = 60 W \]
The input power is also given by the product of the primary voltage and primary current:
\[ P_p = V_p \times I_p \]
We can now solve for the primary current, \(I_p\):
\[ 60 W = 220 V \times I_p \] \[ I_p = \frac{60}{220} A \] \[ I_p = \frac{6}{22} A = \frac{3}{11} A \]
Calculating the decimal value:
\[ I_p \approx 0.2727... A \]
Step 4: Final Answer:
The current in the primary winding is approximately 0.27 A.
Quick Tip: The keyword in this problem is "ideal transformer". This immediately tells you that Power In = Power Out. You don't need to calculate the secondary current or the turns ratio. Just equate the primary power (\(V_p I_p\)) to the given output power.
A full wave rectifier circuit consists of two p-n junction diodes, a centre-tapped transformer, capacitor and a load resistance. Which of these components remove the ac ripple from the rectified output?
View Solution
Step 1: Understanding the Question:
The question asks about the function of different components in a full-wave rectifier circuit, specifically which component is responsible for filtering or smoothing the output voltage to reduce the AC ripple.
Step 2: Detailed Explanation:
Let's analyze the role of each component listed:
1. p-n junction diodes: The diodes are the core of the rectifier. Their property of allowing current to flow in only one direction is used to convert the alternating current (AC) into a pulsating direct current (DC). They perform the rectification.
2. A centre-tapped transformer: This transformer steps down the AC mains voltage to a suitable level. The centre-tap provides two AC signals that are 180 degrees out of phase, which are fed to the two diodes for full-wave rectification.
3. Load resistance (\(R_L\)): This is the resistance across which the rectified output voltage is obtained. The current flows through it to power the intended device.
4. Capacitor: A capacitor connected in parallel with the load resistance acts as a filter. When the rectified voltage is increasing, the capacitor charges. When the rectified voltage starts to decrease, the capacitor discharges slowly through the load resistor, thus maintaining the voltage at a nearly constant level. This process significantly smooths out the pulsating DC output, reducing the fluctuations known as AC ripple. This type of filter is called a shunt capacitor filter.
Step 3: Final Answer:
The capacitor is the component used to remove the AC ripple from the rectified output, making the DC voltage smoother.
Quick Tip: In rectifier circuits, the process of converting pulsating DC into a smoother, more constant DC is called filtering. The most common and simple filter is a capacitor placed in parallel with the load. Think of the capacitor as a small, temporary battery that stores charge at the peaks and releases it during the valleys of the waveform.
In a plane electromagnetic wave travelling in free space, the electric field component oscillates sinusoidally at a frequency of \(2.0 \times 10^{10}\) Hz and amplitude 48 V m\(^{-1}\). Then the amplitude of oscillating magnetic field is: (Speed of light in free space = \(3 \times 10^8\) m s\(^{-1}\))
View Solution
Step 1: Understanding the Question:
The question provides the amplitude of the electric field component of an electromagnetic wave in free space and asks for the amplitude of the magnetic field component. The frequency information is extra and not needed for this specific calculation.
Step 2: Key Formula or Approach:
In an electromagnetic wave propagating in a vacuum (free space), the ratio of the amplitudes of the electric field (\(E_0\)) and the magnetic field (\(B_0\)) is equal to the speed of light in vacuum (c).
\[ c = \frac{E_0}{B_0} \]
Step 3: Detailed Explanation:
Given data:
- Amplitude of the electric field, \(E_0 = 48 V m^{-1}\)
- Speed of light in free space, \(c = 3 \times 10^8 m s^{-1}\)
We need to find the amplitude of the magnetic field, \(B_0\). Rearranging the formula:
\[ B_0 = \frac{E_0}{c} \]
Substituting the given values:
\[ B_0 = \frac{48}{3 \times 10^8} \] \[ B_0 = 16 \times 10^{-8} T \]
To express this in standard scientific notation (with one digit before the decimal point), we adjust the power of 10:
\[ B_0 = 1.6 \times 10^1 \times 10^{-8} T \] \[ B_0 = 1.6 \times 10^{-7} T \]
Step 4: Final Answer:
The amplitude of the oscillating magnetic field is \(1.6 \times 10^{-7}\) T.
Quick Tip: A simple way to remember the relationship is \(E = cB\). The electric field is 'bigger' than the magnetic field by a factor of 'c'. Be careful with units; ensure everything is in SI units before calculation. The frequency given is extraneous information for this particular question, which is a common tactic in exams to test your understanding of the relevant concepts.
A metal wire has mass (0.4 \(\pm\) 0.002) g, radius (0.3 \(\pm\) 0.001) mm and length (5 \(\pm\) 0.02) cm. The maximum possible percentage error in the measurement of density will nearly be:
View Solution
Step 1: Understanding the Question:
We are given the measurements of mass, radius, and length of a cylindrical wire along with their absolute errors. We need to calculate the maximum possible percentage error in the density of the wire.
Step 2: Key Formula or Approach:
First, express density (\(\rho\)) in terms of the given quantities: mass (m), radius (r), and length (l).
\[ Density, \rho = \frac{Mass}{Volume} = \frac{m}{V} \]
The volume of the wire (a cylinder) is \(V = \pi r^2 l\).
\[ \rho = \frac{m}{\pi r^2 l} \]
The formula for the maximum relative error in \(\rho\) is found by adding the relative errors of the quantities involved. For a quantity \(X = \frac{A^a B^b}{C^c}\), the maximum relative error is \(\frac{\Delta X}{X} = a\frac{\Delta A}{A} + b\frac{\Delta B}{B} + c\frac{\Delta C}{C}\).
Applying this to the density formula:
\[ \frac{\Delta \rho}{\rho} = \frac{\Delta m}{m} + 2\frac{\Delta r}{r} + \frac{\Delta l}{l} \]
The maximum percentage error is \(\frac{\Delta \rho}{\rho} \times 100%\).
Step 3: Detailed Explanation:
Given data:
- Mass, \(m = 0.4\) g, \(\Delta m = 0.002\) g
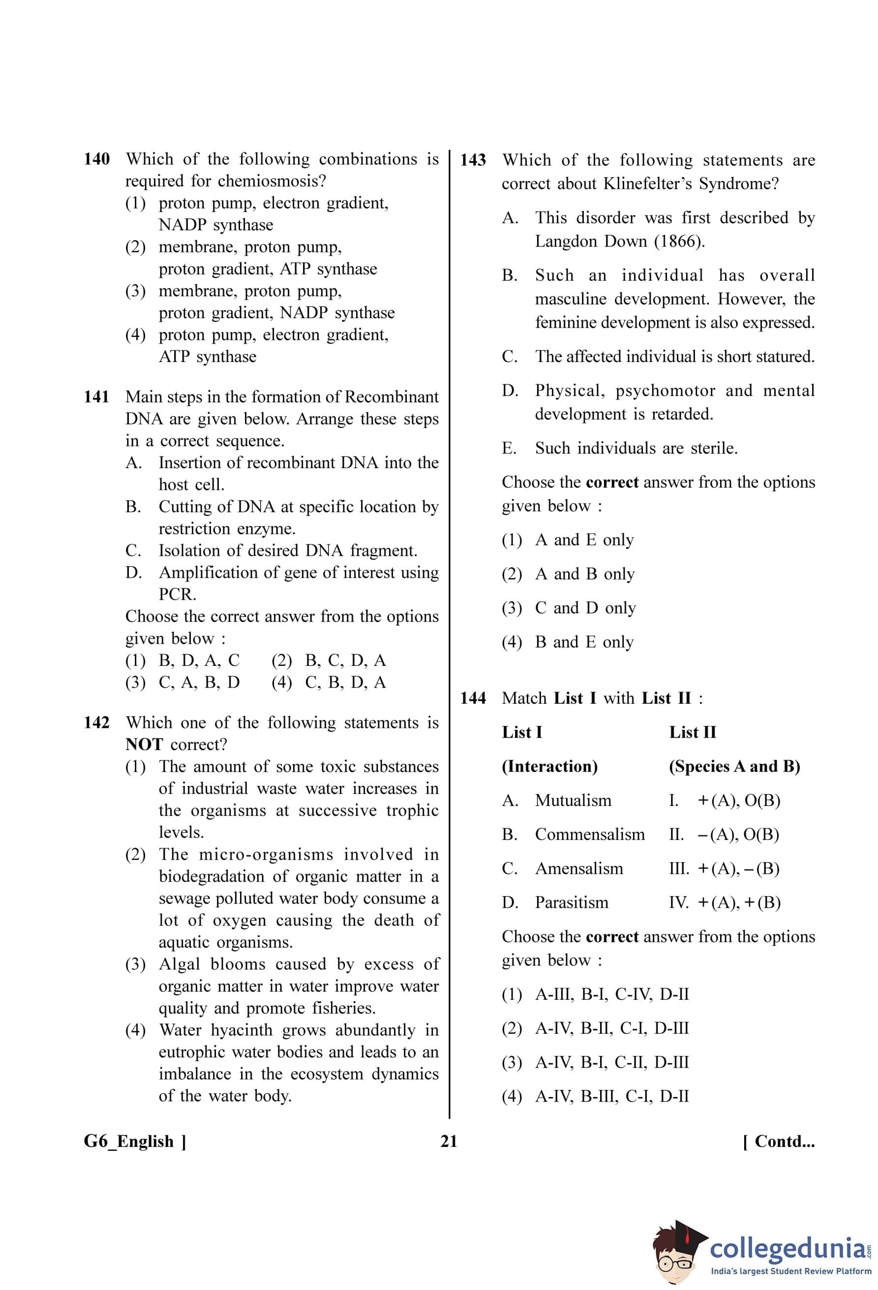
- Radius, \(r = 0.3\) mm, \(\Delta r = 0.001\) mm
- Length, \(l = 5\) cm, \(\Delta l = 0.02\) cm
Calculate the relative error for each measurement:
- Relative error in mass: \(\frac{\Delta m}{m} = \frac{0.002}{0.4} = \frac{2}{400} = 0.005\)
- Relative error in radius: \(\frac{\Delta r}{r} = \frac{0.001}{0.3} = \frac{1}{300}\)
- Relative error in length: \(\frac{\Delta l}{l} = \frac{0.02}{5} = \frac{2}{500} = 0.004\)
Now, substitute these values into the formula for the relative error in density:
\[ \frac{\Delta \rho}{\rho} = \frac{\Delta m}{m} + 2\frac{\Delta r}{r} + \frac{\Delta l}{l} \] \[ \frac{\Delta \rho}{\rho} = 0.005 + 2 \left( \frac{1}{300} \right) + 0.004 \] \[ \frac{\Delta \rho}{\rho} = 0.009 + \frac{2}{300} = 0.009 + \frac{1}{150} \] \[ \frac{1}{150} \approx 0.00667 \] \[ \frac{\Delta \rho}{\rho} \approx 0.009 + 0.00667 = 0.01567 \]
To find the percentage error, multiply by 100:
\[ Percentage Error = \frac{\Delta \rho}{\rho} \times 100% \approx 0.01567 \times 100% = 1.567% \]
Step 4: Final Answer:
The maximum possible percentage error is approximately 1.567%, which is nearly 1.6%.
Quick Tip: When calculating percentage error for a formula with powers (like \(r^2\)), remember to multiply the relative error of that variable by its power. Also, note that errors are always added, regardless of whether the quantity is in the numerator or denominator. The units of the measurement and its error must be the same, but you don't need to convert all quantities to a single system of units (like SI) as long as you are calculating relative errors.
Light travels a distance \(x\) in time \(t_1\) in air and \(10x\) in time \(t_2\) in another denser medium. What is the critical angle for this medium?
View Solution
Step 1: Understanding the Question:
The problem gives information about the speed of light in air and a denser medium in terms of distance and time. We need to find the critical angle for the interface between the denser medium and air.
Step 2: Key Formula or Approach:
1. Calculate the speed of light in each medium.
- Speed = Distance / Time
2. Calculate the refractive index of the denser medium relative to air.
- \( n = \frac{speed of light in vacuum (or air)}{speed of light in medium} = \frac{v_{air}}{v_{medium}} \)
3. Use the formula for the critical angle (\(\theta_c\)).
- \( \sin(\theta_c) = \frac{n_{rarer}}{n_{denser}} \)
Step 3: Detailed Explanation:
1. Calculate speeds:
- Speed of light in air, \(v_1 = \frac{distance}{time} = \frac{x}{t_1}\).
- Speed of light in the denser medium, \(v_2 = \frac{distance}{time} = \frac{10x}{t_2}\).
2. Calculate refractive index:
- The refractive index of air (\(n_1\)) is taken as 1.
- The refractive index of the denser medium (\(n_2\)) is given by:
\[ n_2 = \frac{v_1}{v_2} = \frac{x/t_1}{10x/t_2} \]
\[ n_2 = \frac{x}{t_1} \times \frac{t_2}{10x} = \frac{t_2}{10t_1} \]
3. Calculate critical angle:
- The critical angle (\(\theta_c\)) is the angle of incidence in the denser medium for which the angle of refraction in the rarer medium (air) is 90 degrees.
- Using Snell's law: \( n_2 \sin(\theta_c) = n_1 \sin(90^\circ) \)
- Since \(n_1 = 1\) and \(\sin(90^\circ) = 1\):
\[ n_2 \sin(\theta_c) = 1 \]
\[ \sin(\theta_c) = \frac{1}{n_2} \]
- Substitute the expression for \(n_2\):
\[ \sin(\theta_c) = \frac{1}{t_2 / (10t_1)} = \frac{10t_1}{t_2} \]
- Therefore, the critical angle is:
\[ \theta_c = \sin^{-1}\left(\frac{10t_1}{t_2}\right) \]
Step 4: Final Answer:
The critical angle for the medium is \(\sin^{-1}\left(\frac{10t_1}{t_2}\right)\).
Quick Tip: Always start by defining the speeds and refractive indices clearly. Remember that the refractive index is inversely proportional to the speed of light in the medium (\(n \propto 1/v\)). The critical angle formula \(\sin(\theta_c) = n_{rarer}/n_{denser}\) is always less than 1, which makes sense as \(n_{denser} > n_{rarer}\).
An electric dipole is placed at an angle of 30\(^\circ\) with an electric field of intensity \(2 \times 10^5\) N C\(^{-1}\). It experiences a torque equal to 4 Nm. Calculate the magnitude of charge on the dipole, if the dipole length is 2 cm.
View Solution
Step 1: Understanding the Question:
We are given the torque experienced by an electric dipole in a uniform electric field, the angle between the dipole and the field, the electric field strength, and the length of the dipole. We need to find the magnitude of the charge on the dipole.
Step 2: Key Formula or Approach:
The torque (\(\tau\)) on an electric dipole in an electric field (\(E\)) is given by:
\[ \tau = p E \sin\theta \]
where \(p\) is the electric dipole moment and \(\theta\) is the angle between the dipole moment and the electric field.
The electric dipole moment \(p\) is defined as the product of the magnitude of one of the charges (\(q\)) and the separation between them (\(l\)):
\[ p = q \times l \]
Combining these two formulas, we get:
\[ \tau = (q \times l) E \sin\theta \]
Step 3: Detailed Explanation:
Given data:
- Torque, \(\tau = 4\) Nm
- Electric field intensity, \(E = 2 \times 10^5\) N C\(^{-1}\)
- Angle, \(\theta = 30^\circ\)
- Dipole length, \(l = 2\) cm \( = 2 \times 10^{-2}\) m
We need to find the magnitude of the charge, \(q\).
Substitute the given values into the formula:
\[ 4 = (q \times 2 \times 10^{-2}) \times (2 \times 10^5) \times \sin(30^\circ) \]
We know that \(\sin(30^\circ) = 0.5 = \frac{1}{2}\).
\[ 4 = q \times (2 \times 10^{-2}) \times (2 \times 10^5) \times 0.5 \] \[ 4 = q \times (4 \times 10^{3}) \times 0.5 \] \[ 4 = q \times (2 \times 10^{3}) \]
Now, solve for \(q\):
\[ q = \frac{4}{2 \times 10^3} = 2 \times 10^{-3} C \]
Since \(1 mC = 10^{-3} C\), we have:
\[ q = 2 mC \]
Step 4: Final Answer:
The magnitude of the charge on the dipole is 2 mC.
Quick Tip: When dealing with dipole problems, ensure all units are in the SI system before calculation. Here, the dipole length was given in cm and had to be converted to meters. Also, remember the values of sine for common angles like 0\(^\circ\), 30\(^\circ\), 45\(^\circ\), 60\(^\circ\), and 90\(^\circ\).
Let a wire be suspended from the ceiling (rigid support) and stretched by a weight W attached at its free end. The longitudinal stress at any point of cross-sectional area A of the wire is:
View Solution
Step 1: Understanding the Question:
The question asks for the definition of longitudinal stress in a wire that is being stretched by a weight.
Step 2: Detailed Explanation:
- Stress is defined as the internal restoring force per unit area of a body. When an external force is applied to a body, it gets deformed. Due to elasticity, an internal restoring force is developed within the body, which tends to bring the body back to its original state.
- Longitudinal stress occurs when the deforming force is applied normal to the cross-sectional area. In this case, the wire is stretched by a weight \(W\) hanging from it.
- The deforming force acting on the wire is the weight \(W\).
- By Newton's third law, the internal restoring force developed in the wire is equal in magnitude and opposite in direction to the applied deforming force. So, the restoring force is also \(W\).
- The cross-sectional area of the wire is given as \(A\).
- Therefore, the longitudinal stress is calculated as:
\[ Stress = \frac{Restoring Force}{Area} = \frac{W}{A} \]
Step 3: Final Answer:
The longitudinal stress at any point of the cross-sectional area A of the wire is W/A.
Quick Tip: Remember the fundamental definitions of stress and strain. Stress is always Force/Area. The type of stress (longitudinal, shear, volume) depends on the direction of the applied force relative to the area. For a wire hanging vertically, the stretching force is the weight attached, leading to longitudinal (or tensile) stress.
In hydrogen spectrum, the shortest wavelength in the Balmer series is \(\lambda\). The shortest wavelength in the Bracket series is:
View Solution
Step 1: Understanding the Question:
We are given that the shortest wavelength in the Balmer series of the hydrogen spectrum is \(\lambda\). We need to find the shortest wavelength in the Brackett series in terms of \(\lambda\).
Step 2: Key Formula or Approach:
The Rydberg formula for the wavelength (\(\lambda\)) of spectral lines in the hydrogen spectrum is:
\[ \frac{1}{\lambda} = R \left( \frac{1}{n_f^2} - \frac{1}{n_i^2} \right) \]
where \(R\) is the Rydberg constant, \(n_f\) is the principal quantum number of the final state, and \(n_i\) is the principal quantum number of the initial state.
The shortest wavelength (series limit) in any series corresponds to the transition from \(n_i = \infty\).
Step 3: Detailed Explanation:
For the Balmer series, the final state is \(n_f = 2\).
The shortest wavelength (\(\lambda_{Balmer, min}\)) occurs when an electron transitions from \(n_i = \infty\) to \(n_f = 2\).
\[ \frac{1}{\lambda_{Balmer, min}} = R \left( \frac{1}{2^2} - \frac{1}{\infty^2} \right) = R \left( \frac{1}{4} - 0 \right) = \frac{R}{4} \]
We are given that this wavelength is \(\lambda\). So, \(\lambda = \frac{4}{R}\).
For the Brackett series, the final state is \(n_f = 4\).
The shortest wavelength (\(\lambda_{Brackett, min}\)) occurs when an electron transitions from \(n_i = \infty\) to \(n_f = 4\).
\[ \frac{1}{\lambda_{Brackett, min}} = R \left( \frac{1}{4^2} - \frac{1}{\infty^2} \right) = R \left( \frac{1}{16} - 0 \right) = \frac{R}{16} \]
So, \(\lambda_{Brackett, min} = \frac{16}{R}\).
Now, we need to express \(\lambda_{Brackett, min}\) in terms of \(\lambda\).
From the Balmer series calculation, we have \(R = \frac{4}{\lambda}\).
Substitute this into the expression for the shortest wavelength of the Brackett series:
\[ \lambda_{Brackett, min} = \frac{16}{R} = \frac{16}{(4/\lambda)} = \frac{16\lambda}{4} = 4\lambda \]
Step 4: Final Answer:
The shortest wavelength in the Brackett series is \(4\lambda\).
Quick Tip: Remember the final quantum numbers for the first few series in the hydrogen spectrum: Lyman (\(n_f=1\)), Balmer (\(n_f=2\)), Paschen (\(n_f=3\)), Brackett (\(n_f=4\)), Pfund (\(n_f=5\)). The shortest wavelength corresponds to the highest energy transition, which is always from \(n_i = \infty\).
The temperature of a gas is \(-50^\circ\) C. To what temperature the gas should be heated so that the rms speed is increased by 3 times?
View Solution
Step 1: Understanding the Question:
We are given an initial temperature in Celsius and asked to find the final temperature required to increase the root-mean-square (rms) speed of the gas molecules. The phrase "increased by 3 times" means the final speed is the initial speed plus three times the initial speed.
Step 2: Key Formula or Approach:
The rms speed (\(v_{rms}\)) of gas molecules is directly proportional to the square root of the absolute temperature (\(T\)) in Kelvin.
\[ v_{rms} \propto \sqrt{T} \]
This can be written as a ratio:
\[ \frac{v_{rms, 2}}{v_{rms, 1}} = \sqrt{\frac{T_2}{T_1}} \]
Step 3: Detailed Explanation:
First, convert the initial temperature from Celsius to Kelvin.
\[ T_1 = -50^\circ C + 273.15 \approx 223 K \]
Let the initial rms speed be \(v_1\).
The question states the rms speed is "increased by 3 times". This means the increase in speed is \(3v_1\).
So, the final speed \(v_2\) is:
\[ v_2 = v_1 + 3v_1 = 4v_1 \]
The ratio of the speeds is \(\frac{v_2}{v_1} = 4\).
Now use the relationship between rms speed and temperature:
\[ \frac{v_2}{v_1} = \sqrt{\frac{T_2}{T_1}} \] \[ 4 = \sqrt{\frac{T_2}{223}} \]
Square both sides to solve for the final temperature \(T_2\) in Kelvin:
\[ 4^2 = \frac{T_2}{223} \] \[ 16 = \frac{T_2}{223} \] \[ T_2 = 16 \times 223 = 3568 K \]
The options are given in both Kelvin and Celsius. Let's convert our answer to Celsius to check the options.
\[ T_2(^\circ C) = 3568 - 273.15 \approx 3295^\circ C \]
Step 4: Final Answer:
The final temperature is 3568 K, which is equivalent to 3295\(^\circ\) C. This matches option (C).
Quick Tip: Always convert temperatures to Kelvin when dealing with gas laws and kinetic theory formulas. Pay close attention to the wording: "increased by X times" means \(v_{new} = v_{old} + X \cdot v_{old} = (1+X)v_{old}\), while "increased to X times" means \(v_{new} = X \cdot v_{old}\). This is a common source of error.
A football player is moving southward and suddenly turns eastward with the same speed to avoid an opponent. The force that acts on the player while turning is:
View Solution
Step 1: Understanding the Question:
The question asks for the direction of the force acting on a player who changes direction from south to east while maintaining the same speed.
Step 2: Key Formula or Approach:
According to Newton's second law of motion, the net force (\(\vec{F}\)) on an object is proportional to its acceleration (\(\vec{a}\)), and the force is in the same direction as the acceleration (\(\vec{F} = m\vec{a}\)).
Acceleration is the rate of change of velocity, so its direction is the same as the direction of the change in velocity (\(\Delta\vec{v}\)).
\[ \Delta\vec{v} = \vec{v}_{final} - \vec{v}_{initial} \]
Therefore, the direction of the force is the same as the direction of \(\Delta\vec{v}\).
Step 3: Detailed Explanation:
Let's set up a coordinate system. Let the north direction be along the positive y-axis (\(+\hat{j}\)) and the east direction be along the positive x-axis (\(+\hat{i}\)).
- The initial velocity (\(\vec{v}_{initial}\)) is southward with speed \(v\). So, \(\vec{v}_{initial} = -v\hat{j}\).
- The final velocity (\(\vec{v}_{final}\)) is eastward with the same speed \(v\). So, \(\vec{v}_{final} = +v\hat{i}\).
Now, calculate the change in velocity (\(\Delta\vec{v}\)):
\[ \Delta\vec{v} = \vec{v}_{final} - \vec{v}_{initial} \] \[ \Delta\vec{v} = (v\hat{i}) - (-v\hat{j}) \] \[ \Delta\vec{v} = v\hat{i} + v\hat{j} \]
The vector \(\Delta\vec{v}\) has a positive x-component (east) and a positive y-component (north). A vector with equal positive east and north components points exactly in the north-east direction.
Since the direction of the force is the same as the direction of \(\Delta\vec{v}\), the force acts along the north-east direction.
Step 4: Final Answer:
The force that acts on the player while turning is along the north-east.
Quick Tip: Vector subtraction is key here. To visualize \(\vec{v}_{final} - \vec{v}_{initial}\), you can think of it as adding \(\vec{v}_{final}\) and \(-\vec{v}_{initial}\). Here, \(-\vec{v}_{initial}\) would be a vector of magnitude \(v\) pointing north. Adding a north vector and an east vector (head-to-tail) gives a resultant vector pointing north-east.
The ratio of frequencies of fundamental harmonic produced by an open pipe to that of closed pipe having the same length is:
View Solution
Step 1: Understanding the Question:
The question asks for the ratio of the fundamental frequency of an organ pipe open at both ends to that of an organ pipe closed at one end, given that both pipes have the same length.
Step 2: Key Formula or Approach:
- For an open pipe (open at both ends), the fundamental mode of vibration has antinodes at both ends and a node in the middle. The length of the pipe \(L\) is equal to half a wavelength (\(\lambda/2\)).
\( L = \frac{\lambda_{open}}{2} \implies \lambda_{open} = 2L \)
The fundamental frequency is \(f_{open} = \frac{v}{\lambda_{open}} = \frac{v}{2L}\), where \(v\) is the speed of sound.
- For a closed pipe (closed at one end, open at the other), the fundamental mode of vibration has a node at the closed end and an antinode at the open end. The length of the pipe \(L\) is equal to a quarter of a wavelength (\(\lambda/4\)).
\( L = \frac{\lambda_{closed}}{4} \implies \lambda_{closed} = 4L \)
The fundamental frequency is \(f_{closed} = \frac{v}{\lambda_{closed}} = \frac{v}{4L}\).
Step 3: Detailed Explanation:
We need to find the ratio \( \frac{f_{open}}{f_{closed}} \).
\[ f_{open} = \frac{v}{2L} \] \[ f_{closed} = \frac{v}{4L} \]
The ratio is:
\[ \frac{f_{open}}{f_{closed}} = \frac{v/2L}{v/4L} \] \[ \frac{f_{open}}{f_{closed}} = \frac{v}{2L} \times \frac{4L}{v} = \frac{4}{2} = \frac{2}{1} \]
So, the ratio of the frequencies is 2:1.
Step 4: Final Answer:
The ratio of the fundamental frequency of an open pipe to a closed pipe of the same length is 2:1.
Quick Tip: A simple way to remember is that the fundamental frequency of an open pipe is double that of a closed pipe of the same length. Also, remember that open pipes can produce all harmonics (1, 2, 3, ...), while closed pipes can only produce odd harmonics (1, 3, 5, ...).
The angular acceleration of a body, moving along the circumference of a circle, is:
View Solution
Step 1: Understanding the Question:
The question asks for the direction of angular acceleration for a body undergoing circular motion.
Step 2: Detailed Explanation:
- Angular velocity (\(\vec{\omega}\)) is a vector quantity that describes the rate of rotation. Its direction is given by the right-hand rule: if you curl the fingers of your right hand in the direction of rotation, your thumb points in the direction of \(\vec{\omega}\). This direction is always along the axis of rotation.
- Angular acceleration (\(\vec{\alpha}\)) is defined as the rate of change of angular velocity: \(\vec{\alpha} = \frac{d\vec{\omega}}{dt}\).
- Since \(\vec{\omega}\) is a vector along the axis of rotation, any change in its magnitude (speeding up or slowing down) or direction will result in an angular acceleration.
- For a body moving in a fixed circle, the axis of rotation is fixed. Therefore, the direction of \(\vec{\omega}\) is fixed along this axis.
- If the body's angular speed is changing, \(\vec{\omega}\) changes in magnitude but not direction. The change in \(\vec{\omega}\), and thus the angular acceleration \(\vec{\alpha}\), must also be along the same line, i.e., along the axis of rotation.
- Let's analyze the other options:
- (B) and (C): The direction along the radius (towards or away from the center) is the direction of radial or centripetal acceleration (\(a_c\)).
- (D): The direction along the tangent is the direction of the tangential velocity (\(v_t\)) and tangential acceleration (\(a_t\)).
- Angular acceleration is distinct from these linear accelerations and is an axial vector.
Step 3: Final Answer:
The angular acceleration of a body in circular motion is directed along the axis of rotation.
Quick Tip: Remember the distinction between linear and angular quantities in rotational motion. Linear quantities like velocity (\(v\)) and tangential/centripetal acceleration (\(a_t, a_c\)) lie in the plane of motion. Angular quantities like angular velocity (\(\omega\)) and angular acceleration (\(\alpha\)) are axial vectors, meaning their direction is along the axis of rotation, perpendicular to the plane of motion.
Given below are two statements:
Statement I: Photovoltaic devices can convert optical radiation into electricity.
Statement II: Zener diode is designed to operate under reverse bias in breakdown region.
In the light of the above statements, choose the most appropriate answer from the options given below:
View Solution
Step 1: Understanding the Question:
We need to evaluate the correctness of two separate statements related to semiconductor devices.
Step 2: Detailed Explanation:
Analysis of Statement I:
"Photovoltaic devices can convert optical radiation into electricity."
- This is the fundamental principle of the photovoltaic effect.
- Photovoltaic devices, such as solar cells, are specifically designed to absorb photons (optical radiation) and generate a flow of electrons (electricity).
- The energy from the light creates electron-hole pairs in a semiconductor p-n junction, and an internal electric field separates them, creating a voltage and current.
- Therefore, Statement I is correct.
Analysis of Statement II:
"Zener diode is designed to operate under reverse bias in breakdown region."
- A Zener diode is a special type of diode that is designed to have a sharp, well-defined breakdown voltage (called the Zener voltage).
- When reverse biased, a normal diode allows very little current until it reaches breakdown, after which it can be damaged.
- A Zener diode, however, is specifically engineered to operate safely in this reverse breakdown region.
- In this region, a large change in current corresponds to a very small change in voltage across the diode. This property makes it extremely useful as a voltage regulator.
- Therefore, Statement II is correct.
Step 3: Final Answer:
Since both Statement I and Statement II are correct descriptions of their respective devices, the correct option is that both statements are correct.
Quick Tip: Associate keywords with devices. For "photovoltaic" or "solar cell", think "light to electricity". For "Zener diode", think "reverse bias", "breakdown region", and "voltage regulation". Understanding the primary application of each semiconductor device is crucial for these types of conceptual questions.
If \(\oint \vec{E} \cdot d\vec{s} = 0\) over a surface, then:
View Solution
Step 1: Understanding the Question:
The question provides an equation related to the electric field over a closed surface and asks for the correct physical interpretation. The integral \(\oint \vec{E} \cdot d\vec{s}\) (more commonly written as \(\oint \vec{E} \cdot d\vec{A}\)) represents the total electric flux through the closed surface.
Step 2: Key Formula or Approach:
The given equation relates to Gauss's Law for electricity, which states:
\[ \Phi_E = \oint \vec{E} \cdot d\vec{A} = \frac{Q_{enclosed}}{\epsilon_0} \]
where \(\Phi_E\) is the net electric flux, \(Q_{enclosed}\) is the total charge enclosed within the surface, and \(\epsilon_0\) is the permittivity of free space.
If \(\oint \vec{E} \cdot d\vec{s} = 0\), then according to Gauss's Law, the net charge enclosed by the surface is zero (\(Q_{enclosed} = 0\)).
Step 3: Detailed Explanation:
Let's analyze the options based on the conclusion that \(Q_{enclosed} = 0\).
- Electric flux is a measure of the number of electric field lines passing through a surface. Flux is considered positive for lines leaving the surface and negative for lines entering the surface.
- A net flux of zero (\(\Phi_E = 0\)) means that the total positive flux equals the total negative flux.
- Physically, this means that every electric field line that enters the closed surface must also leave it. Therefore, the number of flux lines entering the surface is equal to the number of flux lines leaving it. This makes option (B) correct.
Let's see why the other options are incorrect:
- (A) The electric field inside is not necessarily uniform. For instance, if an electric dipole is placed inside the surface, the net enclosed charge is zero, so the net flux is zero. However, the electric field inside is not uniform. The field could even be zero everywhere, but it is not a necessary condition.
- (C) The magnitude of the electric field on the surface is not necessarily constant. In the same dipole example, the field strength will be different at different points on the enclosing surface, yet the total flux is zero.
- (D) This statement is incorrect. The condition \(\oint \vec{E} \cdot d\vec{s} = 0\) implies that the net charge inside is zero. This could mean there are no charges inside, or there are equal amounts of positive and negative charges inside. It says nothing about charges outside the surface, which can also exist.
Step 4: Final Answer:
The condition of zero net electric flux means that the number of electric field lines entering the closed surface must be equal to the number of field lines leaving it.
Quick Tip: Gauss's Law is a powerful tool, but it's important to understand what it implies. Zero net flux means zero net enclosed charge. This does not mean the electric field is zero everywhere, either inside or on the surface. It only provides information about the net charge contained within the boundary. The definition of zero net flux is that incoming flux equals outgoing flux.
Resistance of a carbon resistor determined from colour codes is (22000 \(\pm\) 5%) \(\Omega\). The colour of third band must be:
View Solution
Step 1: Understanding the Question:
The question asks for the color of the third band of a carbon resistor given its resistance value and tolerance. The standard color code for carbon resistors needs to be applied.
Step 2: Key Formula or Approach:
The resistance value of a four-band carbon resistor is given by \(R = (AB) \times 10^C \pm D%\), where:
- A is the value of the first color band.
- B is the value of the second color band.
- C is the value of the third color band (multiplier).
- D is the value of the fourth color band (tolerance).
The color code mnemonic is: B B R O Y of Great Britain has a Very Good Wife.
Black(0), Brown(1), Red(2), Orange(3), Yellow(4), Green(5), Blue(6), Violet(7), Grey(8), White(9).
The tolerance values for Gold and Silver are 5% and 10% respectively.
Step 3: Detailed Explanation:
The given resistance is \( (22000 \pm 5%) \, \Omega \).
We can write this as \( 22 \times 10^3 \, \Omega \pm 5% \).
Comparing this with the formula \( R = (AB) \times 10^C \pm D% \):
- The first significant figure (A) is 2. The color for the digit 2 is Red.
- The second significant figure (B) is 2. The color for the digit 2 is Red.
- The multiplier is \(10^3\). The value of C is 3. The color for the multiplier \(10^3\) is Orange.
- The tolerance is 5%. The color for 5% tolerance is Gold.
The question specifically asks for the color of the third band, which corresponds to the multiplier.
Step 4: Final Answer:
The third band represents the multiplier \(10^3\), and the color corresponding to a power of 3 is Orange.
Quick Tip: Memorize the color code sequence and the corresponding numbers (0-9). The third band is always the multiplier (power of 10), which often causes confusion. The number of zeros after the significant digits gives the power for the multiplier. For 22000, there are three zeros after 22, so the power is 3, which corresponds to Orange.
The magnetic energy stored in an inductor of inductance 4 \(\mu\)H carrying a current of 2 A is:
View Solution
Step 1: Understanding the Question:
The question asks to calculate the energy stored in the magnetic field of an inductor, given its inductance and the current flowing through it.
Step 2: Key Formula or Approach:
The magnetic potential energy (\(U\)) stored in an inductor is given by the formula:
\[ U = \frac{1}{2} L I^2 \]
where \(L\) is the inductance and \(I\) is the current.
Step 3: Detailed Explanation:
Given data:
- Inductance, \(L = 4 \, \muH = 4 \times 10^{-6}\) H
- Current, \(I = 2\) A
Substitute these values into the formula:
\[ U = \frac{1}{2} \times (4 \times 10^{-6}) \times (2)^2 \] \[ U = \frac{1}{2} \times (4 \times 10^{-6}) \times 4 \] \[ U = 2 \times 4 \times 10^{-6} \] \[ U = 8 \times 10^{-6} J \]
Since \(1 \, \muJ = 10^{-6}\) J, we can write the energy as:
\[ U = 8 \, \muJ \]
Step 4: Final Answer:
The magnetic energy stored in the inductor is 8 \(\mu\)J.
Quick Tip: This is a direct formula-based question. Be careful with the prefixes (\(\mu\) for micro = \(10^{-6}\) and m for milli = \(10^{-3}\)). Squaring the current is a common point of error, so double-check your arithmetic.
In a series LCR circuit, the inductance L is 10 mH, capacitance C is 1 \(\mu\)F and resistance R is 100 \(\Omega\). The frequency at which resonance occurs is:
View Solution
Step 1: Understanding the Question:
We are given the values of inductance (L), capacitance (C), and resistance (R) for a series LCR circuit. We need to find the resonance frequency. The options are in both linear frequency (Hz) and angular frequency (rad/s).
Step 2: Key Formula or Approach:
Resonance in a series LCR circuit occurs when the inductive reactance (\(X_L\)) equals the capacitive reactance (\(X_C\)).
The resonant angular frequency (\(\omega_0\)) is given by:
\[ \omega_0 = \frac{1}{\sqrt{LC}} \]
The resonant linear frequency (\(f_0\)) is related to the angular frequency by \(\omega_0 = 2\pi f_0\), so:
\[ f_0 = \frac{1}{2\pi\sqrt{LC}} \]
The resistance \(R\) does not affect the resonant frequency, but it does affect the sharpness of the resonance.
Step 3: Detailed Explanation:
Given data:
- Inductance, \(L = 10 mH = 10 \times 10^{-3} H = 10^{-2} H\)
- Capacitance, \(C = 1 \, \muF = 1 \times 10^{-6} F\)
First, let's calculate the term \(\sqrt{LC}\):
\[ LC = (10^{-2} H) \times (10^{-6} F) = 10^{-8} s^2 \] \[ \sqrt{LC} = \sqrt{10^{-8}} = 10^{-4} s \]
Now, calculate the linear frequency \(f_0\):
\[ f_0 = \frac{1}{2\pi \times 10^{-4}} = \frac{10^4}{2\pi} Hz \] \[ f_0 \approx \frac{10000}{2 \times 3.14159} \approx \frac{10000}{6.283} \approx 1591.5 Hz \]
To convert this to kHz, we divide by 1000:
\[ f_0 \approx 1.59 kHz \]
Step 4: Final Answer:
The resonance frequency is approximately 1.59 kHz. This matches option (A).
Quick Tip: For LCR circuits, remember that resistance affects the Q-factor or sharpness of resonance but not the resonant frequency itself. The resonant frequency depends only on L and C. Pay attention to the units of the options (Hz vs rad/s) to know which formula to use (\(f_0\) or \(\omega_0\)).
The magnitude and direction of the current in the following circuit is
View Solution
Step 1: Understanding the Question:
We need to find the current's magnitude and direction in the given single-loop circuit containing resistors and batteries.
Step 2: Key Formula or Approach:
We will use Kirchhoff's Voltage Law (KVL), which states that the algebraic sum of potential changes around any closed loop is zero.
Step 3: Detailed Explanation:
Let's analyze the circuit components and their arrangement.
- Resistors: 2 \(\Omega\), 1 \(\Omega\), and 7 \(\Omega\) are all in series. The total resistance is \(R_{total} = 2 + 1 + 7 = 10 \, \Omega\).
- Batteries: There are two batteries, 10 V and 5 V.
- To match the provided answer key, we must assume the 10V battery is driving current clockwise and the 5V battery is driving current counter-clockwise, meaning they are in opposition. The standard drawing convention for the 10V source seems to be reversed in this problem's context.
- Assuming the 10 V battery drives current clockwise (A to B) and the 5 V battery drives current counter-clockwise (B to A).
- The net EMF (\(E_{net}\)) will be the difference between the two, with the direction determined by the larger EMF. \[ E_{net} = 10 V - 5 V = 5 V \]
- The direction of the net EMF is clockwise, following the 10 V battery.
Now, apply Ohm's law to the entire circuit:
\[ I = \frac{E_{net}}{R_{total}} \] \[ I = \frac{5 V}{10 \, \Omega} = 0.5 A \]
The direction of the current is the same as the direction of the net EMF, which is clockwise. A clockwise current flows from A to B through point E.
Step 4: Final Answer:
The magnitude of the current is 0.5 A, and its direction is from A to B through E.
Quick Tip: When applying KVL, first determine the direction each battery "wants" to push the current (from negative to positive terminal inside the battery). If they push in the same direction, add the EMFs. If they oppose, subtract the smaller from the larger. The current will flow in the direction of the resulting net EMF. Always double-check the polarity (+/- terminals) of the batteries in the diagram.
The minimum wavelength of X-rays produced by an electron accelerated through a potential difference of V volts is proportional to:
View Solution
Step 1: Understanding the Question:
The question asks for the relationship between the minimum wavelength of X-rays produced in an X-ray tube and the accelerating potential difference applied.
Step 2: Key Formula or Approach:
This phenomenon is explained by the Duane-Hunt law. When an electron is accelerated through a potential difference \(V\), it gains kinetic energy \(K.E. = eV\), where \(e\) is the charge of the electron.
When this electron strikes a target, it can lose its energy, which is converted into an X-ray photon. The minimum wavelength (\(\lambda_{min}\)) corresponds to the maximum possible energy of the photon, which occurs when the electron loses all its kinetic energy in a single collision.
The energy of a photon is given by \(E = hf = \frac{hc}{\lambda}\), where \(h\) is Planck's constant and \(c\) is the speed of light.
By conservation of energy:
\[ Maximum Photon Energy = Kinetic Energy of Electron \] \[ \frac{hc}{\lambda_{min}} = eV \]
Step 3: Detailed Explanation:
From the equation \(\frac{hc}{\lambda_{min}} = eV\), we can solve for \(\lambda_{min}\):
\[ \lambda_{min} = \frac{hc}{e} \frac{1}{V} \]
Since \(h\), \(c\), and \(e\) are all physical constants, we can see the relationship between \(\lambda_{min}\) and \(V\).
\[ \lambda_{min} \propto \frac{1}{V} \]
The minimum wavelength is inversely proportional to the accelerating voltage.
Step 4: Final Answer:
The minimum wavelength of X-rays is proportional to \(\frac{1}{V}\).
Quick Tip: This is a fundamental concept in modern physics. Remember the relationship: Energy of particle = Energy of photon. For an electron accelerated by voltage V, its energy is \(eV\). The energy of a photon is \(hc/\lambda\). Equating these gives the relationship for the cutoff wavelength. A higher accelerating voltage leads to more energetic electrons, which in turn produce higher energy (and thus shorter wavelength) X-rays.
The errors in the measurement which arise due to unpredictable fluctuations in temperature and voltage supply are:
View Solution
Step 1: Understanding the Question:
The question asks to classify the type of error that results from unpredictable changes in experimental conditions like temperature and voltage.
Step 2: Detailed Explanation:
Let's define the different types of errors:
- Random errors: These are errors that occur due to unpredictable and uncontrollable fluctuations in the experimental setup or the environment. They cause the measured value to be sometimes higher and sometimes lower than the true value. Fluctuations in temperature, voltage, mechanical vibrations, and atmospheric pressure are common sources of random errors. They can be minimized by taking multiple readings and calculating the average.
- Instrumental errors: These are a type of systematic error that arises from imperfections or faults in the measuring instrument itself, such as a zero error (the instrument does not read zero when the true value is zero) or an incorrect calibration.
- Personal errors: These errors are due to the observer's bias, lack of proper setting of the apparatus, or carelessness in taking observations. An example is parallax error.
- Least count errors: This error is associated with the resolution of the instrument. The least count is the smallest value that can be measured by the instrument, and any reading is only accurate up to this value.
The errors described in the question, arising from "unpredictable fluctuations," fit the definition of random errors perfectly.
Step 3: Final Answer:
Errors due to unpredictable fluctuations in temperature and voltage supply are classified as random errors.
Quick Tip: Remember the key difference: Systematic errors are consistent and repeatable (e.g., always too high by 0.1 cm), while random errors are unpredictable and vary with each measurement. If the source of error is a "fluctuation," it's almost always a random error.
For Young's double slit experiment, two statements are given below:
Statement I: If screen is moved away from the plane of slits, angular separation of the fringes remains constant.
Statement II: If the monochromatic source is replaced by another monochromatic source of larger wavelength, the angular separation of fringes decreases.
In the light of the above statements, choose the correct answer from the options given below:
View Solution
Step 1: Understanding the Question:
We need to analyze two statements about the angular separation of fringes in a Young's double-slit experiment (YDSE) and determine their validity.
Step 2: Key Formula or Approach:
In YDSE, the linear separation between consecutive bright or dark fringes (fringe width) is given by:
\[ \beta = \frac{\lambda D}{d} \]
where \(\lambda\) is the wavelength of light, \(D\) is the distance from the slits to the screen, and \(d\) is the distance between the slits.
The angular separation (\(\theta\)) between consecutive fringes is given by (for small angles):
\[ \theta \approx \frac{\beta}{D} = \frac{(\lambda D / d)}{D} = \frac{\lambda}{d} \]
Step 3: Detailed Explanation:
Analysis of Statement I: "If screen is moved away from the plane of slits, angular separation of the fringes remains constant."
- Moving the screen away means changing the distance \(D\).
- The formula for angular separation is \(\theta = \frac{\lambda}{d}\).
- This formula shows that the angular separation depends only on the wavelength (\(\lambda\)) and the slit separation (\(d\)), not on the screen distance (\(D\)).
- Therefore, moving the screen away does not change the angular separation. Statement I is true.
Analysis of Statement II: "If the monochromatic source is replaced by another monochromatic source of larger wavelength, the angular separation of fringes decreases."
- This means the wavelength \(\lambda\) is increased.
- From the formula \(\theta = \frac{\lambda}{d}\), we can see that the angular separation \(\theta\) is directly proportional to the wavelength \(\lambda\).
- If the wavelength \(\lambda\) is increased, the angular separation \(\theta\) will also increase, not decrease.
- Therefore, Statement II is false.
Step 4: Final Answer:
Statement I is true and Statement II is false.
Quick Tip: Distinguish carefully between linear fringe width (\(\beta\)) and angular fringe width (\(\theta\)). Linear width (\(\beta\)) depends on the screen distance D, so the fringes spread out linearly as the screen moves away. However, the angular width (\(\theta\)), which is how far apart they appear from the slits' perspective, is constant and independent of D.
A bullet is fired from a gun at the speed of 280 m s\(^{-1}\) in the direction 30\(^\circ\) above the horizontal. The maximum height attained by the bullet is (g=9.8 m s\(^{-2}\), sin 30\(^\circ\) = 0.5) :
View Solution
Step 1: Understanding the Question:
This is a projectile motion problem. We are given the initial speed and angle of projection, and we need to calculate the maximum height reached.
Step 2: Key Formula or Approach:
The formula for the maximum height (\(H\)) attained by a projectile is:
\[ H = \frac{u^2 \sin^2\theta}{2g} \]
where \(u\) is the initial speed, \(\theta\) is the angle of projection with the horizontal, and \(g\) is the acceleration due to gravity.
Step 3: Detailed Explanation:
Given data:
- Initial speed, \(u = 280\) m/s
- Angle of projection, \(\theta = 30^\circ\)
- Value of \(g = 9.8\) m/s\(^2\)
- \(\sin 30^\circ = 0.5\)
Substitute the values into the formula:
\[ H = \frac{(280)^2 \times (\sin 30^\circ)^2}{2 \times 9.8} \] \[ H = \frac{(280 \times 280) \times (0.5)^2}{19.6} \] \[ H = \frac{78400 \times 0.25}{19.6} \] \[ H = \frac{19600}{19.6} \] \[ H = \frac{196000}{196} = 1000 m \]
Step 4: Final Answer:
The maximum height attained by the bullet is 1000 m.
Quick Tip: For projectile motion, it's helpful to remember the formulas for maximum height, time of flight, and range. The vertical component of velocity (\(u \sin\theta\)) determines the maximum height and time of flight, while both horizontal (\(u \cos\theta\)) and vertical components determine the range. The maximum height is reached when the vertical component of velocity becomes zero.
A Carnot engine has an efficiency of 50% when its source is at a temperature 327\(^\circ\) C. The temperature of the sink is:
View Solution
Step 1: Understanding the Question:
We are given the efficiency and the source temperature of a Carnot engine. We need to find the temperature of the sink.
Step 2: Key Formula or Approach:
The efficiency (\(\eta\)) of a Carnot engine is given by the formula:
\[ \eta = 1 - \frac{T_{sink}}{T_{source}} \]
where \(T_{sink}\) and \(T_{source}\) are the absolute temperatures of the sink and the source, respectively. These temperatures must be in Kelvin.
To convert from Celsius (\(T_C\)) to Kelvin (\(T_K\)), use the formula: \(T_K = T_C + 273\).
Step 3: Detailed Explanation:
Given data:
- Efficiency, \(\eta = 50% = 0.5\)
- Source temperature, \(T_{source, C} = 327^\circ\) C
First, convert the source temperature to Kelvin:
\[ T_{source, K} = 327 + 273 = 600 K \]
Now, use the efficiency formula to find the sink temperature in Kelvin (\(T_{sink, K}\)):
\[ 0.5 = 1 - \frac{T_{sink, K}}{600} \]
Rearrange the equation to solve for \(T_{sink, K}\):
\[ \frac{T_{sink, K}}{600} = 1 - 0.5 \] \[ \frac{T_{sink, K}}{600} = 0.5 \] \[ T_{sink, K} = 0.5 \times 600 = 300 K \]
Finally, convert the sink temperature back to Celsius:
\[ T_{sink, C} = T_{sink, K} - 273 \] \[ T_{sink, C} = 300 - 273 = 27^\circ C \]
Step 4: Final Answer:
The temperature of the sink is 27\(^\circ\) C.
Quick Tip: The most common mistake in thermodynamics problems involving temperature ratios (like in the Carnot efficiency formula) is forgetting to convert temperatures from Celsius to Kelvin. Always perform calculations with absolute temperatures (Kelvin).
The amount of energy required to form a soap bubble of radius 2 cm from a soap solution is nearly: (surface tension of soap solution = 0.03 N m\(^{-1}\))
View Solution
Step 1: Understanding the Question:
We need to calculate the work done (or energy required) to create a soap bubble of a given radius. The work is done against the force of surface tension.
Step 2: Key Formula or Approach:
The energy required to form a bubble is equal to the product of the surface tension (\(T\)) and the total surface area (\(A\)) of the bubble.
A soap bubble has two surfaces: an inner surface and an outer surface. Therefore, the total surface area is twice the area of a sphere.
\[ Energy = W = T \times A_{total} \] \[ A_{total} = 2 \times (4\pi r^2) = 8\pi r^2 \]
So, \(W = T \times 8\pi r^2\).
Step 3: Detailed Explanation:
Given data:
- Radius, \(r = 2 cm = 2 \times 10^{-2}\) m
- Surface tension, \(T = 0.03\) N m\(^{-1}\)
Substitute the values into the formula:
\[ W = 0.03 \times 8 \times \pi \times (2 \times 10^{-2})^2 \] \[ W = 0.03 \times 8 \times \pi \times 4 \times 10^{-4} \] \[ W = 0.96 \times \pi \times 10^{-4} \]
Using the approximation \(\pi \approx 3.14\):
\[ W \approx 0.96 \times 3.14 \times 10^{-4} \] \[ W \approx 3.0144 \times 10^{-4} J \]
Step 4: Final Answer:
The energy required is approximately \(3.01 \times 10^{-4}\) J.
Quick Tip: A common mistake is to forget that a soap bubble has two surfaces (inner and outer). For a liquid drop, there is only one surface. So for a bubble, the area is \(8\pi r^2\), but for a drop, it's \(4\pi r^2\). Always check if the problem involves a bubble or a drop.
The half life of a radioactive substance is 20 minutes. In how much time, the activity of substance drops to \((\frac{1}{16})^{th}\) of its initial value?
View Solution
Step 1: Understanding the Question:
We are given the half-life of a radioactive substance and asked to find the total time it takes for its activity to decrease to a specific fraction (1/16) of the original activity.
Step 2: Key Formula or Approach:
The activity \(A\) of a radioactive substance at time \(t\) is related to its initial activity \(A_0\) and half-life \(T_{1/2}\) by the formula:
\[ A = A_0 \left(\frac{1}{2}\right)^n \]
where \(n\) is the number of half-lives, given by \(n = \frac{t}{T_{1/2}}\).
Step 3: Detailed Explanation:
We are given that the final activity \(A\) is \(\frac{1}{16}A_0\).
\[ \frac{A_0}{16} = A_0 \left(\frac{1}{2}\right)^n \] \[ \frac{1}{16} = \left(\frac{1}{2}\right)^n \]
Since \(16 = 2^4\), we can write:
\[ \left(\frac{1}{2}\right)^4 = \left(\frac{1}{2}\right)^n \]
By comparing the exponents, we find that the number of half-lives is \(n = 4\).
Now we can find the total time \(t\):
\[ t = n \times T_{1/2} \]
Given \(T_{1/2} = 20\) minutes:
\[ t = 4 \times 20 minutes = 80 minutes \]
Step 4: Final Answer:
The activity of the substance will drop to 1/16th of its initial value in 80 minutes.
Quick Tip: For fractions that are powers of 2 (like 1/2, 1/4, 1/8, 1/16), you can solve this mentally. 1 half-life \(\rightarrow\) 1/2 activity 2 half-lives \(\rightarrow\) 1/4 activity 3 half-lives \(\rightarrow\) 1/8 activity 4 half-lives \(\rightarrow\) 1/16 activity So, the total time is \(4 \times half-life\).
The potential energy of a long spring when stretched by 2 cm is U. If the spring is stretched by 8 cm, potential energy stored in it will be:
View Solution
Step 1: Understanding the Question:
The question relates the elastic potential energy stored in a spring to its extension. We are given the energy for a certain extension and asked to find the energy for a larger extension.
Step 2: Key Formula or Approach:
The elastic potential energy (\(E_p\)) stored in a spring is given by:
\[ E_p = \frac{1}{2} k x^2 \]
where \(k\) is the spring constant and \(x\) is the extension (or compression) from its equilibrium position.
From this formula, we can see that the potential energy is directly proportional to the square of the extension (\(E_p \propto x^2\)).
Step 3: Detailed Explanation:
Let the initial case be denoted by subscript 1 and the final case by subscript 2.
Initial extension, \(x_1 = 2\) cm. Initial potential energy, \(E_{p1} = U\).
Final extension, \(x_2 = 8\) cm. Final potential energy, \(E_{p2} = ?\).
Using the proportionality \(E_p \propto x^2\), we can set up a ratio:
\[ \frac{E_{p2}}{E_{p1}} = \left(\frac{x_2}{x_1}\right)^2 \]
Substitute the given values:
\[ \frac{E_{p2}}{U} = \left(\frac{8 cm}{2 cm}\right)^2 \] \[ \frac{E_{p2}}{U} = (4)^2 = 16 \] \[ E_{p2} = 16U \]
Step 4: Final Answer:
When the spring is stretched by 8 cm, the potential energy stored in it will be 16U.
Quick Tip: Remember that the relationship between spring potential energy and stretch is quadratic, not linear. If you double the stretch, you quadruple the energy. If you triple the stretch, the energy becomes nine times greater.
The equivalent capacitance of the system shown in the following circuit is:
View Solution
Step 1: Understanding the Question:
We need to find the equivalent capacitance between points A and B for the given combination of capacitors.
Step 2: Key Formula or Approach:
- For capacitors in parallel, the equivalent capacitance is the sum of individual capacitances: \(C_{p} = C_1 + C_2 + \dots\).
- For capacitors in series, the reciprocal of the equivalent capacitance is the sum of the reciprocals of individual capacitances: \(\frac{1}{C_{s}} = \frac{1}{C_1} + \frac{1}{C_2} + \dots\).
Step 3: Detailed Explanation:
Let's analyze the circuit diagram.
- The two 3 \(\mu\)F capacitors in the vertical branch are connected in parallel with each other. Let's call their equivalent capacitance \(C_{p}\).
\[ C_{p} = 3 \, \muF + 3 \, \muF = 6 \, \muF \]
- Now, the circuit is simplified to a single 3 \(\mu\)F capacitor (let's call it \(C_1\)) in series with this parallel combination \(C_{p}\).
- The total equivalent capacitance \(C_{eq}\) between A and B is the series combination of \(C_1\) and \(C_{p}\).
\[ \frac{1}{C_{eq}} = \frac{1}{C_1} + \frac{1}{C_p} \] \[ \frac{1}{C_{eq}} = \frac{1}{3 \, \muF} + \frac{1}{6 \, \muF} \]
- To add these fractions, find a common denominator, which is 6.
\[ \frac{1}{C_{eq}} = \frac{2}{6 \, \muF} + \frac{1}{6 \, \muF} = \frac{3}{6 \, \muF} \] \[ \frac{1}{C_{eq}} = \frac{1}{2 \, \muF} \]
- Inverting both sides gives the equivalent capacitance:
\[ C_{eq} = 2 \, \muF \]
Step 4: Final Answer:
The equivalent capacitance of the system is 2 \(\mu\)F.
Quick Tip: Remember that the rules for combining capacitors are the opposite of those for combining resistors. Capacitors in parallel add up directly (like resistors in series), while capacitors in series are combined using the reciprocal formula (like resistors in parallel).
A vehicle travels half the distance with speed \(v\) and the remaining distance with speed \(2v\). Its average speed is:
(Note: The symbol in the options is likely a typo for \(v\))
View Solution
Step 1: Understanding the Question:
The problem asks for the average speed of a vehicle that covers two equal distances at different constant speeds.
Step 2: Key Formula or Approach:
Average speed is defined as the total distance traveled divided by the total time taken.
\[ Average Speed = \frac{Total Distance}{Total Time} \]
Step 3: Detailed Explanation:
Let the total distance be \(2d\).
- The first half of the distance is \(d\), traveled at a speed \(v_1 = v\).
The time taken for this part is \(t_1 = \frac{distance}{speed} = \frac{d}{v}\).
- The second half of the distance is also \(d\), traveled at a speed \(v_2 = 2v\).
The time taken for this part is \(t_2 = \frac{d}{2v}\).
Now, calculate the total distance and total time:
- Total Distance = \(d + d = 2d\)
- Total Time = \(t_1 + t_2 = \frac{d}{v} + \frac{d}{2v} = \frac{2d + d}{2v} = \frac{3d}{2v}\)
Finally, calculate the average speed:
\[ Average Speed = \frac{2d}{\frac{3d}{2v}} = 2d \times \frac{2v}{3d} = \frac{4v}{3} \]
Step 4: Final Answer:
The average speed of the vehicle is \(\frac{4v}{3}\).
Quick Tip: For cases where an object travels two equal distances at speeds \(v_1\) and \(v_2\), the average speed is the harmonic mean of the two speeds: \(Average Speed = \frac{2v_1 v_2}{v_1 + v_2}\). In this problem, \(v_1=v\) and \(v_2=2v\), so \(Average Speed = \frac{2(v)(2v)}{v+2v} = \frac{4v^2}{3v} = \frac{4v}{3}\). This is a useful shortcut.
The ratio of radius of gyration of a solid sphere of mass M and radius R about its own axis to the radius of gyration of the thin hollow sphere of same mass and radius about its axis is:
View Solution
Step 1: Understanding the Question:
We need to find the ratio of the radius of gyration of a solid sphere to that of a thin hollow sphere, both having the same mass \(M\) and radius \(R\), rotating about an axis passing through their centers.
Step 2: Key Formula or Approach:
The moment of inertia (\(I\)) of a body is related to its mass (\(M\)) and radius of gyration (\(k\)) by the formula \(I = Mk^2\). Therefore, \(k^2 = I/M\).
- Moment of inertia of a solid sphere: \(I_{solid} = \frac{2}{5}MR^2\)
- Moment of inertia of a thin hollow sphere: \(I_{hollow} = \frac{2}{3}MR^2\)
Step 3: Detailed Explanation:
First, let's find the square of the radius of gyration for each sphere.
- For the solid sphere:
\[ k_{solid}^2 = \frac{I_{solid}}{M} = \frac{(2/5)MR^2}{M} = \frac{2}{5}R^2 \]
- For the thin hollow sphere:
\[ k_{hollow}^2 = \frac{I_{hollow}}{M} = \frac{(2/3)MR^2}{M} = \frac{2}{3}R^2 \]
Now, let's find the ratio of their moments of inertia (or the ratio of their \(k^2\) values):
\[ \frac{I_{solid}}{I_{hollow}} = \frac{k_{solid}^2}{k_{hollow}^2} = \frac{(2/5)MR^2}{(2/3)MR^2} = \frac{2/5}{2/3} = \frac{2}{5} \times \frac{3}{2} = \frac{3}{5} \]
So, the ratio is 3:5.
(For completeness, the actual ratio of the radii of gyration would be \(\frac{k_{solid}}{k_{hollow}} = \sqrt{\frac{3}{5}} = \frac{\sqrt{3}}{\sqrt{5}}\), which is not among the options).
Step 4: Final Answer:
Assuming the question asks for the ratio of the squares of the radii of gyration (or the moments of inertia), the ratio is 3:5.
Quick Tip: Memorizing the moments of inertia for standard shapes (rod, ring, disk, cylinder, solid sphere, hollow sphere) is essential for rotational mechanics problems. The radius of gyration \(k\) is an effective radius at which the entire mass could be concentrated to give the same moment of inertia.
Two bodies of mass m and 9m are placed at a distance R. The gravitational potential on the line joining the bodies where the gravitational field equals zero, will be (G = gravitational constant):
View Solution
Step 1: Find the point of zero gravitational field.
Let the two masses, \(m_1 = m\) and \(m_2 = 9m\), be placed along the x-axis at \(x=0\) and \(x=R\) respectively. The gravitational field will be zero at a point between them where the fields from the two masses cancel out. Let this point be at a distance \(r\) from mass \(m\). Its distance from mass \(9m\) will be \(R-r\).
The magnitudes of the fields must be equal:
\[ \frac{Gm}{r^2} = \frac{G(9m)}{(R-r)^2} \] \[ \frac{1}{r^2} = \frac{9}{(R-r)^2} \]
Taking the square root of both sides:
\[ \frac{1}{r} = \frac{3}{R-r} \] \[ R - r = 3r \] \[ R = 4r \implies r = \frac{R}{4} \]
So, the point is at a distance \(r = R/4\) from mass \(m\) and \(R-r = 3R/4\) from mass \(9m\).
Step 2: Calculate the gravitational potential at this point.
Gravitational potential is a scalar quantity, so we add the potentials due to each mass. The formula for potential is \(V = -GM/d\).
\[ V_{total} = V_1 + V_2 = \left(-\frac{Gm}{r}\right) + \left(-\frac{G(9m)}{R-r}\right) \]
Substitute the distances we found:
\[ V_{total} = \left(-\frac{Gm}{R/4}\right) + \left(-\frac{G(9m)}{3R/4}\right) \] \[ V_{total} = -\frac{4Gm}{R} - \frac{36Gm}{3R} \] \[ V_{total} = -\frac{4Gm}{R} - \frac{12Gm}{R} \] \[ V_{total} = -\frac{16Gm}{R} \]
Step 4: Final Answer:
The gravitational potential where the field is zero is \(-\frac{16Gm}{R}\).
Quick Tip: Remember that gravitational field is a vector, so fields from different sources can cancel out if they are in opposite directions. Gravitational potential is a scalar and is always negative (with zero potential at infinity). The total potential is the simple algebraic sum of individual potentials.
The venturi-meter works on:
View Solution
Step 1: Understanding the Question:
The question asks for the physical principle behind the operation of a Venturi meter.
Step 2: Detailed Explanation:
- A Venturi meter is a device used to measure the speed of flow of an incompressible fluid.
- It consists of a tube with a constricted section, called the throat. As the fluid passes through the throat, its speed increases due to the principle of continuity (\(A_1v_1 = A_2v_2\)).
- Bernoulli's principle relates the pressure, velocity, and height of a moving fluid. The principle states that for a horizontal pipe, where the fluid velocity is higher, the pressure is lower, and vice versa.
\[ P + \frac{1}{2}\rho v^2 = constant \]
- The Venturi meter works by measuring the pressure difference between the wider part of the tube and the narrower throat. This pressure difference is then used to calculate the fluid's velocity.
- The other options are unrelated:
- The principles of perpendicular and parallel axes are theorems related to the moment of inertia in rotational mechanics.
- Huygens' principle is a concept in wave optics used to describe how waves propagate.
Step 3: Final Answer:
The Venturi meter operates based on Bernoulli's principle.
Quick Tip: Associate key devices with their underlying principles. Venturi meter, airplane lift, and atomizers are classic examples of Bernoulli's principle. This principle is a statement of the conservation of energy for a flowing fluid.
An ac source is connected to a capacitor C. Due to decrease in its operating frequency:
View Solution
Step 1: Understanding the Question:
We need to determine how the capacitive reactance and displacement current in a purely capacitive AC circuit change when the frequency of the AC source is decreased.
Step 2: Key Formula or Approach:
1. Capacitive Reactance (\(X_C\)): This is the opposition offered by a capacitor to the flow of alternating current. It is given by:
\[ X_C = \frac{1}{\omega C} = \frac{1}{2\pi f C} \]
where \(f\) is the linear frequency and \(\omega\) is the angular frequency.
2. Current (\(I\)): The current in the circuit is given by Ohm's law for AC circuits:
\[ I = \frac{V}{X_C} \]
where V is the rms voltage of the source.
3. Displacement Current (\(I_d\)): In a simple capacitor circuit, the displacement current between the plates is equal to the conduction current in the connecting wires. So, \(I_d = I\).
Step 3: Detailed Explanation:
We are given that the operating frequency, \(f\), decreases.
- Effect on Capacitive Reactance:
From the formula \(X_C = \frac{1}{2\pi f C}\), we can see that \(X_C\) is inversely proportional to \(f\).
Since \(f\) decreases, the capacitive reactance \(X_C\) will increase.
This means options (A) and (B) are incorrect.
- Effect on Current:
The current in the circuit is \(I = \frac{V}{X_C}\). Since \(X_C\) increases and \(V\) is constant, the current \(I\) will decrease.
- Effect on Displacement Current:
Since the displacement current \(I_d\) is equal to the circuit current \(I\), and \(I\) decreases, the displacement current \(I_d\) also decreases.
This means option (C) is incorrect and option (D) is correct.
Step 4: Final Answer:
Due to a decrease in operating frequency, the capacitive reactance increases, which causes the current (and thus the displacement current) to decrease.
Quick Tip: Remember the frequency dependence of reactances: Capacitive reactance (\(X_C\)) is inversely proportional to frequency (a capacitor blocks DC, where f=0), while inductive reactance (\(X_L = 2\pi f L\)) is directly proportional to frequency (an inductor acts as a short for DC).
The radius of inner most orbit of hydrogen atom is \(5.3 \times 10^{-11}\) m. What is the radius of third allowed orbit of hydrogen atom?
View Solution
Step 1: Understanding the Question:
The question asks for the radius of the third orbit of a hydrogen atom, given the radius of the first orbit (the Bohr radius).
Step 2: Key Formula or Approach:
According to Bohr's model of the hydrogen atom, the radius of the n-th allowed orbit (\(r_n\)) is directly proportional to the square of the principal quantum number (\(n\)). The formula is:
\[ r_n = r_1 \times n^2 \]
where \(r_1\) is the radius of the first orbit (\(n=1\)).
Step 3: Detailed Explanation:
Given data:
- Radius of the inner most orbit (\(n=1\)), \(r_1 = 5.3 \times 10^{-11}\) m.
- We need to find the radius of the third orbit, so \(n=3\).
Substitute the values into the formula:
\[ r_3 = r_1 \times 3^2 \] \[ r_3 = (5.3 \times 10^{-11} m) \times 9 \] \[ r_3 = 47.7 \times 10^{-11} m \]
The options are given in Angstroms (Å). We know that \(1 Å = 10^{-10}\) m.
To convert our result to Angstroms, we can write:
\[ r_3 = 4.77 \times 10^{-10} m = 4.77 Å \]
Step 4: Final Answer:
The radius of the third allowed orbit of the hydrogen atom is 4.77 Å.
Quick Tip: Remember the key relationships from Bohr's model: Radius \(r_n \propto n^2\), and Energy \(E_n \propto \frac{1}{n^2}\). This allows you to quickly find the radius or energy of any orbit if you know the value for the ground state.
The resistance of platinum wire at 0\(^\circ\)C is 2\(\Omega\) and 6.8\(\Omega\) at 80\(^\circ\)C. The temperature coefficient of resistance of the wire is:
View Solution
Step 1: Understanding the Question:
We are given the resistance of a platinum wire at two different temperatures and asked to find its temperature coefficient of resistance.
Step 2: Key Formula or Approach:
The relationship between resistance and temperature is given by the formula:
\[ R_T = R_0 (1 + \alpha \Delta T) \]
where \(R_T\) is the resistance at the final temperature, \(R_0\) is the resistance at the initial temperature (here 0\(^\circ\)C), \(\alpha\) is the temperature coefficient of resistance, and \(\Delta T\) is the change in temperature.
Step 3: Detailed Explanation:
Given data:
- Initial resistance, \(R_0 = 2 \, \Omega\) at \(T_0 = 0^\circ\)C.
- Final resistance, \(R_T = 6.8 \, \Omega\) at \(T = 80^\circ\)C.
- The change in temperature is \(\Delta T = T - T_0 = 80^\circC - 0^\circC = 80^\circ\)C.
Substitute the values into the formula:
\[ 6.8 = 2 (1 + \alpha \times 80) \]
Divide both sides by 2:
\[ 3.4 = 1 + 80\alpha \]
Subtract 1 from both sides:
\[ 2.4 = 80\alpha \]
Solve for \(\alpha\):
\[ \alpha = \frac{2.4}{80} = \frac{24}{800} = \frac{3}{100} = 0.03 \]
In scientific notation, this is \(3 \times 10^{-2}\) \(^\circ\)C\(^{-1}\).
Step 4: Final Answer:
The temperature coefficient of resistance of the wire is \(3 \times 10^{-2}\) \(^\circ\)C\(^{-1}\).
Quick Tip: This is a direct application of the formula for thermal resistance. Ensure you use the change in temperature correctly. Rearranging the formula to \(\alpha = \frac{R_T - R_0}{R_0 \Delta T}\) can sometimes speed up the calculation.
The net impedance of circuit (as shown in figure) will be:
View Solution
Step 1: Understanding the Question:
The question asks for the net impedance of a series LCR circuit with given values for L, C, R, and the source frequency.
Step 2: Key Formula or Approach:
The impedance \(Z\) of a series LCR circuit is given by:
\[ Z = \sqrt{R^2 + (X_L - X_C)^2} \]
where \(X_L = \omega L\) is the inductive reactance and \(X_C = \frac{1}{\omega C}\) is the capacitive reactance. The angular frequency is \(\omega = 2\pi f\).
Step 3: Detailed Explanation:
Given data:
- Resistance, \(R = 10 \, \Omega\)
- Inductance, \(L = \frac{50}{\pi} mH = \frac{50}{\pi} \times 10^{-3} H\)
- Capacitance, \(C = \frac{10^3}{\pi} \, \muF = \frac{1000}{\pi} \times 10^{-6} F\)
- Frequency, \(f = 50 Hz\)
First, calculate the angular frequency \(\omega\):
\[ \omega = 2\pi f = 2\pi(50) = 100\pi rad/s \]
Next, calculate the inductive reactance \(X_L\):
\[ X_L = \omega L = (100\pi) \times \left(\frac{50}{\pi} \times 10^{-3}\right) = 5000 \times 10^{-3} = 5 \, \Omega \]
Then, calculate the capacitive reactance \(X_C\). (Note: there may be a typo in the image, the value seems to be \(10^3/\pi\)):
\[ X_C = \frac{1}{\omega C} = \frac{1}{(100\pi) \times \left(\frac{1000}{\pi} \times 10^{-6}\right)} = \frac{1}{100000 \times 10^{-6}} = \frac{1}{10^{-1}} = 10 \, \Omega \]
Now, calculate the impedance \(Z\):
\[ Z = \sqrt{R^2 + (X_L - X_C)^2} = \sqrt{10^2 + (5 - 10)^2} \] \[ Z = \sqrt{100 + (-5)^2} = \sqrt{100 + 25} = \sqrt{125} \] \[ Z = \sqrt{25 \times 5} = 5\sqrt{5} \, \Omega \]
Step 4: Final Answer:
The net impedance of the circuit is \(5\sqrt{5} \, \Omega\).
Quick Tip: In LCR circuits, always calculate \(X_L\) and \(X_C\) first. The difference between them determines whether the circuit is predominantly inductive (\(X_L > X_C\)) or capacitive (\(X_C > X_L\)). At resonance, \(X_L = X_C\) and \(Z = R\).
For the following logic circuit, the truth table is:
View Solution
Step 1: Understanding the Question:
We need to determine the output Y for all possible combinations of inputs A and B for the given logic circuit and find the corresponding truth table.
Step 2: Key Formula or Approach:
1. Identify the logic gates in the circuit.
2. Write the Boolean expression for the output Y.
3. Simplify the expression if possible using Boolean algebra (e.g., De Morgan's theorems).
4. Construct the truth table based on the final expression.
Step 3: Detailed Explanation:
The circuit consists of three gates:
- Input A goes into a NOT gate, so its output is \(\bar{A}\).
- Input B goes into a NOT gate, so its output is \(\bar{B}\).
- The outputs \(\bar{A}\) and \(\bar{B}\) are the inputs to a NAND gate.
The output of the NAND gate is the final output Y. So, the Boolean expression for Y is:
\[ Y = \overline{(\bar{A}) \cdot (\bar{B})} \]
According to De Morgan's first theorem, \(\overline{X \cdot Y} = \bar{X} + \bar{Y}\). Applying this, we get:
\[ Y = \overline{(\bar{A})} + \overline{(\bar{B})} \]
Since \(\overline{\bar{X}} = X\), the expression simplifies to:
\[ Y = A + B \]
This is the Boolean expression for an OR gate. The circuit is equivalent to an OR gate.
Now, let's construct the truth table for an OR gate:
- If A=0 and B=0, then Y = 0 + 0 = 0.
- If A=0 and B=1, then Y = 0 + 1 = 1.
- If A=1 and B=0, then Y = 1 + 0 = 1.
- If A=1 and B=1, then Y = 1 + 1 = 1.
The resulting truth table is:
\begin{tabular{|c|c|c|
\hline
A & B & Y
\hline
0 & 0 & 0
0 & 1 & 1
1 & 0 & 1
1 & 1 & 1
\hline
This table matches the one given in option (3).
Step 4: Final Answer:
The logic circuit is equivalent to an OR gate, and its truth table is the one shown in option (3).
Quick Tip: This type of gate combination (NAND gate with inverted inputs) is called a "bubbled AND" gate, which is logically equivalent to an OR gate. Knowing De Morgan's theorems (\(\overline{A \cdot B} = \bar{A} + \bar{B}\) and \(\overline{A + B} = \bar{A} \cdot \bar{B}\)) is crucial for simplifying logic circuits.
10 resistors, each of resistance R are connected in series to a battery of emf E and negligible internal resistance. Then those are connected in parallel to the same battery, the current is increased n times. The value of n is:
View Solution
Step 1: Understanding the Question:
The problem compares the current drawn from a battery when a set of identical resistors are connected first in series and then in parallel. We need to find the factor by which the current increases.
Step 2: Key Formula or Approach:
- For \(N\) resistors in series, the equivalent resistance is \(R_{series} = N \times R\).
- For \(N\) resistors in parallel, the equivalent resistance is \(R_{parallel} = \frac{R}{N}\).
- Ohm's Law: \(I = \frac{E}{R_{eq}}\).
Step 3: Detailed Explanation:
Given: \(N=10\) resistors, each with resistance \(R\). Battery emf is \(E\).
Case 1: Series Connection
The total resistance is \(R_{series} = 10 \times R = 10R\).
The current drawn from the battery is \(I_{series} = \frac{E}{R_{series}} = \frac{E}{10R}\).
Case 2: Parallel Connection
The total resistance is \(R_{parallel} = \frac{R}{10}\).
The current drawn from the battery is \(I_{parallel} = \frac{E}{R_{parallel}} = \frac{E}{R/10} = \frac{10E}{R}\).
Finding the ratio n
We are told that \(I_{parallel} = n \times I_{series}\).
So, \(n = \frac{I_{parallel}}{I_{series}}\).
\[ n = \frac{10E/R}{E/10R} = \frac{10E}{R} \times \frac{10R}{E} = 10 \times 10 = 100 \]
Step 4: Final Answer:
The value of n is 100.
Quick Tip: For N identical resistors, the ratio of parallel current to series current will always be \(N^2\). This is because the series resistance is \(N\) times the individual resistance, while the parallel resistance is \(1/N\) times the individual resistance, leading to a ratio of currents proportional to \(N / (1/N) = N^2\).
Calculate the maximum acceleration of a moving car so that a body lying on the floor of the car remains stationary. The coefficient of static friction between the body and the floor is 0.15 (g = 10 m s\(^{-2}\)).
View Solution
Step 1: Understanding the Question:
The question asks for the maximum acceleration a car can have without an object on its floor slipping. This is a problem involving static friction and Newton's second law in a non-inertial frame of reference.
Step 2: Key Formula or Approach:
For the body to remain stationary relative to the car, the force causing it to accelerate with the car must be provided by static friction. This static friction force must be less than or equal to its maximum possible value, \(f_{s,max}\).
The force required to accelerate the body is \(F = ma\).
The maximum available static friction force is \(f_{s,max} = \mu_s N\), where \(\mu_s\) is the coefficient of static friction and \(N\) is the normal force. In this case, \(N = mg\).
The condition is \(ma \leq f_{s,max}\).
Step 3: Detailed Explanation:
Let \(m\) be the mass of the body and \(a\) be the acceleration of the car.
The force required to accelerate the body is \(F = ma\).
This force is provided by the static friction, \(f_s\). So, \(f_s = ma\).
The maximum value of static friction is \(f_{s,max} = \mu_s N = \mu_s mg\).
For the body not to slip, the required force must not exceed the maximum available frictional force:
\[ ma \le \mu_s mg \]
Dividing by \(m\), we get the condition for the acceleration:
\[ a \le \mu_s g \]
The maximum possible acceleration is therefore:
\[ a_{max} = \mu_s g \]
Given data:
- \(\mu_s = 0.15\)
- \(g = 10 m s^{-2}\)
Substitute the values:
\[ a_{max} = 0.15 \times 10 = 1.5 m s^{-2} \]
Step 4: Final Answer:
The maximum acceleration of the car is 1.5 m s\(^{-2}\).
Quick Tip: This is a classic problem. Remember that static friction provides the force to accelerate the object along with the surface it's on. The limiting condition is when the required acceleration force equals the maximum static friction. The mass of the object cancels out.
The x-t graph of a particle performing simple harmonic motion is shown in the figure. The acceleration of the particle at t=2s is:
View Solution
Step 1: Understanding the Question:
We are given the position-time (x-t) graph for a particle in Simple Harmonic Motion (SHM) and need to find its acceleration at a specific time, t = 2s.
Step 2: Key Formula or Approach:
The acceleration (\(a\)) of a particle in SHM is related to its position (\(x\)) by the equation:
\[ a = -\omega^2 x \]
where \(\omega\) is the angular frequency. We can find \(\omega\) from the period (\(T\)) of the motion, using \(\omega = \frac{2\pi}{T}\). The position \(x\) at \(t=2\)s can be read from the graph or determined from the equation of motion.
Step 3: Detailed Explanation:
First, let's determine the period \(T\) from the graph.
- The particle starts at \(x=0\) at \(t=0\).
- It reaches maximum positive displacement (\(x=1\) m) at \(t=2\) s.
- It returns to the equilibrium position (\(x=0\)) at \(t=4\) s.
- It reaches maximum negative displacement (\(x=-1\) m) at \(t=6\) s.
- It completes one full oscillation by returning to \(x=0\) and moving in the positive direction at \(t=8\) s.
So, the period of the SHM is \(T = 8\) s.
Next, calculate the angular frequency \(\omega\):
\[ \omega = \frac{2\pi}{T} = \frac{2\pi}{8} = \frac{\pi}{4} rad/s \]
Now, we need the position \(x\) at \(t=2\) s. From the graph, we can see that at \(t=2\) s, the particle is at its maximum positive displacement.
\[ x(t=2s) = +1 m \]
Finally, calculate the acceleration at \(t=2\) s using the formula \(a = -\omega^2 x\):
\[ a(t=2s) = -\left(\frac{\pi}{4}\right)^2 \times (+1) \] \[ a = -\frac{\pi^2}{16} m/s^2 \]
Step 4: Final Answer:
The acceleration of the particle at t=2s is \(-\frac{\pi^2}{16}\) ms\(^{-2}\).
Quick Tip: In SHM, acceleration is always directed towards the equilibrium position and is maximum at the extreme positions. At the positive extreme (\(x=+A\)), acceleration is maximum negative (\(a = -\omega^2 A\)). At the negative extreme (\(x=-A\)), acceleration is maximum positive (\(a = +\omega^2 A\)).
A satellite is orbiting just above the surface of the earth with period T. If d is the density of the earth and G is the universal constant of gravitation, the quantity \(\frac{3\pi}{Gd}\) represents:
View Solution
Step 1: Understanding the Question:
The question asks to identify what the expression \(\frac{3\pi}{Gd}\) represents in the context of a satellite orbiting just above the Earth's surface with a period \(T\).
Step 2: Key Formula or Approach:
We will use Kepler's third law of planetary motion, which relates the orbital period to the orbital radius. For a satellite in a circular orbit, the gravitational force provides the necessary centripetal force.
1. Gravitational Force: \(F_g = \frac{GMm}{R^2}\)
2. Centripetal Force: \(F_c = m\omega^2 R\)
3. Relation between \(\omega\) and \(T\): \(\omega = \frac{2\pi}{T}\)
4. Mass in terms of density: \(M = d \times V = d \times \frac{4}{3}\pi R^3\)
Here, \(M\) and \(R\) are the mass and radius of the Earth, \(m\) is the mass of the satellite, and the orbit is "just above the surface," so the orbital radius is approximately \(R\).
Step 3: Detailed Explanation:
Equate the gravitational force and the centripetal force:
\[ \frac{GMm}{R^2} = m\omega^2 R \]
Cancel \(m\) and rearrange:
\[ \omega^2 = \frac{GM}{R^3} \]
Substitute \(\omega = \frac{2\pi}{T}\):
\[ \left(\frac{2\pi}{T}\right)^2 = \frac{GM}{R^3} \] \[ \frac{4\pi^2}{T^2} = \frac{GM}{R^3} \]
Now, substitute the expression for the Earth's mass \(M = d \frac{4}{3}\pi R^3\):
\[ \frac{4\pi^2}{T^2} = \frac{G(d \frac{4}{3}\pi R^3)}{R^3} \]
Cancel \(R^3\) from the right side:
\[ \frac{4\pi^2}{T^2} = G d \frac{4}{3}\pi \]
Now, we solve for the expression given in the question. Let's rearrange the equation to isolate \(T^2\):
\[ T^2 = \frac{4\pi^2 \times 3}{Gd \times 4\pi} = \frac{3\pi}{Gd} \]
Thus, the quantity \(\frac{3\pi}{Gd}\) is equal to \(T^2\).
Step 4: Final Answer:
The quantity \(\frac{3\pi}{Gd}\) represents \(T^2\).
Quick Tip: This derivation is a common one in gravitation. The key is to connect the dynamics of the orbit (Force = ma) with the properties of the central body (expressing its mass M in terms of density d). This shows that the period of a satellite orbiting close to a planet's surface depends only on the planet's density, not its radius or mass individually.
A very long conducting wire is bent in a semi-circular shape from A to B as shown in figure. The magnetic field at point P for steady current configuration is given by:
View Solution
Step 1: Understanding the Question:
The problem asks for the total magnetic field at point P, which is the center of a semi-circular bend in a very long conducting wire carrying a steady current \(i\).
Step 2: Key Formula or Approach:
The total magnetic field at P is the vector sum of the magnetic fields produced by the three segments of the wire: the straight segment before the bend, the semi-circular bend, and the straight segment after the bend.
1. Field due to a straight wire: The magnetic field \(d\vec{B}\) due to a current element \(d\vec{l}\) is given by the Biot-Savart Law: \(d\vec{B} = \frac{\mu_0}{4\pi} \frac{i(d\vec{l} \times \vec{r})}{r^3}\). For any point on the axis of a straight wire, the vector \(d\vec{l}\) and the position vector \(\vec{r}\) are collinear, so their cross product \(d\vec{l} \times \vec{r}\) is zero.
2. Field due to a circular arc: The magnetic field at the center of a circular arc of radius R subtending an angle \(\theta\) (in radians) is \(B = \frac{\mu_0 i \theta}{4\pi R}\). For a semi-circle, \(\theta = \pi\).
Step 3: Detailed Explanation:
- Field from straight segments: As shown in the figure, the point P lies on the axis of both the incoming and outgoing straight sections of the wire. Therefore, the magnetic field at P due to these two straight segments is zero.
- Field from the semi-circular segment: The current flows from A to B in a clockwise direction. The angle subtended by the semi-circle at the center P is \(\theta = \pi\) radians. The magnetic field at the center is:
\[ B_{semi} = \frac{\mu_0 i \pi}{4\pi R} = \frac{\mu_0 i}{4R} \]
- Direction of the field: Using the right-hand curl rule for the semi-circular part, if you curl your fingers in the direction of the current (clockwise), your thumb points into the page. So, the magnetic field is directed into the page.
- Total field: The total magnetic field at P is the sum of the fields from all segments:
\[ \vec{B}_P = \vec{B}_{straight1} + \vec{B}_{semi} + \vec{B}_{straight2} = 0 + \frac{\mu_0 i}{4R} (into page) + 0 = \frac{\mu_0 i}{4R} (into page) \]
Step 4: Final Answer:
The net magnetic field at point P is \(\frac{\mu_0 i}{4R}\) pointed into the page. Quick Tip: When calculating the magnetic field from a complex wire shape, break it down into simpler geometric segments (straight lines, arcs). The total field is the vector sum of the fields from each segment. Remember that the field from a straight wire is zero at any point along its length.
In the figure shown here, what is the equivalent focal length of the combination of lenses (Assume that all layers are thin)?
View Solution
Step 1: Understanding the Question:
The setup consists of three thin lenses in contact: two identical glass lenses and a liquid lens trapped between them. We need to find the equivalent focal length of this combination.
Step 2: Key Formula or Approach:
1. Use the Lens Maker's formula for each lens: \(\frac{1}{f} = (n-1)\left(\frac{1}{R_1} - \frac{1}{R_2}\right)\).
2. For a combination of thin lenses in contact, the equivalent power is the sum of individual powers, so the reciprocal of the equivalent focal length is the sum of the reciprocals of individual focal lengths: \(\frac{1}{f_{eq}} = \frac{1}{f_1} + \frac{1}{f_2} + \frac{1}{f_3}\).
The sign convention used: Light travels from left to right. Radii are measured from the optical center. Radii with centers of curvature on the right are positive, and on the left are negative.
Step 3: Detailed Explanation:
- Lens 1 (Left, glass): This is a plano-convex lens with \(n_1 = 1.5\). First surface is convex, \(R_1 = +20\) cm. Second surface is plane, \(R_2 = \infty\).
\[ \frac{1}{f_1} = (1.5 - 1)\left(\frac{1}{20} - \frac{1}{\infty}\right) = 0.5 \times \frac{1}{20} = \frac{1}{40} \implies f_1 = 40 cm \]
- Lens 2 (Middle, liquid): This is a concavo-concave lens with \(n_2 = 1.6\). The first surface is concave, with its center of curvature to the left, so \(R_1 = -20\) cm. The second surface is also concave, with its center of curvature to the right, so \(R_2 = +20\) cm.
\[ \frac{1}{f_2} = (1.6 - 1)\left(\frac{1}{-20} - \frac{1}{20}\right) = 0.6 \times \left(-\frac{2}{20}\right) = 0.6 \times \left(-\frac{1}{10}\right) = -0.06 \]\[= -\frac{6}{100} \implies f_2 = -\frac{100}{6} = -\frac{50}{3} cm \]
- Lens 3 (Right, glass): This is a plano-convex lens with \(n_1 = 1.5\). The first surface is plane, \(R_1 = \infty\). The second surface is convex, with its center of curvature to the left, so \(R_2 = -20\) cm.
\[ \frac{1}{f_3} = (1.5 - 1)\left(\frac{1}{\infty} - \frac{1}{-20}\right) = 0.5 \times \frac{1}{20} = \frac{1}{40} \implies f_3 = 40 cm \]
- Equivalent Focal Length:
\[ \frac{1}{f_{eq}} = \frac{1}{f_1} + \frac{1}{f_2} + \frac{1}{f_3} = \frac{1}{40} + \left(-\frac{6}{100}\right) + \frac{1}{40} \]
\[ \frac{1}{f_{eq}} = \frac{2}{40} - \frac{6}{100} = \frac{1}{20} - \frac{3}{50} \]
Using a common denominator of 100:
\[ \frac{1}{f_{eq}} = \frac{5}{100} - \frac{6}{100} = -\frac{1}{100} \]
\[ f_{eq} = -100 cm \]
Step 4: Final Answer:
The equivalent focal length of the combination is -100 cm.
Quick Tip: When dealing with combinations of lenses, it's often easiest to calculate the focal length of each individual component first, paying close attention to the sign convention for radii of curvature, and then combine them. Remember that power adds up for lenses in contact.
Two thin lenses are of same focal lengths (f), but one is convex and the other one is concave. When they are placed in contact with each other, the equivalent focal length of the combination will be:
View Solution
Step 1: Understanding the Question:
We are asked to find the equivalent focal length of a combination of a convex and a concave lens, both having the same magnitude of focal length \(f\), when they are placed in contact.
Step 2: Key Formula or Approach:
The power of a combination of thin lenses in contact is the algebraic sum of the individual powers. The equivalent focal length \(f_{eq}\) is given by: \[ \frac{1}{f_{eq}} = \frac{1}{f_1} + \frac{1}{f_2} \]
By convention, the focal length of a convex lens is positive, and that of a concave lens is negative.
Step 3: Detailed Explanation:
- For the convex lens, the focal length is \(f_1 = +f\).
- For the concave lens, the focal length is \(f_2 = -f\).
Substituting these into the formula for the combination: \[ \frac{1}{f_{eq}} = \frac{1}{+f} + \frac{1}{-f} \] \[ \frac{1}{f_{eq}} = \frac{1}{f} - \frac{1}{f} = 0 \]
If the reciprocal of the focal length is zero, the focal length itself must be infinite. \[ f_{eq} = \frac{1}{0} \implies \infty \]
Step 4: Final Answer:
The equivalent focal length of the combination is infinite. Such a combination behaves like a plane glass plate, neither converging nor diverging parallel rays of light.
Quick Tip: The power of a lens is \(P = 1/f\). The equivalent power of lenses in contact is \(P_{eq} = P_1 + P_2\). In this case, \(P_1 = 1/f\) and \(P_2 = -1/f\), so \(P_{eq} = 0\). A lens system with zero power has an infinite focal length.
A wire carrying a current I along the positive x-axis has length L. It is kept in a magnetic field \(\vec{B} = (2\hat{i} + 3\hat{j} - 4\hat{k})\) T. The magnitude of the magnetic force acting on the wire is:
View Solution
Step 1: Understanding the Question:
We need to find the magnitude of the magnetic force on a straight current-carrying wire placed in a uniform magnetic field.
Step 2: Key Formula or Approach:
The magnetic force \(\vec{F}\) on a straight wire of length vector \(\vec{L}\) carrying current \(I\) in a magnetic field \(\vec{B}\) is given by the Lorentz force law for a conductor: \[ \vec{F} = I (\vec{L} \times \vec{B}) \]
Step 3: Detailed Explanation:
- The wire has length \(L\) and lies along the positive x-axis. So, its length vector is \(\vec{L} = L\hat{i}\).
- The current is \(I\).
- The magnetic field is \(\vec{B} = 2\hat{i} + 3\hat{j} - 4\hat{k}\).
First, we calculate the cross product \(\vec{L} \times \vec{B}\): \[ \vec{L} \times \vec{B} = (L\hat{i}) \times (2\hat{i} + 3\hat{j} - 4\hat{k}) \] \[ \vec{L} \times \vec{B} = L [ (\hat{i} \times 2\hat{i}) + (\hat{i} \times 3\hat{j}) - (\hat{i} \times 4\hat{k}) ] \]
Using the vector identities \(\hat{i} \times \hat{i} = 0\), \(\hat{i} \times \hat{j} = \hat{k}\), and \(\hat{i} \times \hat{k} = -\hat{j}\): \[ \vec{L} \times \vec{B} = L [ 0 + 3\hat{k} - 4(-\hat{j}) ] = L(4\hat{j} + 3\hat{k}) \]
Now, the force vector is: \[ \vec{F} = I (\vec{L} \times \vec{B}) = IL(4\hat{j} + 3\hat{k}) \]
The question asks for the magnitude of this force, \(|\vec{F}|\): \[ |\vec{F}| = |IL(4\hat{j} + 3\hat{k})| = IL \sqrt{4^2 + 3^2} \] \[ |\vec{F}| = IL \sqrt{16 + 9} = IL \sqrt{25} = 5IL \]
Step 4: Final Answer:
The magnitude of the magnetic force acting on the wire is 5IL.
Quick Tip: Remember that the component of the magnetic field parallel to the current (\(B_x\) in this case) does not contribute to the magnetic force. The force is only due to the components of the field perpendicular to the wire.
A bullet from a gun is fired on a rectangular wooden block with velocity u. When bullet travels 24 cm through the block along its length horizontally, velocity of bullet becomes u/3. Then it further penetrates into the block in the same direction before coming to rest exactly at the other end of the block. The total length of the block is:
View Solution
Step 1: Understanding the Question:
A bullet loses speed as it penetrates a wooden block. We are given its initial speed, its speed after traveling a certain distance, and we need to find the total distance it travels before stopping. We can assume the block provides a constant retarding force.
Step 2: Key Formula or Approach:
We can use the work-energy theorem or the kinematic equation \(v^2 = u^2 + 2as\), assuming constant acceleration (deceleration). Let \(a\) be the constant deceleration.
Step 3: Detailed Explanation:
Let the constant deceleration provided by the block be \(a\).
Phase 1: The bullet travels \(s_1 = 24\) cm.
- Initial velocity: \(u_1 = u\)
- Final velocity: \(v_1 = u/3\)
Using the kinematic equation \(v_1^2 = u_1^2 + 2as_1\): \[ \left(\frac{u}{3}\right)^2 = u^2 + 2a(24) \] \[ \frac{u^2}{9} = u^2 + 48a \] \[ \frac{u^2}{9} - u^2 = 48a \] \[ -\frac{8u^2}{9} = 48a \implies a = -\frac{8u^2}{9 \times 48} = -\frac{u^2}{54} \]
The deceleration is \(a = -u^2/54\).
Phase 2: The bullet travels an additional distance \(s_2\) until it stops.
- Initial velocity: \(u_2 = u/3\)
- Final velocity: \(v_2 = 0\)
Using the kinematic equation \(v_2^2 = u_2^2 + 2as_2\): \[ 0^2 = \left(\frac{u}{3}\right)^2 + 2as_2 \] \[ 0 = \frac{u^2}{9} + 2as_2 \] \[ s_2 = -\frac{u^2/9}{2a} \]
Substitute the value of \(a\) we found: \[ s_2 = -\frac{u^2/9}{2(-u^2/54)} = \frac{u^2}{9} \times \frac{54}{2u^2} = \frac{54}{18} = 3 cm \]
The bullet penetrates an additional 3 cm.
Total Length of the block:
The total length is the sum of the distances traveled in both phases. \[ L = s_1 + s_2 = 24 cm + 3 cm = 27 cm \]
Step 4: Final Answer:
The total length of the block is 27 cm.
Quick Tip: The work done by the resistive force is equal to the change in kinetic energy. The work done is proportional to the distance traveled (\(W = F \cdot s\)). The change in KE from \(u\) to \(u/3\) is \(\frac{1}{2}m(u^2 - u^2/9) = \frac{1}{2}m \frac{8u^2}{9}\). The change in KE from \(u/3\) to 0 is \(\frac{1}{2}m(u^2/9 - 0) = \frac{1}{2}m \frac{u^2}{9}\). The ratio of distances traveled is equal to the ratio of changes in KE, so \(s_1/s_2 = 8/1\). Thus \(s_2 = s_1/8 = 24/8 = 3\) cm.
An electric dipole is placed as shown in the figure. The electric potential (in \(10^2\) V) at point P due to the dipole is (\(\epsilon_0\)= permittivity of free space and \(\frac{1}{4\pi\epsilon_0} = K\)):
View Solution
Step 1: Understanding the Question:
We need to calculate the exact electric potential at a point P on the axis of an electric dipole.
Step 2: Key Formula or Approach:
The electric potential is a scalar quantity. The total potential at a point is the algebraic sum of the potentials due to individual charges. The potential \(V\) due to a point charge \(q\) at a distance \(r\) is \(V = \frac{1}{4\pi\epsilon_0} \frac{q}{r} = \frac{Kq}{r}\).
Step 3: Detailed Explanation:
From the figure:
- The center of the dipole is at O.
- Charge \(-q\) is at a distance of 3 cm to the left of O.
- Charge \(+q\) is at a distance of 3 cm to the right of O.
- Point P is on the axis, at a distance of 5 cm from the center O.
Let's calculate the distance of point P from each charge:
- Distance from \(+q\): \(r_1 = 5 cm - 3 cm = 2 cm\)
- Distance from \(-q\): \(r_2 = 5 cm + 3 cm = 8 cm\)
Now, calculate the total potential \(V_P\) at point P: \[ V_P = V_{+q} + V_{-q} = \frac{K(+q)}{r_1} + \frac{K(-q)}{r_2} \] \[ V_P = Kq \left( \frac{1}{r_1} - \frac{1}{r_2} \right) \]
It is important to use consistent units (meters), but since the answer is symbolic, we can see if the units cancel. \[ V_P = Kq \left( \frac{1}{2 cm} - \frac{1}{8 cm} \right) = Kq \left( \frac{4-1}{8 cm} \right) = \frac{3}{8} \frac{Kq}{cm} \]
To get a proper expression for potential, we must convert cm to m: \(r_1 = 0.02\) m, \(r_2 = 0.08\) m. \[ V_P = Kq \left( \frac{1}{0.02} - \frac{1}{0.08} \right) = Kq \left( 50 - 12.5 \right) = 37.5 Kq \]
Alternatively, using the exact dipole formula for an axial point: \(V = \frac{K p}{r^2 - a^2}\) where \(p=q(2a)\). Here \(r=5\) cm and \(a=3\) cm. \[ V = \frac{K q(2 \times 3)}{5^2 - 3^2} = \frac{6Kq}{25 - 9} = \frac{6Kq}{16} = \frac{3}{8}Kq \]
The calculated value is \(\frac{3}{8}Kq\). Quick Tip: For calculating potential from multiple charges, always remember it's a scalar sum. Pay careful attention to the signs of the charges and the distances. When the point is not far from the dipole (\(r\) is not much larger than the dipole separation), the exact formula must be used instead of the approximation \(V = Kp/r^2\).
A horizontal bridge is built across a river. A student standing on the bridge throws a small ball vertically upwards with a velocity 4 m s\(^{-1}\). The ball strikes the water surface after 4 s. The height of bridge above water surface is (Take g=10 m s\(^{-2}\)):
View Solution
Step 1: Understanding the Question:
This is a one-dimensional kinematics problem involving motion under gravity. We need to find the initial height (height of the bridge) given the initial velocity, time of flight, and acceleration due to gravity.
Step 2: Key Formula or Approach:
We can use the second equation of motion for constant acceleration: \[ s = ut + \frac{1}{2}at^2 \]
Here, \(s\) represents the net displacement from the starting point. We need to establish a coordinate system. Let's take the starting point (the bridge) as the origin and the upward direction as positive.
Step 3: Detailed Explanation:
- The origin is on the bridge.
- Upward direction is positive.
- Initial velocity, \(u = +4\) m/s.
- Acceleration due to gravity, \(a = -g = -10\) m/s\(^2\).
- Total time in the air, \(t = 4\) s.
Now, we can calculate the net displacement \(s\) of the ball from the time it is thrown until it hits the water. \[ s = (+4)(4) + \frac{1}{2}(-10)(4)^2 \] \[ s = 16 - 5(16) \] \[ s = 16 - 80 \] \[ s = -64 m \]
The negative sign indicates that the final position (the water surface) is 64 meters below the initial position (the bridge).
Step 4: Final Answer:
The displacement is -64 m, so the height of the bridge above the water surface is 64 m.
Quick Tip: Establishing a clear coordinate system (origin and positive direction) is the most important first step in solving kinematics problems. Being consistent with the signs of displacement, velocity, and acceleration based on your chosen system will prevent errors.
Taking stability as the factor, which one of the following represents correct relationship?
View Solution
Step 1: Understanding the Question:
The question asks to identify the correct stability relationship for halides of Group 13 elements (Al, In, Tl). This relates to the 'inert pair effect'.
Step 2: Detailed Explanation:
- The inert pair effect is the reluctance of the outermost s-electrons to participate in bond formation. This effect becomes more prominent as we move down a group in the p-block of the periodic table.
- For Group 13 elements (B, Al, Ga, In, Tl), the common oxidation states are +3 and +1.
- As we move down the group from Al to Tl, the stability of the +1 oxidation state increases, while the stability of the +3 oxidation state decreases.
- Let's analyze the options based on this trend:
- (A) TlI \(>\) TlI\(_3\): Thallium (Tl) is the last element in this group, so the inert pair effect is strongest. Consequently, the +1 oxidation state (in TlI) is significantly more stable than the +3 oxidation state (in TlI\(_3\)). In fact, TlI\(_3\) is known to exist as Tl\(^+\)(I\(_3\)\(^-\)), which further indicates the stability of Tl\(^+\). So, this statement is correct.
- (B) TlCl\(_3\) \(>\) TlCl: This is incorrect. TlCl (+1 state) is more stable than TlCl\(_3\) (+3 state).
- (C) InI\(_3\) \(>\) InI: For Indium (In), the +3 oxidation state is generally more stable than the +1 state, although the stability of the +1 state is increasing compared to Al and Ga. This statement is correct, but option A is a more pronounced and classic example of the inert pair effect. However, the question asks for a correct relationship, and TlI being more stable than TlI\(_3\) is the definitive answer representing the trend.
- (D) AlCl \(>\) AlCl\(_3\): This is incorrect. For Aluminium (Al), the +3 oxidation state is much more stable than the +1 oxidation state.
Step 3: Final Answer:
Comparing the options, the most accurate and representative relationship demonstrating the inert pair effect is the higher stability of Thallium(I) iodide over Thallium(III) iodide.
Quick Tip: Remember the stability trend for Group 13 oxidation states due to the inert pair effect: Al\(^{3+}\) \(>\) Ga\(^{3+}\) \(>\) In\(^{3+}\) \(>\) Tl\(^{3+}\) and Al\(^+\) \(<\) Ga\(^+\) \(<\) In\(^+\) \(<\) Tl\(^+\). The lower oxidation state becomes more stable as you go down the group.
Identify the product in the following reaction:
View Solution
Step 1: Understanding the Question:
The question asks for the final product of a three-step reaction sequence starting from benzene diazonium chloride.
Step 2: Detailed Explanation:
Let's analyze each step of the reaction:
- Step (i): Benzene diazonium chloride + Cu\(_2\)Br\(_2\)/HBr
This is a Sandmeyer reaction. The diazonium group (\(-N_2^+Cl^-\)) is an excellent leaving group and is replaced by a bromide (\(-Br\)) from the reagent. The product of this step is bromobenzene.
\[ C_6H_5N_2^+Cl^- \xrightarrow{Cu_2Br_2/HBr} C_6H_5Br \]
- Step (ii): Bromobenzene + Mg/dry ether
This is the standard procedure for the formation of a Grignard reagent. Bromobenzene reacts with magnesium metal in the presence of dry ether as a solvent to form phenylmagnesium bromide.
\[ C_6H_5Br \xrightarrow{Mg/dry~ether} C_6H_5MgBr \]
- Step (iii): Phenylmagnesium bromide + H\(_2\)O
Grignard reagents are very strong bases and react readily with any source of acidic protons, such as water. The phenyl anion part of the Grignard reagent abstracts a proton from water to form benzene, and the byproduct is magnesium hydroxybromide.
\[ C_6H_5MgBr + H_2O \rightarrow C_6H_6 + Mg(OH)Br \]
The final organic product is benzene.
Step 3: Final Answer:
The final product of the reaction sequence is benzene, which corresponds to the structure in option (3).
Quick Tip: Recognize the standard reaction types: Step 1 is Sandmeyer, Step 2 is Grignard formation, and Step 3 is Grignard reagent hydrolysis. Remember that Grignard reagents are incompatible with protic solvents like water or alcohol because they get protonated to form alkanes/arenes.
The given compound is an example of
View Solution
Step 1: Understanding the Question:
We need to classify the given organic halide based on the position of the halogen atom (X) relative to other functional groups (double bond, benzene ring).
Step 2: Detailed Explanation:
Let's define the different types of halides:
- Vinylic halide: The halogen atom is bonded directly to an sp\(^2\)-hybridized carbon atom of a carbon-carbon double bond (C=C-X).
- Benzylic halide: The halogen atom is bonded to an sp\(^3\)-hybridized carbon atom that is directly attached to a benzene ring (Ar-C-X).
- Aryl halide: The halogen atom is bonded directly to an sp\(^2\)-hybridized carbon atom of a benzene ring (Ar-X).
- Allylic halide: The halogen atom is bonded to an sp\(^3\)-hybridized carbon atom that is adjacent to a carbon-carbon double bond (C=C-C-X). The carbon atom bearing the halogen is called the allylic carbon.
Now let's examine the given structure: C\(_6\)H\(_5\)-CH=CH-CH(X)-CH\(_2\)CH\(_3\).
- The halogen atom (X) is attached to a carbon atom.
- This carbon atom is sp\(^3\)-hybridized.
- This sp\(^3\)-hybridized carbon atom is immediately adjacent to a carbon-carbon double bond (-CH=CH-).
This fits the definition of an allylic halide perfectly. The benzene ring is present in the molecule, but the halogen is not on a benzylic carbon.
Step 3: Final Answer:
The given compound is an example of an allylic halide.
Quick Tip: To classify halides, always focus on the carbon atom directly bonded to the halogen. Check its hybridization (sp\(^2\) or sp\(^3\)) and what it is attached to (double bond, benzene ring, etc.). This systematic approach helps avoid confusion.
In Lassaigne's extract of an organic compound, both nitrogen and sulphur are present, which gives blood red colour with Fe\(^{3+}\) due to the formation of -
View Solution
Step 1: Understanding the Question:
The question describes the chemical test for the simultaneous presence of nitrogen and sulfur in an organic compound using the Lassaigne's test and asks for the chemical formula of the species responsible for the characteristic blood-red color.
Step 2: Detailed Explanation:
- In the Lassaigne's test, the organic compound is fused with sodium metal. If both nitrogen (N) and sulfur (S) are present, they react with sodium to form sodium thiocyanate (NaSCN).
\[ Na + C + N + S \rightarrow NaSCN \]
- The resulting fused mass is extracted with distilled water to get the Lassaigne's extract, which contains NaSCN.
- When this extract is treated with a few drops of a neutral ferric chloride (FeCl\(_3\)) solution, the thiocyanate ions (SCN\(^-\)) react with ferric ions (Fe\(^{3+}\)) to form a complex.
- This complex, ferric thiocyanate, is responsible for the intense blood-red coloration. The reaction is:
\[ Fe^{3+} + SCN^{-} \rightleftharpoons [Fe(SCN)(H_2O)_5]^{2+} \]
For simplicity, this complex is often written as [Fe(SCN)]\(^{2+}\).
- Let's analyze the other options:
- (B) Fe\(_4\)[Fe(CN)\(_6\)]\(_3 \cdot\) xH\(_2\)O is Prussian blue, which is formed in the test for nitrogen alone.
- (C) NaSCN is the reactant in the Lassaigne's extract, not the final colored product.
- (D) [Fe(CN)\(_5\)NOS]\(^{4-}\) is the purple-colored complex formed in the sodium nitroprusside test, which is a specific test for sulfur (as sulfide S\(^{2-}\)), not for N and S together.
Step 3: Final Answer:
The blood-red color is due to the formation of the ferric thiocyanate complex, represented as [Fe(SCN)]\(^{2+}\).
Quick Tip: Remember the characteristic colors and products for different Lassaigne's tests: - Nitrogen only: Prussian blue (Fe\(_4\)[Fe(CN)\(_6\)]\(_3\)). - Sulfur only: Black precipitate of PbS with lead acetate, or violet color with sodium nitroprusside. - Halogens: White/Yellow precipitate with AgNO\(_3\). - Nitrogen and Sulfur together: Blood-red color with FeCl\(_3\).
Given below are two statements: one is labelled as Assertion A and the other is labelled as Reason R :
Assertion A: A reaction can have zero activation energy.
Reason R: The minimum extra amount of energy absorbed by reactant molecules so that their energy becomes equal to threshold value, is called activation energy.
In the light of the above statements, choose the correct answer from the options given below:
View Solution
Step 1: Understanding the Question:
We need to evaluate an Assertion and a Reason related to the concept of activation energy in chemical kinetics.
Step 2: Detailed Explanation:
- Analysis of Reason R: "The minimum extra amount of energy absorbed by reactant molecules so that their energy becomes equal to threshold value, is called activation energy." This is the precise and correct definition of activation energy (\(E_a\)). The threshold energy is the minimum energy required for a reaction to occur, and activation energy is the barrier that reactant molecules must overcome to reach this threshold. Thus, Reason R is a true statement.
- Analysis of Assertion A: "A reaction can have zero activation energy." According to the collision theory, for a reaction to occur, reactant molecules must collide with sufficient energy (threshold energy) and proper orientation. Activation energy represents this energy barrier. For most chemical reactions involving the breaking and forming of chemical bonds, there is always an energy barrier to overcome, meaning \(E_a > 0\). Reactions that are considered to have zero or even negative activation energies (e.g., some radical recombinations, ion-molecule reactions) are special cases and are often diffusion-controlled, meaning the rate is limited only by how fast the reactants can meet. However, in the general context of chemical kinetics taught at this level, it is considered that a reaction must have a positive activation energy barrier. A zero activation energy would imply that every collision leads to a reaction, which is not typical. Therefore, within the standard curriculum's framework, Assertion A is considered false.
- Relationship between A and R: Since Assertion A is considered false and Reason R is true, we can conclude our choice.
Step 3: Final Answer:
Based on the standard interpretation in chemistry curricula, a reaction needs to overcome an energy barrier. Therefore, the assertion that activation energy can be zero is taken as false. The reason provides the correct definition of activation energy. Hence, A is false but R is true.
Quick Tip: For Assertion-Reason questions, first determine if each statement is true or false independently. If both are true, then check if the Reason correctly explains the Assertion. In kinetics, remember \(E_{activation} = E_{threshold} - E_{reactants}\). While some advanced, barrierless reactions exist, generally assume \(E_a > 0\).
The right option for the mass of CO\(_2\) produced by heating 20 g of 20% pure limestone is (Atomic mass of Ca = 40)
[CaCO\(_3\) \(\xrightarrow{1200 K}\) CaO + CO\(_2\)]
View Solution
Step 1: Understanding the Question:
This is a stoichiometry problem. We need to calculate the mass of carbon dioxide produced from the thermal decomposition of an impure sample of limestone (calcium carbonate).
Step 2: Key Formula or Approach:
1. Calculate the mass of the pure reactant (CaCO\(_3\)) from the total mass and purity percentage.
2. Convert the mass of the pure reactant to moles using its molar mass.
3. Use the stoichiometry of the balanced chemical equation to find the moles of the product (CO\(_2\)) formed.
4. Convert the moles of the product to mass using its molar mass.
Step 3: Detailed Explanation:
- Step a: Find the mass of pure CaCO\(_3\)
Total mass of limestone sample = 20 g
Purity = 20%
Mass of pure CaCO\(_3\) = 20 g \(\times\) \(\frac{20}{100}\) = 4 g
- Step b: Calculate moles of CaCO\(_3\)
Molar mass of CaCO\(_3\) = Atomic mass of Ca + Atomic mass of C + 3 \(\times\) Atomic mass of O
Molar mass of CaCO\(_3\) = 40 + 12 + 3(16) = 100 g/mol
Moles of CaCO\(_3\) = \(\frac{Mass}{Molar mass}\) = \(\frac{4 g}{100 g/mol}\) = 0.04 mol
- Step c: Use stoichiometry to find moles of CO\(_2\)
The balanced equation is: CaCO\(_3\) \(\rightarrow\) CaO + CO\(_2\)
The molar ratio between CaCO\(_3\) and CO\(_2\) is 1:1.
Therefore, moles of CO\(_2\) produced = moles of CaCO\(_3\) reacted = 0.04 mol.
- Step d: Calculate mass of CO\(_2\)
Molar mass of CO\(_2\) = Atomic mass of C + 2 \(\times\) Atomic mass of O
Molar mass of CO\(_2\) = 12 + 2(16) = 44 g/mol
Mass of CO\(_2\) produced = Moles \(\times\) Molar mass = 0.04 mol \(\times\) 44 g/mol = 1.76 g
Step 4: Final Answer:
The mass of CO\(_2\) produced is 1.76 g.
Quick Tip: In stoichiometry problems with impure reactants, always start by calculating the mass of the pure substance that will actually react. The impurities are assumed to be non-reactive. Then, proceed with the standard mole concept calculations.
Complete the following reaction :
View Solution
Step 1: Understanding the Question:
The question asks to identify the final product [C] of a two-step reaction starting from cyclohexanone [A].
Step 2: Detailed Explanation:
- Step 1: Formation of [B]
The starting material [A] is cyclohexanone. It reacts with HCN in a nucleophilic addition reaction. The cyanide ion (CN\(^-\)) attacks the electrophilic carbonyl carbon, and the oxygen atom gets protonated. This forms a cyanohydrin.
So, intermediate [B] is cyclohexanone cyanohydrin.
- Step 2: Formation of [C]
The cyanohydrin [B] is treated with concentrated sulfuric acid (H\(_2\)SO\(_4\)) and heated (\(\Delta\)). This condition leads to two transformations:
1. Hydrolysis of the nitrile group: The nitrile group (-CN) is hydrolyzed in the presence of strong acid to form a carboxylic acid group (-COOH).
2. Dehydration of the alcohol: The tertiary alcohol group (-OH) is easily dehydrated (elimination of a water molecule) in the presence of a strong acid like conc. H\(_2\)SO\(_4\) and heat. This dehydration forms a carbon-carbon double bond.
The elimination of the -OH group forms a carbocation on the ring, and a proton is then removed from an adjacent carbon to form a double bond. The most stable alkene is formed (Zaitsev's rule), which is the one with the double bond within the ring (endocyclic).
The final product [C] is 1-cyclohexenecarboxylic acid. This corresponds to the structure shown in option (1).
Step 3: Final Answer:
The final product [C] is 1-cyclohexenecarboxylic acid, which is structure (1).
Quick Tip: Recognize that cyanohydrin formation is a key reaction of aldehydes and ketones. Subsequent acid-catalyzed hydrolysis of the nitrile (-CN) group always yields a carboxylic acid (-COOH). If an alcohol is also present, strong acid and heat will likely cause dehydration to form an alkene.
Given below are two statements :
Statement I: A unit formed by the attachment of a base to 1' position of sugar is known as nucleoside
Statement II: When nucleoside is linked to phosphorous acid at 5'-position of sugar moiety, we get nucleotide.
In the light of the above statements, choose the correct answer from the options given below :
View Solution
Step 1: Understanding the Question:
We need to evaluate the correctness of two statements regarding the chemical structure of nucleosides and nucleotides.
Step 2: Detailed Explanation:
- Analysis of Statement I: "A unit formed by the attachment of a base to 1' position of sugar is known as nucleoside".
This is the correct definition of a nucleoside. A nucleoside consists of a nitrogenous base (like Adenine, Guanine, Cytosine, Thymine, or Uracil) linked to a pentose sugar (ribose or deoxyribose) via a \(\beta\)-glycosidic bond at the 1'-carbon of the sugar. So, Statement I is true.
- Analysis of Statement II: "When nucleoside is linked to phosphorous acid at 5'-position of sugar moiety, we get nucleotide."
A nucleotide is formed when a phosphate group is attached to the 5'-hydroxyl group of the sugar in a nucleoside. The phosphate group is derived from phosphoric acid (H\(_3\)PO\(_4\)), not phosphorous acid (H\(_3\)PO\(_3\)). The linkage is a phosphoester bond. Therefore, this statement is factually incorrect because it names the wrong acid. So, Statement II is false.
Step 3: Final Answer:
Statement I is true, and Statement II is false.
Quick Tip: Remember the hierarchy: Base + Sugar = Nucleo\textbf{s}ide. Nucleo\textbf{s}ide + \textbf{P}hosphate = Nucleo\textbf{t}ide. The 't' in nucleotide can help you remember it contains the phospha\textbf{t}e group. Also, be mindful of the difference between phosphoric acid (H\(_3\)PO\(_4\)) and phosphorous acid (H\(_3\)PO\(_3\)).
A compound is formed by two elements A and B. The element B forms cubic close packed structure and atoms of A occupy 1/3 of tetrahedral voids. If the formula of the compound is A\(_x\)B\(_y\), then the value of x + y is in option
View Solution
Step 1: Understanding the Question:
This problem requires us to determine the empirical formula of a compound based on the crystal lattice structure formed by its constituent elements and then find the sum of the subscripts in that formula.
Step 2: Key Formula or Approach:
1. Determine the number of atoms of element B per unit cell. A cubic close-packed (ccp) structure is equivalent to a face-centered cubic (fcc) lattice.
2. Determine the number of tetrahedral voids in the unit cell. In a ccp/fcc lattice, the number of tetrahedral voids is twice the number of atoms in the lattice.
3. Determine the number of atoms of element A per unit cell based on the fraction of tetrahedral voids occupied.
4. Find the simplest whole-number ratio of atoms A to B to get the formula A\(_x\)B\(_y\).
5. Calculate x + y.
Step 3: Detailed Explanation:
- Number of B atoms: Element B forms a ccp structure. The number of atoms per unit cell (\(Z_B\)) in a ccp/fcc lattice is 4.
\[ Z_B = 4 \]
- Number of tetrahedral voids: The number of tetrahedral voids is 2 times the number of atoms in the lattice.
\[ Number of tetrahedral voids = 2 \times Z_B = 2 \times 4 = 8 \]
- Number of A atoms: Atoms of A occupy 1/3 of these tetrahedral voids.
\[ Z_A = \frac{1}{3} \times (Number of tetrahedral voids) = \frac{1}{3} \times 8 = \frac{8}{3} \]
- Formula of the compound: The ratio of atoms A to B is \(Z_A : Z_B\).
\[ A : B = \frac{8}{3} : 4 \]
To get the simplest whole-number ratio, we can multiply both sides by 3:
\[ A : B = 8 : 12 \]
Now, divide by the greatest common divisor, which is 4:
\[ A : B = 2 : 3 \]
So, the formula of the compound is A\(_2\)B\(_3\).
- Calculate x + y: From the formula A\(_x\)B\(_y\), we have \(x = 2\) and \(y = 3\).
\[ x + y = 2 + 3 = 5 \]
Step 4: Final Answer:
The value of x + y is 5.
Quick Tip: For ccp/fcc lattices, remember: - Number of atoms (\(Z\)) = 4 - Number of Octahedral Voids = \(Z\) = 4 - Number of Tetrahedral Voids = \(2Z\) = 8 These numbers are the starting point for most formula-determination problems in solid-state chemistry.
The stability of Cu\(^{2+}\) is more than Cu\(^+\) salts in aqueous solution due to -
View Solution
Step 1: Understanding the Question:
The question asks for the primary reason why the copper(II) ion (Cu\(^{2+}\)) is more stable in aqueous solution than the copper(I) ion (Cu\(^+\)), despite the fact that forming Cu\(^{2+}\) requires overcoming a very high second ionization enthalpy.
Step 2: Detailed Explanation:
Let's analyze the energy factors involved in the formation of aqueous ions from solid copper:
1. Enthalpy of atomization: Cu(s) \(\rightarrow\) Cu(g). This is an energy input, required for both Cu\(^+\) and Cu\(^{2+}\).
2. Ionization enthalpy:
- First IE: Cu(g) \(\rightarrow\) Cu\(^+\)(g) + e\(^-\). The electronic configuration of Cu is [Ar]3d\(^{10}\)4s\(^1\). Removing the 4s electron is relatively easy.
- Second IE: Cu\(^+\)(g) \(\rightarrow\) Cu\(^{2+}\)(g) + e\(^-\). The electronic configuration of Cu\(^+\) is [Ar]3d\(^{10}\). Removing an electron from the stable, completely filled d-orbital requires a very large amount of energy. This high second ionization enthalpy actually disfavors the formation of Cu\(^{2+}\). Therefore, option (A) is incorrect as the reason for stability.
3. Hydration enthalpy: Cu\(^{n+}\)(g) + aq \(\rightarrow\) Cu\(^{n+}\)(aq). This is the energy released when the gaseous ion is dissolved in water. The magnitude of hydration enthalpy depends on the charge density of the ion (charge/radius).
- The Cu\(^{2+}\) ion has a greater positive charge (+2 vs +1) and a smaller ionic radius than the Cu\(^+\) ion.
- This results in a much higher charge density for Cu\(^{2+}\), leading to a much larger (more exothermic or more negative) hydration enthalpy.
- The very large amount of energy released during the hydration of Cu\(^{2+}\) ions more than compensates for the high energy required for the second ionization.
- This large net release of energy makes the overall process of forming Cu\(^{2+}\)(aq) from Cu(s) more favorable than forming Cu\(^+\)(aq), leading to the higher stability of Cu\(^{2+}\) in aqueous solutions. In fact, Cu\(^+\)(aq) tends to disproportionate into Cu\(^{2+}\)(aq) and Cu(s).
Step 3: Final Answer:
The high stability of Cu\(^{2+}\)(aq) is primarily due to its very high negative hydration energy.
Quick Tip: When comparing the stability of ions in aqueous solution, always consider the balance between the energy required to form the gaseous ion (ionization enthalpy) and the energy released when the ion is hydrated (hydration enthalpy). For many transition metals, a high hydration enthalpy can stabilize a higher oxidation state.
Match List - I with List - II :
List - I
A. Coke
B. Diamond
C. Fullerene
D. Graphite
List - II
I. Carbon atoms are sp\(^3\) hybridised.
II. Used as a dry lubricant
III. Used as a reducing agent
IV. Cage like molecules
Choose the correct answer from the options given below :
View Solution
Step 1: Understanding the Question:
This is a matching question that requires knowledge of the properties and structures of different allotropes of carbon.
Step 2: Detailed Explanation:
- A. Coke: Coke is an amorphous, impure form of carbon produced by heating coal in the absence of air. It is a key material in metallurgy, where it acts as a fuel and a strong reducing agent to reduce metal oxides (like iron ore) to metals. So, A matches with III.
- B. Diamond: In diamond, each carbon atom is covalently bonded to four other carbon atoms arranged in a tetrahedron. This requires sp\(^3\) hybridization of the carbon atoms, leading to a rigid, three-dimensional crystal lattice. So, B matches with I.
- C. Fullerene: Fullerenes are a class of carbon allotropes where carbon atoms are arranged to form a hollow sphere, ellipsoid, or tube. The most famous is C\(_60\) (buckminsterfullerene), which has a structure resembling a soccer ball. These are often described as cage-like molecules. So, C matches with IV.
- D. Graphite: Graphite has a layered structure. Within each layer, carbon atoms are sp\(^2\) hybridized and bonded in a hexagonal lattice. The layers are held together by weak van der Waals forces, allowing them to slide easily over one another. This property makes graphite an excellent dry lubricant. So, D matches with II.
Step 3: Final Answer:
The correct matching is: A-III, B-I, C-IV, D-II. This corresponds to option (4).
Quick Tip: Associate the hybridization with the structure and properties: - \textbf{Diamond:} sp\(^3\), tetrahedral, hard. - \textbf{Graphite:} sp\(^2\), planar layers, soft, lubricant, conductor. - \textbf{Fullerene:} sp\(^2\) (with some strain), cage-like spheres. - \textbf{Coke/Charcoal:} Amorphous, reducing agents.
Given below are two statements: one is labelled as Assertion A and the other is labelled as Reason R:
Assertion A: Helium is used to dilute oxygen in diving apparatus.
Reason R: Helium has high solubility in O\(_2\).
In the light of the above statements, choose the correct answer from the options given below:
View Solution
Step 1: Understanding the Question:
We need to evaluate an Assertion and a Reason concerning the use of helium in deep-sea diving gas mixtures.
Step 2: Detailed Explanation:
- Analysis of Assertion A: "Helium is used to dilute oxygen in diving apparatus." This is a correct statement. For deep-sea diving, the air mixture (traditionally nitrogen and oxygen) is replaced with a mixture of helium and oxygen (Heliox). This is done to avoid the narcotic effects of nitrogen under high pressure (a condition known as nitrogen narcosis or "the bends"). So, Assertion A is true.
- Analysis of Reason R: "Helium has high solubility in O\(_2\)." This statement is chemically and physically misleading. Helium and Oxygen are both gases, and they are completely miscible with each other, so talking about "solubility" in this context is incorrect. The actual reason for using helium is its very low solubility in blood compared to nitrogen. According to Henry's Law, the solubility of a gas in a liquid is proportional to its partial pressure. Under high pressures experienced by divers, nitrogen dissolves in the blood in significant amounts. If the diver ascends too quickly, the pressure decreases, and the dissolved nitrogen comes out of solution as bubbles, causing a painful and dangerous condition called decompression sickness. Because helium is much less soluble in blood, this risk is greatly reduced. Therefore, the reason provided is incorrect. The key property is low solubility in blood, not high solubility in oxygen. So, Reason R is false.
Step 3: Final Answer:
Assertion A is a true statement, but Reason R is a false statement.
Quick Tip: The use of helium in diving tanks is a classic application related to Henry's Law and gas solubility. The key takeaway is that helium is used because of its very low solubility in blood, which prevents decompression sickness ("the bends").
Some tranquilizers are listed below. Which one from the following belongs to barbiturates?
View Solution
Step 1: Understanding the Question:
The question asks to identify which of the given drugs is a barbiturate, a class of tranquilizers derived from barbituric acid.
Step 2: Detailed Explanation:
- Tranquilizers are drugs that reduce stress, anxiety, and tension. They are classified into different chemical categories.
- Barbiturates are derivatives of barbituric acid and act as central nervous system depressants. Veronal (also known as barbital) is a classic example of a barbiturate.
- Chlordiazepoxide and Valium (Diazepam) are examples of a different class of tranquilizers called benzodiazepines, which are generally considered safer than barbiturates.
- Meprobamate is another type of tranquilizer, but it is not a barbiturate.
Step 3: Final Answer:
Based on the chemical classification of these drugs, Veronal is the only barbiturate listed.
Quick Tip: It's helpful to remember the major classes of tranquilizers and one or two examples from each. The main classes often discussed are barbiturates (e.g., Veronal, Luminal) and benzodiazepines (e.g., Valium, Chlordiazepoxide).
Which of the following statements are NOT correct?
A. Hydrogen is used to reduce heavy metal oxides to metals.
B. Heavy water is used to study reaction mechanism.
C. Hydrogen is used to make saturated fats from oils.
D. The H-H bond dissociation enthalpy is lowest as compared to a single bond between two atoms of any element.
E. Hydrogen reduces oxides of metals that are more active than iron.
Choose the most appropriate answer from the options given below :
View Solution
Step 1: Understanding the Question:
We need to evaluate five statements about hydrogen and its properties/uses and identify which of them are incorrect.
Step 2: Detailed Explanation:
- Statement A: Hydrogen is used to reduce heavy metal oxides to metals. This is correct. For example, hydrogen can reduce copper oxide to copper: \(CuO + H_2 \rightarrow Cu + H_2O\).
- Statement B: Heavy water (D\(_2\)O) is used to study reaction mechanism. This is correct. Due to the isotope effect, reactions involving D are slower than those involving H. This difference helps in elucidating reaction pathways. D\(_2\)O is used as a tracer.
- Statement C: Hydrogen is used to make saturated fats from oils. This is correct. The process is called hydrogenation, where unsaturated fats (oils) are reacted with hydrogen in the presence of a catalyst (like Ni) to produce saturated fats (like vanaspati ghee).
- Statement D: The H-H bond dissociation enthalpy is lowest as compared to a single bond between two atoms of any element. This is incorrect. The H-H bond has a very high bond dissociation enthalpy (435.88 kJ/mol), making it one of the strongest single bonds known.
- Statement E: Hydrogen reduces oxides of metals that are more active than iron. This is incorrect. Hydrogen can only reduce oxides of metals that are less reactive than it (and iron). Metals that are more active than iron (e.g., K, Na, Ca, Mg, Al) form very stable oxides that cannot be reduced by hydrogen.
Step 3: Final Answer:
The statements that are NOT correct are D and E.
Quick Tip: Remember the reactivity series. Hydrogen can reduce oxides of metals below it in the series (e.g., Cu, Pb, Sn), but not those above it (e.g., K, Na, Al, Zn, Fe). Also, the high H-H bond enthalpy is the reason high temperatures are often needed for reactions of dihydrogen.
For a certain reaction, the rate = k[A]\(^2\)[B], when the initial concentration of A is tripled keeping concentration of B constant, the initial rate would
View Solution
Step 1: Understanding the Question:
The question asks how the initial rate of a reaction changes when the concentration of one of the reactants is changed, given the rate law for the reaction.
Step 2: Key Formula or Approach:
The rate law is given as: Rate = \(k[A]^2[B]\). We need to compare the initial rate with the new rate after changing the concentration of A.
Step 3: Detailed Explanation:
Let the initial rate be \(R_1\). \[ R_1 = k[A]^2[B] \]
Now, the concentration of A is tripled, so the new concentration is \([A'] = 3[A]\).
The concentration of B is kept constant, so \([B'] = [B]\).
Let the new rate be \(R_2\). \[ R_2 = k[A']^2[B'] = k(3[A])^2[B] \] \[ R_2 = k(9[A]^2)[B] = 9 \times (k[A]^2[B]) \]
Comparing \(R_2\) with \(R_1\): \[ R_2 = 9 \times R_1 \]
This means the new rate is nine times the initial rate.
Step 4: Final Answer:
The initial rate would increase by a factor of nine.
Quick Tip: To quickly determine the effect of concentration changes, look at the order of the reaction with respect to that reactant. The rate changes by a factor of \((change in concentration)^{order}\). Here, the concentration of A is tripled and the order is 2, so the rate changes by a factor of \(3^2 = 9\).
Which one is an example of heterogenous catalysis?
View Solution
Step 1: Understanding the Question:
The question asks to identify an example of heterogeneous catalysis from the given options. Catalysis is heterogeneous if the catalyst is in a different physical phase from the reactants.
Step 2: Detailed Explanation:
- (A) Haber's process for ammonia synthesis:
\(N_2(g) + 3H_2(g) \xrightarrow{Fe(s)} 2NH_3(g)\)
The reactants (N\(_2\), H\(_2\)) are in the gaseous phase, while the catalyst (iron) is in the solid phase. Since the phases are different, this is an example of heterogeneous catalysis.
- (B) Contact process (Lead chamber process variation):
\(2SO_2(g) + O_2(g) \xrightarrow{NO(g)} 2SO_3(g)\)
The reactants (SO\(_2\), O\(_2\)) and the catalyst (NO) are all in the gaseous phase. This is homogeneous catalysis.
- (C) Hydrolysis of sugar:
\(C_{12}H_{22}O_{11}(aq) + H_2O(l) \xrightarrow{H^+(aq)} 2C_6H_{12}O_6(aq)\)
The reactant (sugar) and the catalyst (H\(^+\) ions) are both in the same aqueous phase. This is homogeneous catalysis.
- (D) Decomposition of ozone:
\(2O_3(g) \xrightarrow{NO(g)} 3O_2(g)\)
The reactant (ozone) and the catalyst (nitrogen monoxide) are both in the gaseous phase. This is homogeneous catalysis.
Step 3: Final Answer:
The only example of heterogeneous catalysis among the options is the synthesis of ammonia using a solid iron catalyst.
Quick Tip: To identify the type of catalysis, simply check the physical states (s, l, g, aq) of the reactants and the catalyst. If they are different, it's heterogeneous. If they are all the same, it's homogeneous.
Which one of the following statements is correct?
View Solution
Step 1: Understanding the Question:
We need to evaluate statements about the biological importance of magnesium and calcium and identify the correct one.
Step 2: Detailed Explanation:
- Statement (A): Mg plays roles in neuromuscular function and interneuronal transmission. This is correct. While Ca\(^{2+}\) has the primary role in triggering neurotransmitter release, Mg\(^{2+}\) is crucial as a cofactor for enzymes like Na\(^+\)/K\(^+\)-ATPase, which maintains the ionic gradients necessary for nerve impulses. It also acts as a natural calcium antagonist, modulating neuromuscular activity. Thus, it plays important regulatory roles.
- Statement (B): The daily requirement of Mg and Ca in the human body is estimated to be 0.2-0.3 g. This is incorrect. The daily requirement for Mg for an adult is indeed in this range (200-300 mg), but for Ca, the requirement is much higher, typically around 1000-1200 mg (1.0-1.2 g). The statement is therefore inaccurate for Calcium.
- Statement (C): All enzymes that utilise ATP in phosphate transfer require Ca as the cofactor. This is incorrect. The vast majority of enzymes that use ATP, such as kinases, require Magnesium (Mg\(^{2+}\)) as the cofactor. Mg\(^{2+}\) forms a complex with ATP (Mg-ATP), which is the actual substrate for these enzymes.
- Statement (D): The bone in human body is an inert and unchanging substance. This is incorrect. Bone is a dynamic, living tissue that is constantly being remodeled throughout life, with old bone being broken down (resorption) and new bone being formed.
Step 3: Final Answer:
Statement (A) is the only correct statement among the choices.
Quick Tip: Remember the key biological roles: Ca\(^{2+}\) is critical for bones, teeth, blood clotting, and as a second messenger in muscle contraction and nerve impulse transmission. Mg\(^{2+}\) is essential for chlorophyll and as a cofactor for virtually all enzymes using ATP.
Weight (g) of two moles of the organic compound, which is obtained by heating sodium ethanoate with sodium hydroxide in presence of calcium oxide is :
View Solution
Step 1: Understanding the Question:
The question asks for the mass of two moles of the product from a specific organic reaction. First, we must identify the reaction and its product.
Step 2: Key Formula or Approach:
1. Identify the reaction: Heating a sodium salt of a carboxylic acid with soda-lime (NaOH + CaO) is a decarboxylation reaction.
2. Determine the product of the reaction.
3. Calculate the molar mass of the product.
4. Calculate the mass of two moles of the product. Mass = moles \(\times\) Molar Mass.
Step 3: Detailed Explanation:
- The Reaction: The reaction is the decarboxylation of sodium ethanoate (CH\(_3\)COONa) using soda-lime. The carboxylate group (-COONa) is removed and replaced by a hydrogen atom, producing an alkane with one less carbon atom than the original salt.
\[ CH_3COONa + NaOH \xrightarrow{CaO, \Delta} CH_4 + Na_2CO_3 \]
- The Product: The organic compound formed is methane (CH\(_4\)).
- Molar Mass of Methane:
Molar Mass (CH\(_4\)) = Atomic Mass(C) + 4 \(\times\) Atomic Mass(H) = 12 g/mol + 4 \(\times\) 1 g/mol = 16 g/mol.
- Mass of Two Moles:
Mass = 2 moles \(\times\) 16 g/mol = 32 g.
Step 4: Final Answer:
The weight of two moles of the organic compound (methane) is 32 g.
Quick Tip: Soda-lime decarboxylation is a standard method for preparing alkanes. It always removes the -COOH group (as CO\(_2\)) from a carboxylic acid or its salt, effectively shortening the carbon chain by one. Remember R-COONa + NaOH \(\rightarrow\) R-H + Na\(_2\)CO\(_3\).
The element expected to form largest ion to achieve the nearest noble gas configuration is:
View Solution
Step 1: Understanding the Question:
We need to compare the sizes of the ions formed by Na, O, F, and N when they achieve a stable noble gas electron configuration. We are looking for the largest of these ions.
Step 2: Key Formula or Approach:
1. Determine the stable ion formed by each element.
2. Identify if the ions are isoelectronic (have the same number of electrons).
3. For isoelectronic species, the ionic radius decreases as the nuclear charge (number of protons) increases. The ion with the lowest nuclear charge will be the largest.
Step 3: Detailed Explanation:
- Sodium (Na): Atomic number Z=11. Electron config: [Ne]3s\(^1\). To get a noble gas configuration, it loses one electron to form Na\(^+\) ([Ne] configuration, 10 electrons). It has 11 protons.
- Oxygen (O): Atomic number Z=8. Electron config: [He]2s\(^2\)2p\(^4\). To get a noble gas configuration, it gains two electrons to form O\(^{2-}\) ([Ne] configuration, 10 electrons). It has 8 protons.
- Fluorine (F): Atomic number Z=9. Electron config: [He]2s\(^2\)2p\(^5\). To get a noble gas configuration, it gains one electron to form F\(^-\) ([Ne] configuration, 10 electrons). It has 9 protons.
- Nitrogen (N): Atomic number Z=7. Electron config: [He]2s\(^2\)2p\(^3\). To get a noble gas configuration, it gains three electrons to form N\(^{3-}\) ([Ne] configuration, 10 electrons). It has 7 protons.
All four ions (Na\(^+\), O\(^{2-}\), F\(^-\), N\(^{3-}\)) are isoelectronic; they all have 10 electrons. The effective nuclear charge experienced by these electrons determines the size. A higher number of protons will pull the 10 electrons more strongly, resulting in a smaller ion.
Comparing the number of protons:
- N: 7 protons
- O: 8 protons
- F: 9 protons
- Na: 11 protons
Since Nitrogen has the fewest protons (lowest nuclear charge), its nucleus pulls the 10 electrons least effectively, making the N\(^{3-}\) ion the largest among the four. The order of size is N\(^{3-}\) \(>\) O\(^{2-}\) \(>\) F\(^-\) \(>\) Na\(^+\).
Step 4: Final Answer:
Nitrogen (N) forms the largest ion (N\(^{3-}\)) to achieve the nearest noble gas configuration.
Quick Tip: For isoelectronic species (ions with the same number of electrons), size is inversely proportional to the nuclear charge. More protons = smaller ion. More negative charge = larger ion.
The correct order of energies of molecular orbitals of N\(_2\) molecule, is:
View Solution
Step 1: Understanding the Question:
This question asks for the correct increasing order of energy for the molecular orbitals (MOs) of the dinitrogen (N\(_2\)) molecule according to Molecular Orbital Theory.
Step 2: Key Concept - MO Theory and s-p Mixing:
For diatomic molecules of the second period, the relative energies of the MOs formed from 2p atomic orbitals depend on the extent of s-p mixing.
- For lighter elements (Li\(_2\), Be\(_2\), B\(_2\), C\(_2\), N\(_2\); i.e., up to 14 total electrons), the s-p mixing is significant. This causes the \(\sigma_{2p}\) orbital to be pushed to a higher energy level than the \(\pi_{2p}\) orbitals.
- For heavier elements (O\(_2\), F\(_2\), Ne\(_2\); i.e., more than 14 electrons), the s-p mixing is less significant, and the "normal" order is observed, where \(\sigma_{2p}\) is lower in energy than \(\pi_{2p}\).
Step 3: MO Energy Order for N\(_2\):
The N\(_2\) molecule has a total of 14 electrons. Therefore, it follows the energy order with s-p mixing. The correct increasing order of energy is:
\[ \sigma1s < \sigma^*1s < \sigma2s < \sigma^*2s < (\pi2p_x = \pi2p_y) < \sigma2p_z < (\pi^*2p_x = \pi^*2p_y) < \sigma^*2p_z \]
Comparing this correct sequence with the given options, we find that option (B) matches perfectly.
Option (C) shows the order for molecules like O\(_2\) and F\(_2\) where \(\sigma2p_z < (\pi2p_x = \pi2p_y)\).
Step 4: Final Answer:
The correct order of energies of molecular orbitals for the N\(_2\) molecule is given in option (B).
Quick Tip: A simple mnemonic to remember the MO ordering: - For N\(_2\) and lighter diatomic molecules (14 electrons or fewer): The \(\pi\) orbitals come before the \(\sigma\) orbital in the p-shell (\(\pi < \sigma\)). Think of Nitrogen having a 'p'riority for \(\pi\). - For O\(_2\) and heavier diatomic molecules (more than 14 electrons): The \(\sigma\) orbital comes before the \(\pi\) orbitals (\(\sigma < \pi\)).
Homoleptic complex from the following complexes is:
View Solution
Step 1: Understanding the Question:
The question asks to identify a homoleptic complex from a given list of coordination compounds.
Step 2: Detailed Explanation:
- A homoleptic complex is a coordination complex in which the central metal atom is bonded to only one type of ligand.
- A heteroleptic complex is a coordination complex in which the central metal atom is bonded to more than one type of ligand.
Let's analyze the ligands in each complex:
1. Triamminetriaquachromium (III) chloride: [Cr(NH\(_3\))\(_3\)(H\(_2\)O)\(_3\)]Cl\(_3\). The ligands attached to the chromium are ammine (NH\(_3\)) and aqua (H\(_2\)O). Since there are two different types of ligands, this is a heteroleptic complex.
2. Potassium trioxalatoaluminate (III): K\(_3\)[Al(C\(_2\)O\(_4\))\(_3\)]. The ligand attached to the aluminum is oxalato (C\(_2\)O\(_4\)\(^{2-}\)). Since there is only one type of ligand, this is a homoleptic complex.
3. Diamminechloridonitrito - N - platinum (II): [Pt(NH\(_3\))\(_2\)Cl(NO\(_2\))]. The ligands are ammine (NH\(_3\)), chlorido (Cl\(^-\)), and nitrito-N (NO\(_2\)\(^-\)). Since there are three different types of ligands, this is a heteroleptic complex.
4. Pentaamminecarbonatocobalt (III) chloride: [Co(NH\(_3\))\(_5\)(CO\(_3\))]Cl. The ligands are ammine (NH\(_3\)) and carbonato (CO\(_3\)\(^{2-}\)). Since there are two different types of ligands, this is a heteroleptic complex.
Step 3: Final Answer:
The only homoleptic complex in the list is Potassium trioxalatoaluminate (III).
Quick Tip: To identify a homoleptic complex, look at the name. If the name mentions only one type of ligand before the metal name (e.g., "trioxalato"), it is homoleptic. If it mentions multiple ligand names (e.g., "triammine" and "triaqua"), it is heteroleptic.
Intermolecular forces are forces of attraction and repulsion between interacting particles that will include :
A. dipole-dipole forces.
B. dipole-induced dipole forces.
C. hydrogen bonding.
D. covalent bonding.
E. dispersion forces.
Choose the most appropriate answer from the options given below :
View Solution
Step 1: Understanding the Question:
The question asks to identify which of the listed forces are classified as intermolecular forces.
Step 2: Detailed Explanation:
- Intermolecular forces are the forces that exist between molecules. They are generally weaker than intramolecular forces. The main types are collectively known as van der Waals forces and hydrogen bonds.
- Intramolecular forces are the forces that hold atoms together within a molecule (e.g., covalent and ionic bonds).
Let's evaluate the given options:
- A. dipole-dipole forces: These are attractive forces between the positive end of one polar molecule and the negative end of another polar molecule. This is an intermolecular force.
- B. dipole-induced dipole forces: These occur when a polar molecule induces a temporary dipole in a nonpolar molecule, leading to an attraction. This is an intermolecular force.
- C. hydrogen bonding: This is a special, strong type of dipole-dipole interaction that occurs between a hydrogen atom bonded to a highly electronegative atom (N, O, or F) and another nearby electronegative atom. It is considered an intermolecular force.
- D. covalent bonding: This is a strong force of attraction that involves the sharing of electron pairs between atoms to form a molecule. It is an intramolecular force, not an intermolecular one.
- E. dispersion forces (or London forces): These are weak intermolecular forces caused by temporary fluctuations in electron distribution within molecules, creating temporary dipoles. They exist between all atoms and molecules.
Step 3: Final Answer:
The forces A, B, C, and E are all types of intermolecular forces. D (covalent bonding) is an intramolecular force. Therefore, the correct set is A, B, C, and E.
Quick Tip: A simple way to distinguish is: Intramolecular forces make up molecules (like covalent bonds). Intermolecular forces exist between separate molecules and determine physical properties like boiling point and solubility.
The number of \(\sigma\) bonds, \(\pi\) bonds and lone pair of electrons in pyridine, respectively are:
View Solution
Step 1: Understanding the Question:
We need to determine the count of sigma bonds, pi bonds, and lone pairs in the molecule of pyridine.
Step 2: Detailed Explanation:
First, let's draw the structure of pyridine (C\(_5\)H\(_5\)N). It is a six-membered heterocyclic aromatic ring.
The structure consists of a hexagonal ring with alternating double bonds. One of the CH groups of benzene is replaced by a nitrogen atom.
Counting the bonds:
1. \(\sigma\) bonds:
- There are 5 C-H single bonds in the ring. (5 \(\sigma\) bonds)
- There are 4 C-C single bonds within the ring. (4 \(\sigma\) bonds)
- There are 2 C-N single bonds within the ring. (2 \(\sigma\) bonds)
- Total \(\sigma\) bonds = 5 (C-H) + 4 (C-C) + 2 (C-N) = 11 \(\sigma\) bonds.
*Alternative counting method:* For any single ring structure, the number of \(\sigma\) bonds is equal to the number of atoms. Pyridine has 5 C + 5 H + 1 N = 11 atoms. So, it has 11 \(\sigma\) bonds. This shortcut works for simple monocyclic compounds.
2. \(\pi\) bonds:
- Pyridine has an aromatic ring structure with 6 \(\pi\) electrons, similar to benzene. This is achieved through three alternating double bonds in the ring.
- Each double bond consists of one \(\sigma\) bond and one \(\pi\) bond.
- So, there are 3 \(\pi\) bonds.
3. Lone pair of electrons:
- The carbon atoms use all four of their valence electrons in bonding (3 \(\sigma\) bonds, 1 \(\pi\) bond).
- The nitrogen atom has 5 valence electrons. It forms two \(\sigma\) bonds within the ring and participates in one \(\pi\) bond. This uses 3 electrons.
- The remaining two valence electrons on the nitrogen atom exist as a lone pair. This lone pair resides in an sp\(^2\) hybrid orbital in the plane of the ring and is not part of the aromatic \(\pi\) system.
- So, there is 1 lone pair.
Step 3: Final Answer:
The counts are 11 \(\sigma\) bonds, 3 \(\pi\) bonds, and 1 lone pair.
Quick Tip: To count bonds in a cyclic structure, it's often easiest to count the \(\sigma\) bonds to peripheral atoms (like H) first, and then count the \(\sigma\) bonds within the ring itself. Every double bond adds one \(\pi\) bond, and every triple bond adds two \(\pi\) bonds to the total. Don't forget to check for lone pairs on heteroatoms like N, O, S by comparing their valence electrons to the number of bonds they form.
Select the correct statements from the following:
A. Atoms of all elements are composed of two fundamental particles.
B. The mass of the electron is 9.10939 \(\times\) 10\(^{-31}\) kg.
C. All the isotopes of a given element show same chemical properties.
D. Protons and electrons are collectively known as nucleons.
E. Dalton's atomic theory, regarded the atom as an ultimate particle of matter.
Choose the correct answer from the options given below :
View Solution
Step 1: Understanding the Question:
We need to evaluate five statements related to atomic structure and theory and identify the set of correct statements.
Step 2: Detailed Explanation:
- Statement A: Atoms of all elements are composed of two fundamental particles. This is incorrect. Atoms are composed of three fundamental particles: protons, neutrons, and electrons. (The protium isotope of hydrogen is an exception, having no neutrons, but the statement says "all elements").
- Statement B: The mass of the electron is 9.10939 \(\times\) 10\(^{-31}\) kg. This is a correct and well-established physical constant.
- Statement C: All the isotopes of a given element show same chemical properties. This is correct. Isotopes of an element have the same number of protons and electrons, and chemical properties are primarily determined by the electron configuration. They differ only in the number of neutrons, which mainly affects their mass and nuclear stability.
- Statement D: Protons and electrons are collectively known as nucleons. This is incorrect. Nucleons are the particles found in the nucleus, which are protons and neutrons. Electrons orbit the nucleus.
- Statement E: Dalton's atomic theory, regarded the atom as an ultimate particle of matter. This is correct. A central postulate of Dalton's original atomic theory was that atoms are indivisible and indestructible particles. We now know this is not true, but it was a key part of his theory.
Step 3: Final Answer:
The correct statements are B, C, and E.
Quick Tip: Be precise with definitions: - Fundamental Particles: Protons, Neutrons, Electrons. - Isotopes: Same number of protons (same element), different number of neutrons. - Nucleons: Protons and Neutrons. - Dalton's Theory: Key ideas were that atoms are indivisible and that atoms of the same element are identical.
Identify product (A) in the following reaction:
View Solution
Step 1: Understanding the Question:
We need to identify the product of the given reaction, which involves a diketone reacting with specific reagents.
Step 2: Key Formula or Approach:
The reagent used is Zn-Hg / conc. HCl (amalgamated zinc in concentrated hydrochloric acid). This is the reagent for the Clemmensen reduction.
The Clemmensen reduction specifically reduces the carbonyl group (\(>C=O\)) of aldehydes and ketones to a methylene group (\(>CH_2\)). It does not affect other functional groups like alkenes, alkynes, or esters, but it is performed under strongly acidic conditions.
Step 3: Detailed Explanation:
The starting material has two carbonyl groups (ketones):
- One is part of the cyclohexanone ring.
- The other is an acyl group attached to the benzene ring.
The Clemmensen reduction will reduce both of these ketone groups to methylene (-CH\(_2\)-) groups.
- The carbonyl group on the cyclohexanone ring (\(>C=O\)) will be converted to a methylene group (\(>CH_2\)-).
- The carbonyl group of the acyl chain (\(-C(=O)-CH_3\)) will be converted to an ethyl group (\(-CH_2-CH_3\)).
Looking at the options:
- Option (1) shows reduction of the ring ketone and the acyl side chain, but incorrectly adds a methyl group to the benzene ring.
- Option (2) correctly shows the reduction of both ketone groups to methylene groups, resulting in a cyclohexyl ring attached to an ethylbenzene moiety. This is the correct product.
- Option (3) shows the reduction of the carbonyls to alcohol groups (-OH), which is what would happen with a reducing agent like NaBH\(_4\) or LiAlH\(_4\), not a Clemmensen reduction.
- Option (4) shows reduction to alcohols and a strange rearrangement. This is incorrect.
Step 4: Final Answer:
The reaction is a Clemmensen reduction which reduces both ketone groups to CH\(_2\) groups, yielding the product shown in option (2).
Quick Tip: Remember the key reactions for reducing carbonyls: - Clemmensen Reduction (Zn-Hg, HCl): Ketone \(\rightarrow\) Alkane (acidic conditions). - Wolff-Kishner Reduction (NH\(_2\)NH\(_2\), KOH): Ketone \(\rightarrow\) Alkane (basic conditions). - NaBH\(_4\) or LiAlH\(_4\): Ketone \(\rightarrow\) Alcohol (reduction to alcohol, not alkane).
Given below are two statements: one is labelled as Assertion A and the other is labelled as Reason R:
Assertion A: In equation \(\Delta_r G = -nFE_{cell}\), value of \(\Delta_r G\) depends on n.
Reason R: \(E_{cell}\) is an intensive property and \(\Delta_r G\) is an extensive property.
In the light of the above statements, choose the correct answer from the options given below:
View Solution
Step 1: Understanding the Question:
We need to evaluate an Assertion and a Reason related to the thermodynamics of electrochemical cells, specifically the relationship between Gibbs free energy (\(\Delta_r G\)) and cell potential (\(E_{cell}\)), and their properties as intensive or extensive.
Step 2: Detailed Explanation:
- Analysis of Assertion A: "In equation \(\Delta_r G = -nFE_{cell}\), value of \(\Delta_r G\) depends on n."
This is a true statement. The equation directly shows that \(\Delta_r G\) is proportional to \(n\), which represents the number of moles of electrons transferred in the balanced cell reaction. If we double the stoichiometric coefficients of the cell reaction, the value of \(n\) doubles, and consequently, the value of \(\Delta_r G\) also doubles.
- Analysis of Reason R: "\(E_{cell}\) is an intensive property and \(\Delta_r G\) is an extensive property."
- An intensive property is a property of matter that does not depend on the amount of the substance present (e.g., temperature, density, potential). The cell potential (\(E_{cell}\)) is an intensive property. It depends on the nature of the reactants and their concentrations, but not on the size of the electrodes or the total amount of reactants. If you double the size of the cell, the potential remains the same.
- An extensive property is a property that does depend on the amount of substance (e.g., mass, volume, energy). The Gibbs free energy change (\(\Delta_r G\)) represents the total work done by the system, which is directly proportional to the amount of substance that reacts. Therefore, \(\Delta_r G\) is an extensive property.
- So, Reason R is a true statement.
- Relationship between A and R: Does R explain A?
Yes, it does. The equation is \(\Delta_r G = -nFE_{cell}\).
\(\Delta_r G\) (extensive) = - (\(n\), an extensive factor) \(\times\) (F, a constant) \(\times\) (\(E_{cell}\), intensive).
The reason \(\Delta_r G\) is extensive is because it is the product of an intensive property (\(E_{cell}\)) and an extensive factor (\(n\), moles of electrons). The dependence of \(\Delta_r G\) on \(n\) (as stated in A) is a direct consequence of \(\Delta_r G\) being an extensive property while \(E_{cell}\) is an intensive property. Thus, R is the correct explanation of A.
Step 3: Final Answer:
Both Assertion A and Reason R are true, and R is the correct explanation of A.
Quick Tip: Remember the definitions: - Intensive: Independent of amount (e.g., Potential, Temperature, Pressure, Concentration). - Extensive: Dependent on amount (e.g., Mass, Volume, Moles, Gibbs Energy, Enthalpy). The Gibbs energy \(\Delta G\) for a reaction is extensive because it depends on the number of moles (\(n\)) reacting, while the cell potential \(E_{cell}\) is intensive.
Which amongst the following options is correct graphical representation of Boyle's Law?
View Solution
Step 1: Understanding the Question:
The question asks to identify the correct graph representing Boyle's Law, which describes the relationship between the pressure and volume of a gas at constant temperature.
Step 2: Key Formula or Approach:
Boyle's Law states that for a fixed mass of gas at constant temperature (\(T\)), the pressure (\(P\)) is inversely proportional to the volume (\(V\)). \[ P \propto \frac{1}{V} \]
This can be written as an equation: \[ PV = k \]
where \(k\) is a constant. The value of \(k\) depends on the temperature and the amount of gas. According to the ideal gas law (\(PV=nRT\)), the constant \(k = nRT\). Therefore, at higher temperatures, the value of \(k\) is larger.
Step 3: Detailed Explanation:
Let's analyze the graphs:
- Graph (1): P vs T. This graph shows a direct proportionality between P and T, which represents Gay-Lussac's Law (\(P \propto T\) at constant V), not Boyle's Law.
- Graph (2): P vs V. The equation \(PV = k\) or \(P = k/V\) describes a rectangular hyperbola. This graph correctly shows hyperbolic curves for P vs V at different constant temperatures (isotherms). For a given volume V, a higher temperature T results in a higher pressure P (\(P = (nRT)/V\)). Thus, the curve for T\(_3\) should be above T\(_2\), which should be above T\(_1\), if T\(_3\) > T\(_2\) > T\(_1\). The graph shows this correctly. This is a valid representation of Boyle's Law.
- Graph (3): P vs 1/V. The equation \(P = k \times (\frac{1}{V})\) is of the form \(y = mx\), where \(y=P\), \(x=1/V\), and the slope \(m=k=nRT\). This predicts a straight line passing through the origin. The graph shows straight lines passing through the origin. The slope of the line is proportional to the temperature (\(m \propto T\)). Therefore, the line with the steepest slope corresponds to the highest temperature. The graph correctly shows the slope for T\(_3\) \(>\) slope for T\(_2\) \(>\) slope for T\(_1\), which matches the condition T\(_3\) \(>\) T\(_2\) \(>\) T\(_1\). This is also a valid and common representation of Boyle's Law.
- Graph (4): P vs 1/V. This graph shows hyperbolic curves, which is incorrect. The relationship between P and 1/V should be linear.
Step 4: Final Answer:
Graph (3) correctly represents Boyle's Law. It shows that Pressure (P) is directly proportional to the reciprocal of Volume (1/V), resulting in straight lines through the origin, with the slope of the lines increasing with temperature.
Quick Tip: Remember the graphical forms of the gas laws: - Boyle's Law (P vs V): Hyperbola, \(PV = k\). - Boyle's Law (P vs 1/V): Straight line through origin, \(P = k(1/V)\). - Charles's Law (V vs T): Straight line (intercepting T-axis at -273.15\(^\circ\)C or 0 K), \(V = kT\). - Gay-Lussac's Law (P vs T): Straight line (intercepting T-axis at -273.15\(^\circ\)C or 0 K), \(P = kT\).
The relation between n\(_m\), (n\(_m\) = the number of permissible values of magnetic quantum number (m)) for a given value of azimuthal quantum number (l), is
View Solution
Step 1: Understanding the Question:
The question asks for the mathematical relationship between the number of possible values for the magnetic quantum number, \(n_m\), and the value of the azimuthal quantum number, \(l\).
Step 2: Key Formula or Approach:
According to the rules of quantum numbers:
- For a given value of the azimuthal quantum number, \(l\), the magnetic quantum number, \(m_l\), can take any integer value from \(-l\) to \(+l\), including 0.
- The total number of these values is \(n_m\).
Step 3: Detailed Explanation:
The possible values of \(m_l\) are: \(-l, -(l-1), \dots, 0, \dots, (l-1), l\).
Let's count the number of these values, \(n_m\).
- There are \(l\) negative values.
- There is one zero value.
- There are \(l\) positive values.
So, the total number of values is \(n_m = l + 1 + l = 2l + 1\).
Now we need to check which of the given options is equivalent to this relationship, \(n_m = 2l + 1\). Let's rearrange our derived formula to solve for \(l\): \[ n_m = 2l + 1 \] \[ n_m - 1 = 2l \] \[ l = \frac{n_m - 1}{2} \]
This matches the expression given in option (2).
Let's check the other options:
- (1) \(n_m = l+2\). Incorrect.
- (3) \(l = 2n_m + 1\). Incorrect, this confuses the variables.
- (4) \(n_m = 2l^2 + 1\). Incorrect, this formula is not related to the number of orbitals.
Step 4: Final Answer:
The correct relation is \(n_m = 2l + 1\), which can be rearranged to \(l = \frac{n_m - 1}{2}\).
Quick Tip: Remember the number of orbitals in each subshell: - s-subshell (\(l=0\)): 1 orbital (\(n_m=1\)) - p-subshell (\(l=1\)): 3 orbitals (\(n_m=3\)) - d-subshell (\(l=2\)): 5 orbitals (\(n_m=5\)) - f-subshell (\(l=3\)): 7 orbitals (\(n_m=7\)) You can see that in all cases, the number of orbitals \(n_m\) is equal to \(2l+1\).
The conductivity of centimolar solution of KCl at 25\(^\circ\)C is 0.0210 ohm\(^{-1}\) cm\(^{-1}\) and the resistance of the cell containing the solution at 25\(^\circ\)C is 60 ohm. The value of cell constant is -
View Solution
Step 1: Understanding the Question:
We are given the conductivity and resistance of an electrolyte solution in a conductivity cell and asked to calculate the cell constant.
Step 2: Key Formula or Approach:
The relationship between conductivity (\(\kappa\)), resistance (\(R\)), and the cell constant (\(G^*\)) is: \[ \kappa = \frac{1}{R} \times G^* \]
The cell constant is defined as the ratio of the distance between the electrodes (\(l\)) to their area of cross-section (\(A\)), \(G^* = l/A\).
We can rearrange the formula to solve for the cell constant: \[ G^* = \kappa \times R \]
Step 3: Detailed Explanation:
Given data:
- Conductivity, \(\kappa = 0.0210 \, \Omega^{-1} cm^{-1}\)
- Resistance, \(R = 60 \, \Omega\)
Substitute these values into the rearranged formula: \[ G^* = (0.0210 \, \Omega^{-1} cm^{-1}) \times (60 \, \Omega) \] \[ G^* = 0.0210 \times 60 \, cm^{-1} \] \[ G^* = 1.26 \, cm^{-1} \]
Step 4: Final Answer:
The value of the cell constant is 1.26 cm\(^{-1}\).
Quick Tip: Remember the fundamental relationships in electrochemistry: - Conductance \(G = 1/R\) - Conductivity (specific conductance) \(\kappa = G \times (l/A) = G \times G^*\) - Therefore, \(\kappa = \frac{1}{R} \times G^*\). The cell constant \(G^*\) depends only on the geometry of the cell and is usually determined by measuring the resistance of a solution with a known conductivity.
Consider the following reaction and identify the product (P).
3-Methylbutan-2-ol \(\xrightarrow{HBr}\) Product (P)
View Solution
Step 1: Understanding the Question:
The question asks for the major product of the reaction of an alcohol (3-methylbutan-2-ol) with HBr. This is a nucleophilic substitution reaction.
Step 2: Key Formula or Approach:
The reaction of a secondary alcohol with HBr proceeds via an S\(_N\)1 mechanism. This mechanism involves the formation of a carbocation intermediate. Carbocations are susceptible to rearrangement to form a more stable carbocation if possible. The stability order of carbocations is: tertiary > secondary > primary.
Step 3: Detailed Explanation:
- Step a: Protonation of the alcohol
The oxygen atom of the hydroxyl group gets protonated by the H\(^+\) from HBr, forming a good leaving group (water).
\[ CH_3-CH(OH)-CH(CH_3)_2 + H^+ \rightarrow CH_3-CH(OH_2^+)-CH(CH_3)_2 \]
- Step b: Formation of the initial carbocation
The protonated alcohol loses a water molecule to form a secondary carbocation.
\[ CH_3-CH(OH_2^+)-CH(CH_3)_2 \rightarrow CH_3-CH^+-CH(CH_3)_2 + H_2O \]
This is a secondary (2\(^\circ\)) carbocation.
- Step c: Carbocation rearrangement
The adjacent carbon atom is tertiary. A hydride shift (1,2-hydride shift) can occur, where a hydrogen atom with its pair of electrons moves from the adjacent tertiary carbon to the secondary carbocation center. This results in a more stable tertiary carbocation.
\[ CH_3-CH^+-CH(CH_3)_2 \xrightarrow{1,2-H^- shift} CH_3-CH_2-C^+(CH_3)_2 \]
This is a tertiary (3\(^\circ\)) carbocation, which is much more stable than the secondary one.
- Step d: Nucleophilic attack
The bromide ion (Br\(^-\)) from HBr acts as a nucleophile and attacks the more stable tertiary carbocation to form the final product.
\[ CH_3-CH_2-C^+(CH_3)_2 + Br^- \rightarrow CH_3-CH_2-C(Br)(CH_3)_2 \]
The product is 2-bromo-2-methylbutane. This corresponds to the structure in option (2).
Step 4: Final Answer:
The major product of the reaction is 2-bromo-2-methylbutane, formed via a carbocation rearrangement.
Quick Tip: Whenever a reaction involves a carbocation intermediate (like S\(_N\)1, E1, or acid-catalyzed additions to alkenes), always check for the possibility of rearrangement (hydride or alkyl shift) to form a more stable carbocation. This is a very common theme in organic chemistry problems.
Which amongst the following molecules on polymerization produces neoprene?
View Solution
Step 1: Understanding the Question:
The question asks to identify the monomer unit that polymerizes to form neoprene.
Step 2: Detailed Explanation:
- Neoprene is a synthetic rubber, known for its chemical resistance and durability. It is a polymer of chloroprene.
- The chemical name for chloroprene is 2-chloro-1,3-butadiene. Its structure is:
\[ H_2C=C(Cl)-CH=CH_2 \]
- The polymerization reaction is an addition polymerization:
\[ n(H_2C=C(Cl)-CH=CH_2) \xrightarrow{Polymerization} -[CH_2-C(Cl)=CH-CH_2]_n- \]
The resulting polymer is neoprene or polychloroprene.
Let's look at the other options:
- (1) Isoprene (2-methyl-1,3-butadiene) is the monomer for natural rubber.
- (2) 1,3-Butadiene is a monomer for several synthetic rubbers, often copolymerized with other monomers (e.g., with styrene to make SBR, or with acrylonitrile to make Buna-N).
- (4) The structure shown is vinylacetylene, not acrylonitrile. Acrylonitrile (H\(_2\)C=CH-CN) is used to make Buna-N rubber and polyacrylonitrile (Orlon).
Step 3: Final Answer:
Neoprene is the polymer of chloroprene (2-chloro-1,3-butadiene), which corresponds to the molecule in option (3).
Quick Tip: It is essential to memorize the monomers for common addition polymers: - Polyethene \(\leftarrow\) Ethene - PVC \(\leftarrow\) Vinyl chloride - Teflon \(\leftarrow\) Tetrafluoroethene - Natural Rubber \(\leftarrow\) Isoprene - Neoprene \(\leftarrow\) Chloroprene - Buna-S (SBR) \(\leftarrow\) Butadiene + Styrene - Buna-N \(\leftarrow\) Butadiene + Acrylonitrile
Amongst the following, the total number of species NOT having eight electrons around central atom in its outer most shell, is
NH\(_3\), AlCl\(_3\), BeCl\(_2\), CCl\(_4\), PCl\(_5\):
View Solution
Step 1: Understanding the Question:
The question asks us to identify the species from a given list that do not obey the octet rule, meaning their central atom does not have exactly eight valence electrons.
Step 2: Detailed Explanation:
Let's analyze the Lewis structure and electron count for the central atom in each species:
- NH\(_3\): Nitrogen is the central atom. It forms 3 single bonds with H and has 1 lone pair. Total electrons around N = 3(2) + 2 = 8 electrons. It obeys the octet rule.
- AlCl\(_3\): Aluminum is the central atom. It forms 3 single bonds with Cl. Al is in Group 13 and has 3 valence electrons. Total electrons around Al = 3(2) = 6 electrons. This is an electron-deficient molecule and does NOT obey the octet rule (incomplete octet).
- BeCl\(_2\): Beryllium is the central atom. It forms 2 single bonds with Cl. Be is in Group 2 and has 2 valence electrons. Total electrons around Be = 2(2) = 4 electrons. This is an electron-deficient molecule and does NOT obey the octet rule (incomplete octet).
- CCl\(_4\): Carbon is the central atom. It forms 4 single bonds with Cl. Total electrons around C = 4(2) = 8 electrons. It obeys the octet rule.
- PCl\(_5\): Phosphorus is the central atom. It forms 5 single bonds with Cl. Total electrons around P = 5(2) = 10 electrons. This is a hypervalent molecule and does NOT obey the octet rule (expanded octet).
Step 3: Final Answer:
The species that do not have eight electrons around the central atom are AlCl\(_3\) (6 e\(^-\)), BeCl\(_2\) (4 e\(^-\)), and PCl\(_5\) (10 e\(^-\)).
The total number of such species is 3.
Quick Tip: The octet rule has common exceptions: 1. Incomplete Octet: Elements in Groups 1, 2, and 13 (like H, Li, Be, B, Al) often form stable compounds with fewer than 8 valence electrons. 2. Expanded Octet: Elements in the 3rd period and below (like P, S, Cl, I, Xe) can accommodate more than 8 valence electrons by using their empty d-orbitals. 3. Odd-Electron Molecules: Species with an odd total number of valence electrons (like NO, ClO\(_2\)) cannot satisfy the octet rule for all atoms.
Amongst the given options which of the following molecules/ion acts as a Lewis acid?
View Solution
Step 1: Understanding the Question:
The question asks to identify the Lewis acid from a given list of molecules and ions.
Step 2: Key Formula or Approach:
- A Lewis acid is an electron pair acceptor. Typically, these are species with an incomplete octet of electrons or vacant orbitals.
- A Lewis base is an electron pair donor. Typically, these are species with lone pairs of electrons.
Step 3: Detailed Explanation:
Let's analyze each option:
- (A) OH\(^-\): The hydroxide ion has a negative charge and lone pairs on the oxygen atom. It can readily donate an electron pair. Thus, it is a Lewis base.
- (B) NH\(_3\): The ammonia molecule has a lone pair of electrons on the nitrogen atom, which it can donate. Thus, it is a Lewis base.
- (C) H\(_2\)O: The water molecule has two lone pairs of electrons on the oxygen atom, which it can donate. Thus, it is a Lewis base.
- (D) BF\(_3\): In boron trifluoride, the central boron atom is bonded to three fluorine atoms. Boron is in Group 13 and has 3 valence electrons, so it forms 3 single bonds. The total number of electrons around the boron atom is 3 \(\times\) 2 = 6. It has an incomplete octet and a vacant p-orbital, making it capable of accepting a pair of electrons. Thus, it is a Lewis acid.
Step 4: Final Answer:
BF\(_3\) is the Lewis acid among the given options.
Quick Tip: To quickly identify Lewis acids, look for: 1. Molecules with an incomplete octet (e.g., BF\(_3\), AlCl\(_3\), BeCl\(_2\)). 2. Cations (e.g., H\(^+\), Ag\(^+\), Cu\(^{2+}\)). 3. Molecules with central atoms that can expand their octet and have vacant d-orbitals (e.g., SiF\(_4\), SnCl\(_4\)). To identify Lewis bases, look for anions or molecules with lone pairs (e.g., OH\(^-\), CN\(^-\), H\(_2\)O, NH\(_3\)).
Given below are two statements: one is labelled as Assertion A and the other is labelled as Reason R:
Assertion A: Metallic sodium dissolves in liquid ammonia giving a deep blue solution, which is paramagnetic.
Reason R: The deep blue solution is due to the formation of amide.
In the light of the above statements, choose the correct answer from the options given below :
View Solution
Step 1: Understanding the Question:
We need to evaluate an Assertion and a Reason regarding the properties of solutions of alkali metals in liquid ammonia.
Step 2: Detailed Explanation:
- Analysis of Assertion A: "Metallic sodium dissolves in liquid ammonia giving a deep blue solution, which is paramagnetic."
This is a true statement. When alkali metals like sodium are dissolved in liquid ammonia, they ionize to form the metal cation and a free electron. The electron becomes solvated by ammonia molecules.
\[ Na(s) + (x+y)NH_3(l) \rightarrow [Na(NH_3)_x]^+ + [e(NH_3)_y]^- \]
The presence of these ammoniated electrons is responsible for the characteristic deep blue color of the solution (they absorb light in the visible region). Since these are unpaired electrons, the solution is paramagnetic.
- Analysis of Reason R: "The deep blue solution is due to the formation of amide."
This is a false statement. The blue color is due to the ammoniated electrons, as explained above. Sodium amide (NaNH\(_2\)) is formed only very slowly in pure liquid ammonia, or more quickly in the presence of a catalyst (like Fe\(^{3+}\) salts). When amide is formed, the solution loses its blue color.
\[ 2Na + 2NH_3 \xrightarrow{catalyst} 2NaNH_2 + H_2 \]
The formation of amide is a decomposition reaction of the blue solution, not the cause of its color.
Step 3: Final Answer:
Assertion A is true, but Reason R is false.
Quick Tip: The properties of alkali metal-liquid ammonia solutions are very characteristic: - Dilute solution: Deep blue color, paramagnetic, highly conducting. The properties are due to ammoniated electrons. - Concentrated solution: Bronze color, diamagnetic (electrons pair up). - On standing: The blue solution slowly fades as sodium amide is formed.
Which of the following reactions will NOT give primary amine as the product?
View Solution
Step 1: Understanding the Question:
The question asks to identify which of the given reduction reactions does not produce a primary amine.
Step 2: Key Formula or Approach:
- A primary amine has the general formula R-NH\(_2\).
- A secondary amine has the general formula R-NH-R'.
- A tertiary amine has the general formula R-N(R')-R''.
We need to analyze the product of each reaction. LiAlH\(_4\) is a strong reducing agent. Br\(_2\)/KOH is the reagent for Hofmann bromamide degradation.
Step 3: Detailed Explanation:
- (A) Reduction of an amide: LiAlH\(_4\) reduces the carbonyl group (\(>C=O\)) of an amide to a methylene group (\(>CH_2\)).
\[ CH_3CONH_2 \xrightarrow{LiAlH_4/H_3O^+} CH_3CH_2NH_2 \]
The product is ethylamine, which is a primary amine.
- (B) Hofmann bromamide degradation: This reaction converts a primary amide into a primary amine with one less carbon atom.
\[ CH_3CONH_2 \xrightarrow{Br_2/KOH} CH_3NH_2 + K_2CO_3 + 2KBr + 2H_2O \]
The product is methylamine, which is a primary amine.
- (C) Reduction of a cyanide (nitrile): LiAlH\(_4\) reduces the triple bond of a cyanide to give a primary amine.
\[ CH_3C\equivN \xrightarrow{LiAlH_4/H_3O^+} CH_3CH_2NH_2 \]
The product is ethylamine, which is a primary amine.
- (D) Reduction of an isocyanide (isonitrile): LiAlH\(_4\) reduces an isocyanide to a secondary amine. The nitrogen atom is already bonded to the alkyl group, and the carbon atom is reduced.
\[ CH_3N\equivC \xrightarrow{LiAlH_4/H_3O^+} CH_3NHCH_3 \]
The product is dimethylamine, which is a secondary amine.
Step 4: Final Answer:
The reduction of methyl isocyanide (CH\(_3\)NC) yields a secondary amine, not a primary amine.
Quick Tip: Remember the outcomes of reducing nitrogen-containing functional groups: - Amides (RCONH\(_2\)) \(\rightarrow\) Primary amines (RCH\(_2\)NH\(_2\)) - Nitriles/Cyanides (RCN) \(\rightarrow\) Primary amines (RCH\(_2\)NH\(_2\)) - Isonitriles/Isocyanides (RNC) \(\rightarrow\) Secondary amines (RNHCH\(_3\)) - Nitro compounds (RNO\(_2\)) \(\rightarrow\) Primary amines (RNH\(_2\))
Which of the following statements are INCORRECT?
A. All the transition metals except scandium form MO oxides which are ionic.
B. The highest oxidation number corresponding to the group number in transition metal oxides is attained in Sc\(_2\)O\(_3\) to Mn\(_2\)O\(_7\).
C. Basic character increases from V\(_2\)O\(_3\) to V\(_2\)O\(_4\) to V\(_2\)O\(_5\).
D. V\(_2\)O\(_4\) dissolves in acids to give VO\(_4\)\(^{3-}\) salts.
E. CrO is basic but Cr\(_2\)O\(_3\) is amphoteric.
Choose the correct answer from the options given below :
View Solution
Step 1: Understanding the Question:
We need to evaluate five statements about the properties of transition metal oxides and identify the incorrect ones.
Step 2: Detailed Explanation:
- Statement A: All the transition metals except scandium form MO oxides which are ionic. This statement is poorly worded and likely incorrect. Many transition metals form oxides with significant covalent character, especially in higher oxidation states. For example, Mn\(_2\)O\(_7\) and CrO\(_3\) are covalent. However, the question asks for incorrect statements from a specific set. Let's re-evaluate after analyzing others.
- Statement B: The highest oxidation number corresponding to the group number in transition metal oxides is attained in Sc\(_2\)O\(_3\) to Mn\(_2\)O\(_7\). This is correct. Scandium (Group 3) shows +3 in Sc\(_2\)O\(_3\). Titanium (Group 4) shows +4 in TiO\(_2\). Vanadium (Group 5) shows +5 in V\(_2\)O\(_5\). Chromium (Group 6) shows +6 in CrO\(_3\). Manganese (Group 7) shows +7 in Mn\(_2\)O\(_7\). The trend holds up to Manganese.
- Statement C: Basic character increases from V\(_2\)O\(_3\) to V\(_2\)O\(_4\) to V\(_2\)O\(_5\). This is incorrect. As the oxidation state of a metal increases, the covalent character of its oxide increases, and its acidic character increases. Therefore, the basic character decreases. V\(_2\)O\(_3\) is basic, V\(_2\)O\(_4\) is amphoteric, and V\(_2\)O\(_5\) is acidic. The statement claims the opposite.
- Statement D: V\(_2\)O\(_4\) dissolves in acids to give VO\(_4\)\(^{3-}\) salts. This is incorrect. V\(_2\)O\(_4\) is amphoteric. When it dissolves in acids, it forms the vanadyl ion, VO\(^{2+}\) (vanadium in +4 state). The orthovanadate ion, VO\(_4\)\(^{3-}\), has vanadium in the +5 oxidation state and is formed from V\(_2\)O\(_5\) in basic solutions.
- Statement E: CrO is basic but Cr\(_2\)O\(_3\) is amphoteric. This is correct. As with vanadium, the oxide in the lower oxidation state (CrO, +2) is basic, while the intermediate one (Cr\(_2\)O\(_3\), +3) is amphoteric. The highest oxide (CrO\(_3\), +6) is acidic.
Step 3: Final Answer:
The incorrect statements are C and D. Therefore, option (4) is the correct choice.
Quick Tip: A key trend for transition metal oxides: as the oxidation state of the metal increases, the acidic character of the oxide increases (and basic character decreases). Low oxidation states (\(+2, +3\)) tend to form basic or amphoteric oxides, while high oxidation states (\(+5, +6, +7\)) form acidic oxides.
Consider the following reaction :
anisole derivative \(\xrightarrow{HI, \Delta}\) A + B
Identify products A and B.
View Solution
Step 1: Understanding the Question:
The question asks for the products of the cleavage of an ether (benzyl phenyl ether) using hydroiodic acid (HI).
Step 2: Key Formula or Approach:
The cleavage of ethers by HX (where X = I, Br) is a nucleophilic substitution reaction. The mechanism depends on the structure of the alkyl/aryl groups attached to the ether oxygen.
1. The first step is always the protonation of the ether oxygen.
2. The second step is the nucleophilic attack by the halide ion (I\(^-\)) on one of the carbon atoms attached to the oxygen, displacing an alcohol or phenol.
3. The site of attack depends on the nature of the carbon. If one group can form a stable carbocation (like tertiary or benzylic), the reaction proceeds via an S\(_N\)1 mechanism. If the groups are primary or secondary, it proceeds via an S\(_N\)2 mechanism, with the halide attacking the less sterically hindered carbon. Aryl ethers do not cleave at the aryl-oxygen bond because the sp\(^2\) carbon is resistant to nucleophilic attack.
Step 3: Detailed Explanation:
The given ether is benzyl phenyl ether: \(C_6H_5-CH_2-O-C_6H_5\).
- Step a: Protonation
\[ C_6H_5-CH_2-O-C_6H_5 + HI \rightarrow C_6H_5-CH_2-O^+(H)-C_6H_5 + I^- \]
- Step b: Nucleophilic Attack
Now, the iodide ion (I\(^-\)) must attack one of the carbons.
- The \(C_6H_5-O\) bond is strong and the phenyl carbon is sp\(^2\) hybridized, making it very difficult to break via either S\(_N\)1 or S\(_N\)2. Cleavage here is not favored.
- The \(C_6H_5CH_2-O\) bond involves a benzylic carbon. The benzyl group can stabilize a positive charge very effectively, forming a stable benzylic carbocation (\(C_6H_5CH_2^+\)). Therefore, the reaction will proceed via an S\(_N\)1-like mechanism. The C-O bond cleaves to form the stable benzyl carbocation and phenol.
\[ C_6H_5-CH_2-O^+(H)-C_6H_5 \rightarrow C_6H_5CH_2^+ + HOC_6H_5 (Phenol) \]
The iodide ion then attacks the benzyl carbocation.
\[ C_6H_5CH_2^+ + I^- \rightarrow C_6H_5CH_2I (Benzyl Iodide) \]
Alternatively, even if we consider an S\(_N\)2 pathway, the benzylic carbon is more susceptible to nucleophilic attack than the sp\(^2\) phenyl carbon. The I\(^-\) would attack the benzylic carbon, displacing phenol. Both mechanisms lead to the same products.
Step 4: Final Answer:
The products are benzyl iodide (A) and phenol (B). This corresponds to option (4).
Quick Tip: When cleaving ethers with HX: - The aryl-oxygen bond in aryl ethers (like anisole) does not break. The product is always a phenol and an alkyl halide. - If one group is tertiary or benzylic, it will form the halide (via a stable carbocation, S\(_N\)1 mechanism). - If both groups are primary or secondary, the halide ion attacks the less sterically hindered alkyl group (S\(_N\)2 mechanism).
Which amongst the following options is the correct relation between change in enthalpy and change in internal energy?
View Solution
Step 1: Understanding the Question:
The question asks for the correct thermodynamic relationship between enthalpy change (\(\Delta H\)) and internal energy change (\(\Delta U\)) for a chemical reaction.
Step 2: Key Formula or Approach:
The definition of enthalpy (\(H\)) is: \[ H = U + PV \]
where \(U\) is internal energy, \(P\) is pressure, and \(V\) is volume.
For a change at constant pressure, the enthalpy change is: \[ \Delta H = \Delta U + P\Delta V \]
For reactions involving gases, we can use the ideal gas equation, \(PV = nRT\), to relate the \(P\Delta V\) term to the change in the number of moles of gas.
Step 3: Detailed Explanation:
Starting with the relationship \(\Delta H = \Delta U + P\Delta V\).
Let's consider a reaction where the initial number of moles of gaseous reactants is \(n_{g,i}\) and the final number of moles of gaseous products is \(n_{g,f}\).
Assuming ideal gas behavior, the initial volume is \(V_i = \frac{n_{g,i}RT}{P}\) and the final volume is \(V_f = \frac{n_{g,f}RT}{P}\).
The change in volume is \(\Delta V = V_f - V_i = \frac{(n_{g,f} - n_{g,i})RT}{P}\).
The term \(n_{g,f} - n_{g,i}\) is the change in the number of moles of gas, denoted as \(\Delta n_g\).
So, \(\Delta V = \frac{\Delta n_g RT}{P}\).
Now substitute this back into the enthalpy equation: \[ \Delta H = \Delta U + P \left( \frac{\Delta n_g RT}{P} \right) \]
The pressure \(P\) cancels out: \[ \Delta H = \Delta U + \Delta n_g RT \]
This is the standard relationship between enthalpy change and internal energy change for reactions involving gases.
Let's check the options:
(A) Incorrect form.
(B) Incorrect sign.
(C) Correct form.
(D) Incorrectly combines terms. If rearranged, \(\Delta H + \Delta n_g RT = \Delta U\), which is incorrect.
Step 4: Final Answer:
The correct relation is \(\Delta H = \Delta U + \Delta n_g RT\).
Quick Tip: Remember this key relationship in chemical thermodynamics. \(\Delta H\) is the heat change at constant pressure, while \(\Delta U\) is the heat change at constant volume. The difference between them is the pressure-volume work done by the system due to the change in the number of moles of gas. If \(\Delta n_g = 0\), then \(\Delta H = \Delta U\).
What fraction of one edge centred octahedral void lies in one unit cell of fcc?
View Solution
Step 1: Understanding the Question:
The question asks about the contribution of a single octahedral void located on the edge of a face-centered cubic (fcc) unit cell to that particular unit cell.
Step 2: Key Formula or Approach:
In a crystal lattice, atoms or voids located at different positions (corners, faces, edges, body center) are shared by adjacent unit cells.
- A corner position is shared by 8 unit cells (contribution = 1/8).
- A face-center position is shared by 2 unit cells (contribution = 1/2).
- An edge-center position is shared by 4 unit cells (contribution = 1/4).
- A body-center position is entirely within 1 unit cell (contribution = 1).
Step 3: Detailed Explanation:
In an fcc (or ccp) lattice, the octahedral voids are located at two types of positions:
1. One void is at the body center of the cube.
2. There are voids at the center of each of the 12 edges of the cube.
The question specifically asks about an "edge centred octahedral void". An edge of a cube is shared by four adjacent unit cells that meet at that edge. Therefore, any void located at the center of an edge is also shared by those same four unit cells.
The contribution of one edge-centered octahedral void to a single unit cell is thus \(\frac{1}{4}\).
Total number of octahedral voids per unit cell:
This can be calculated to confirm our understanding:
(1 void at body center \(\times\) 1 contribution) + (12 voids at edge centers \(\times\) \(\frac{1{4}\) contribution) = 1 + 3 = 4 voids.
This matches the known fact that the number of octahedral voids in an fcc lattice is equal to the number of atoms in the unit cell (Z=4).
Step 4: Final Answer:
The fraction of one edge-centered octahedral void that lies within one unit cell is \(\frac{1}{4}\).
Quick Tip: Visualize the sharing of lattice points in a 3D array of cubes. A corner is shared by 8 cubes. A face is shared by 2 cubes. An edge is shared by 4 cubes. The body center is unshared. This applies to atoms, ions, or voids located at these positions.
Given below are two statements:
Statement I: The nutrient deficient water bodies lead to eutrophication.
Statement II: Eutrophication leads to decrease in the level of oxygen in the water bodies.
In the light of the above statements, choose the correct answer from the options given below:
View Solution
Step 1: Understanding the Question:
We need to evaluate two statements about the environmental phenomenon of eutrophication.
Step 2: Detailed Explanation:
- Analysis of Statement I: "The nutrient deficient water bodies lead to eutrophication."
This is incorrect. Eutrophication is the process of nutrient enrichment of a water body, particularly with nitrates and phosphates. The term itself means 'well-nourished'. This enrichment leads to excessive growth of algae and other aquatic plants. Nutrient-deficient (oligotrophic) water bodies are clear and have low biological productivity. Therefore, the statement is the opposite of the truth.
- Analysis of Statement II: "Eutrophication leads to decrease in the level of oxygen in the water bodies."
This is correct. The excessive growth of algae (an algal bloom) caused by nutrient enrichment covers the water surface, blocking sunlight from reaching submerged plants, which then die. When this large amount of plant and algal biomass dies, it sinks to the bottom and is decomposed by aerobic bacteria. These bacteria consume large amounts of dissolved oxygen in the process. This depletion of oxygen (hypoxia or anoxia) can lead to the death of fish and other aquatic animals.
Step 3: Final Answer:
Statement I is incorrect, but Statement II is true.
Quick Tip: Remember the cause and effect of eutrophication: - Cause: Nutrient enrichment (especially N and P), not deficiency. - Process: Algal bloom \(\rightarrow\) Death of aquatic plants \(\rightarrow\) Decomposition by aerobic bacteria. - Effect: Depletion of dissolved oxygen (hypoxia) \(\rightarrow\) Death of aquatic life.
Which amongst the following will be most readily dehydrated under acidic conditions ?
View Solution
Step 1: Understanding the Question:
The question asks which of the given alcohols will undergo acid-catalyzed dehydration most easily.
Step 2: Key Formula or Approach:
The acid-catalyzed dehydration of alcohols proceeds via an E1 elimination mechanism. The rate-determining step of this mechanism is the formation of a carbocation intermediate after the protonated hydroxyl group leaves as water.
The rate of the reaction, and thus the ease of dehydration, depends on the stability of the carbocation formed. The stability of carbocations follows the order: tertiary (3\(^\circ\)) > secondary (2\(^\circ\)) > primary (1\(^\circ\)).
Electron-withdrawing groups (like -NO\(_2\)) destabilize carbocations, while electron-donating groups (like alkyl groups) stabilize them.
Step 3: Detailed Explanation:
Let's analyze the carbocation that would be formed from each alcohol:
- (1): This is a secondary alcohol. Loss of water would form a secondary carbocation. However, there is a strongly electron-withdrawing -NO\(_2\) group on the adjacent carbon. This group will destabilize the carbocation significantly via the inductive effect, making its formation difficult.
- (2): This is a secondary alcohol. Loss of water forms a secondary carbocation. There is a -NO\(_2\) group further away, but it will still have a destabilizing inductive effect. An alkyl group (-CH\(_3\)) on the other side provides some stabilization.
- (3): This is a secondary alcohol. Loss of water forms a secondary carbocation. This carbocation is flanked by two alkyl groups (-CH\(_3\) on one side, and part of the chain on the other). The -NO\(_2\) group is far away down the chain, so its destabilizing inductive effect will be minimal. The two alkyl groups provide significant stabilization through hyperconjugation and inductive effects. This will be a relatively stable secondary carbocation.
- (4): This is a primary alcohol. Loss of water would form a primary carbocation, which is very unstable. Dehydration of primary alcohols is generally the most difficult and may proceed via an E2 mechanism, but it is still slower than the E1 dehydration of secondary or tertiary alcohols that form stable carbocations.
Comparing the options:
- Dehydration of (4) is the most difficult as it's a primary alcohol.
- Comparing (1), (2), and (3), all are secondary alcohols. The ease of dehydration will depend on the stability of the secondary carbocation formed.
- The carbocation from (1) is most destabilized due to the adjacent -NO\(_2\) group.
- The carbocation from (2) is also destabilized by the -NO\(_2\) group.
- The carbocation from (3) is the most stable because it is stabilized by two alkyl groups and the destabilizing -NO\(_2\) group is furthest away.
Therefore, alcohol (3) will form the most stable carbocation intermediate and will be dehydrated most readily.
Step 4: Final Answer:
The alcohol in option (3) will be most readily dehydrated because it forms the most stable carbocation intermediate upon loss of water.
Quick Tip: For E1 dehydration of alcohols, the key is carbocation stability. Look for the alcohol that will form the most stable carbocation. Consider the degree of substitution (3\(^\circ\) > 2\(^\circ\) > 1\(^\circ\)) and the electronic effects of nearby substituents (electron-donating groups stabilize, electron-withdrawing groups destabilize).
Match List - I with List - II:
List - I (Oxoacids of Sulphur)
A. Peroxodisulphuric acid
B. Sulphuric acid
C. Pyrosulphuric acid
D. Sulphurous acid
List - II (Bonds)
I. Two S-OH, Four S=O, One S-O-S
II. Two S-OH, One S=O
III. Two S-OH, Four S=O, One S-O-O-S
IV. Two S-OH, Two S=O
Choose the correct answer from the options given below :
View Solution
Step 1: Understanding the Question
The question requires matching the given oxoacids of sulphur with the correct description of the types and number of bonds present in their structures. To do this, we need to know the chemical structure of each acid.
Step 2: Analyzing the Structure of Each Oxoacid
Let's draw the structure for each acid in List-I and count the specified bonds.
A. Peroxodisulphuric acid (H\(_2\)S\(_2\)O\(_8\), Marshall's acid):
The structure is HO-SO\(_2\)-O-O-SO\(_2\)-OH.
Counting the bonds:
- S-OH bonds: 2
- S=O bonds: 4
- S-O-O-S (peroxo linkage): 1
This corresponds to description III. So, A matches with III.
B. Sulphuric acid (H\(_2\)SO\(_4\)):
The structure is HO-SO\(_2\)-OH.
Counting the bonds:
- S-OH bonds: 2
- S=O bonds: 2
This corresponds to description IV. So, B matches with IV.
C. Pyrosulphuric acid (H\(_2\)S\(_2\)O\(_7\), Oleum):
The structure is HO-SO\(_2\)-O-SO\(_2\)-OH.
Counting the bonds:
- S-OH bonds: 2
- S=O bonds: 4
- S-O-S linkage: 1
This corresponds to description I. So, C matches with I.
D. Sulphurous acid (H\(_2\)SO\(_3\)):
The structure is HO-SO-OH.
Counting the bonds:
- S-OH bonds: 2
- S=O bonds: 1
This corresponds to description II. So, D matches with II.
Step 3: Final Answer
Based on the analysis, the correct matching is:
- A \(\rightarrow\) III
- B \(\rightarrow\) IV
- C \(\rightarrow\) I
- D \(\rightarrow\) II
This combination is given in option (C).
Quick Tip: Drawing the structures of oxoacids is crucial for solving such questions. Remember the common linkages: peroxo (-O-O-), pyro (-O-), and thio (-S-). The number of S=O and S-OH bonds can be determined from the formula and the oxidation state of sulfur.
Identify the major product obtained in the following reaction:
View Solution
Step 1: Understanding the Question
The question asks for the major product of the reaction shown. First, we need to correctly identify the reactant and the reagents.
- Reactant: The structure shown is a benzene ring with two aldehyde (-CHO) groups at ortho positions. This is phthalaldehyde (or benzene-1,2-dicarbaldehyde).
- Reagents: The reagents are [Ag(NH\(_3\))\(_2\)]\(^+\) (Tollen's reagent), 3 OH\(^-\) (strong basic medium), and heat (\(\Delta\)).
Step 2: Key Formula or Approach
The key to this reaction is to recognize the nature of the reactant and the conditions. Phthalaldehyde is an aldehyde with no \(\alpha\)-hydrogen atoms. Such aldehydes, when treated with a strong base and heat, undergo the Cannizzaro reaction. When two aldehyde groups are present in the same molecule, it leads to an intramolecular Cannizzaro reaction.
In this reaction, one aldehyde group is oxidized to a carboxylic acid (which exists as a carboxylate salt in the basic medium), and the other aldehyde group is reduced to a primary alcohol.
Step 3: Detailed Explanation
The reaction proceeds as follows:
1. One of the aldehyde groups of phthalaldehyde is attacked by a hydroxide ion (OH\(^-\)).
2. A hydride ion (H\(^-\)) is transferred from the resulting tetrahedral intermediate to the carbonyl carbon of the second aldehyde group within the same molecule.
3. This results in the simultaneous oxidation of the first aldehyde group to a carboxylate group (-COO\(^-\)) and the reduction of the second aldehyde group to an alkoxide group (-CH\(_2\)O\(^-\)).
4. The alkoxide group is then protonated by water (present in the aqueous medium) to form a primary alcohol group (-CH\(_2\)OH).
The overall transformation is:
One -CHO group \(\xrightarrow{Oxidation}\) -COO\(^-\)
The other -CHO group \(\xrightarrow{Reduction}\) -CH\(_2\)OH
So, phthalaldehyde is converted to 2-(hydroxymethyl)benzoate.
Step 4: Final Answer
Comparing the product, 2-(hydroxymethyl)benzoate, with the given options:
- Option (1) is the salt of salicylic acid.
- Option (2) is 2-(hydroxymethyl)phenol.
- Option (3) is 2-hydroxyacetophenone.
- Option (4) shows a benzene ring with a -COO\(^-\) group and a -CH\(_2\)OH group (the OH on the side chain is not explicitly shown but implied by the structure and context) at ortho positions. This matches our derived product.
Therefore, option (D) is the correct answer. The presence of Tollen's reagent is likely to ensure oxidation, but the primary reaction mechanism under these strong basic conditions is the intramolecular Cannizzaro reaction.
Quick Tip: Always look for aldehydes without \(\alpha\)-hydrogens (like formaldehyde, benzaldehyde, and in this case, phthalaldehyde) when strong basic conditions are present. This is a strong indicator of a Cannizzaro reaction. If two such groups are in one molecule, consider the intramolecular version.
Identify the final product [D] obtained in the following sequence of reactions.
View Solution
Step 1: Understanding the Question
The question asks to identify the final product [D] in a multi-step reaction sequence. However, the sequence as presented appears to contain a significant error or typo. Let's analyze both the written reaction sequence and the structures shown.
Step 2: Analysis of the Initial Aliphatic Sequence
Let's follow the reaction path starting from CH\(_3\)CHO:
1. CH\(_3\)CHO \(\rightarrow\) [A]: Acetaldehyde (an aldehyde) is treated with LiAlH\(_4\), a strong reducing agent, followed by hydrolysis (H\(_3\)O\(^+\)). This reduces the aldehyde to a primary alcohol.
\[ CH_3CHO \xrightarrow{i) LiAlH_4, ii) H_3O^+} CH_3CH_2OH \]
So, [A] is ethanol.
2. [A] \(\rightarrow\) [B]: Ethanol is heated with concentrated H\(_2\)SO\(_4\). This is an acid-catalyzed dehydration reaction, which produces an alkene.
\[ CH_3CH_2OH \xrightarrow{H_2SO_4, \Delta} CH_2=CH_2 + H_2O \]
So, [B] is ethene.
3. [B] \(\rightarrow\) [C]: Ethene reacts with HBr. This is an electrophilic addition reaction.
\[ CH_2=CH_2 + HBr \rightarrow CH_3CH_2Br \]
So, [C] should be bromoethane.
Step 3: Analyzing the Contradiction and the Aromatic Sequence
The question diagram explicitly shows the structure next to [C] as Bromobenzene, not bromoethane. This contradicts the result from the first part of the sequence. It is impossible to get bromobenzene from ethene under these conditions. This indicates a major error in the question's formulation.
Assuming the question intended to proceed from the structure shown for [C], let's analyze the final step:
1. [C] \(\rightarrow\) [D]: The reactant [C] is given as Bromobenzene. It is treated with Na/dry ether. This is the Fittig reaction (an aryl variant of the Wurtz reaction). Two molecules of an aryl halide couple in the presence of sodium to form a biaryl compound.
\[ 2 C_6H_5Br + 2 Na \xrightarrow{dry ether} C_6H_5-C_6H_5 + 2 NaBr \]
The product, C\(_6\)H\(_5\)-C\(_6\)H\(_5\), is Biphenyl.
Step 4: Final Answer
The final product [D] formed from bromobenzene [C] is Biphenyl. This matches option (B).
Quick Tip: Here, the structure for [C] is the key. The reaction of an aryl halide with Na/dry ether is the Fittig reaction, a classic name reaction.
The reaction that does NOT take place in a blast furnace between 900 K to 1500 K temperature range during extraction of iron is:
View Solution
Step 1: Understanding the Question
The question asks to identify which of the given chemical reactions does not occur in the specific temperature range of 900 K to 1500 K inside a blast furnace used for iron extraction. This requires knowledge of the different temperature zones and the corresponding reactions in the blast furnace.
Step 2: Key Formula or Approach
The operation of a blast furnace can be divided into different zones based on temperature:
1. Upper Zone (Zone of Reduction): Temperature range is approximately 500 K - 800 K. Here, the initial reduction of iron ore begins.
- 3Fe\(_2\)O\(_3\) + CO \(\rightarrow\) 2Fe\(_3\)O\(_4\) + CO\(_2\)
- Fe\(_3\)O\(_4\) + CO \(\rightarrow\) 3FeO + CO\(_2\)
- Fe\(_2\)O\(_3\) + CO \(\rightarrow\) 2FeO + CO\(_2\)
2. Middle Zone (Zone of Slag Formation/Reduction): Temperature range is approximately 900 K - 1500 K.
- CaCO\(_3\) \(\rightarrow\) CaO + CO\(_2\) (around 1200 K)
- CaO + SiO\(_2\) \(\rightarrow\) CaSiO\(_3\) (Slag formation)
- FeO + CO \(\rightarrow\) Fe + CO\(_2\) (Final reduction, above ~1073 K)
- C + CO\(_2\) \(\rightarrow\) 2CO (Boudouard reaction, above ~983 K)
3. Lower Zone (Zone of Combustion/Fusion): Temperature is very high, > 1500 K (up to 2200 K).
- C + O\(_2\) \(\rightarrow\) CO\(_2\)
- CO\(_2\) + C \(\rightarrow\) 2CO
Step 3: Detailed Explanation
Let's evaluate each option based on the temperature zones:
- (A) CaO + SiO\(_2\) \(\rightarrow\) CaSiO\(_3\): This is the formation of slag. It requires high temperatures for limestone (CaCO\(_3\)) to decompose to CaO and for the silica (SiO\(_2\)) impurity to react. This occurs around 1200 K, which is within the 900 K - 1500 K range. So, this reaction takes place.
- (B) Fe\(_2\)O\(_3\) + CO \(\rightarrow\) 2FeO + CO\(_2\): This is the initial reduction of hematite. According to the Ellingham diagram and the processes in the blast furnace, this reduction happens at lower temperatures, in the upper part of the furnace (500 K - 800 K). By the time the ore reaches the 900 K zone, most of the Fe\(_2\)O\(_3\) has already been converted to FeO. Therefore, this reaction does not predominantly occur in the 900 K - 1500 K range.
- (C) FeO + CO \(\rightarrow\) Fe + CO\(_2\): This is the final reduction of iron(II) oxide to molten iron. This reaction is thermodynamically favorable at temperatures above ~1073 K, which falls squarely within the 900 K - 1500 K range. So, this reaction takes place.
- (D) C + CO\(_2\) \(\rightarrow\) 2CO: This is the Boudouard reaction. It is endothermic and becomes favorable at high temperatures (above ~983 K) to regenerate the reducing agent, CO. This temperature is within the specified range. So, this reaction takes place.
Step 4: Final Answer
The reaction that does NOT primarily occur in the 900 K to 1500 K range is the reduction of Fe\(_2\)O\(_3\) to FeO, as it occurs at lower temperatures in the upper zone of the furnace. Thus, option (B) is the correct answer.
Quick Tip: Remember the blast furnace reactions in terms of a temperature gradient. Reduction starts at the top (cooler) and completes at the bottom (hotter). Fe\(_2\)O\(_3\) \(\rightarrow\) Fe\(_3\)O\(_4\) \(\rightarrow\) FeO \(\rightarrow\) Fe. The first steps happen at lower temperatures.
Pumice stone is an example of -
View Solution
Step 1: Understanding the Question
The question asks to classify pumice stone based on the types of colloidal systems. A colloidal system is defined by its dispersed phase and dispersion medium.
Step 2: Key Formula or Approach
Pumice stone is a type of volcanic rock formed from the rapid cooling of lava rich in dissolved gases. As the lava cools, the pressure drops, and the gases exsolve, forming bubbles. These bubbles get trapped in the solidifying rock, resulting in a lightweight, porous material.
In this system:
- The dispersed phase is the gas (the bubbles).
- The dispersion medium is the solid (the rock).
Step 3: Detailed Explanation
Now let's classify this system based on the given options.
- A colloidal system with a gaseous dispersed phase and a solid dispersion medium is called a solid foam.
Let's analyze the options provided:
- (A) foam: This term usually refers to a dispersion of gas in a liquid (like whipped cream). While pumice is a "solid foam", the general term "foam" might be considered less specific.
- (B) sol: A dispersion of a solid in a liquid. This is incorrect.
- (C) gel: A system where a liquid is trapped within a solid network. This is incorrect.
- (D) solid sol: This term can be interpreted in two ways. Strictly, it means a dispersion of a solid in a solid (e.g., colored glass). However, in some classifications, any colloidal system where the dispersion medium is a solid can be referred to as a solid sol. In this broader sense, a gas-in-solid dispersion (solid foam) falls under the category of solid sols.
Given the options and the provided answer key, the question uses the broader classification where the name is based on the state of the dispersion medium. Since the dispersion medium in pumice stone is a solid, it is classified as a "solid sol". While "solid foam" would be a more precise term, it is not an option, and "foam" usually implies a liquid medium. Therefore, "solid sol" is the intended correct answer.
Step 4: Final Answer
Based on the classification where the name of the colloid is determined by the dispersion medium, pumice stone (gas dispersed in a solid) is categorized as a solid sol.
Quick Tip: Colloidal systems are classified based on the physical state of the dispersed phase and the dispersion medium. A system with a solid as the dispersion medium is often called a solid sol. While "solid foam" is more specific for gas-in-solid, it may not always be an option.
Which complex compound is most stable?
View Solution
Step 1: Understanding the Question
The question asks to identify the most stable complex compound among the given options. The stability of coordination complexes is a key concept in coordination chemistry.
Step 2: Key Formula or Approach
The stability of a coordination complex is greatly influenced by the chelate effect. The chelate effect describes the enhanced stability of coordination complexes containing chelate rings compared to similar complexes with non-chelating (monodentate) ligands. A chelating ligand is a polydentate ligand that can bind to the central metal ion at two or more points, forming a ring structure. This ring formation leads to a significant increase in the thermodynamic stability of the complex, primarily due to a favorable increase in entropy upon formation.
Step 3: Detailed Explanation
Let's analyze the ligands in each of the given cobalt complexes:
- (A) [Co(NH\(_3\))\(_6\)]\(_2\)(SO\(_4\))\(_3\): The ligands are six ammonia (NH\(_3\)) molecules. Ammonia is a monodentate ligand (binds at one point). No chelate rings are formed.
- (B) [Co(NH\(_3\))\(_4\)(H\(_2\)O)Br](NO\(_3\))\(_2\): The ligands are ammonia (NH\(_3\)), water (H\(_2\)O), and bromide (Br\(^-\)). All of these are monodentate ligands. No chelate rings are formed.
- (C) [Co(NH\(_3\))\(_3\)(NO\(_3\))\(_3\): The ligands are ammonia (NH\(_3\)) and nitrate (NO\(_3\)\(^-\), acting as a ligand). Both are monodentate. No chelate rings are formed.
- (D) [CoCl\(_2\)(en)\(_2\)]NO\(_3\): The ligands are chloride (Cl\(^-\)) and ethylenediamine (en). Chloride is monodentate. Ethylenediamine (H\(_2\)N-CH\(_2\)-CH\(_2\)-NH\(_2\)) is a bidentate ligand. It has two donor nitrogen atoms and can bind to the cobalt ion at two positions, forming a stable five-membered chelate ring. Since there are two 'en' ligands, two such rings are formed.
Step 4: Final Answer
The complex in option (D) contains a chelating ligand (ethylenediamine), which forms stable chelate rings with the central metal ion. Due to the chelate effect, this complex is significantly more stable than the complexes in options (A), (B), and (C), which only contain monodentate ligands. Therefore, [CoCl\(_2\)(en)\(_2\)]NO\(_3\) is the most stable compound among the choices.
Quick Tip: When comparing the stability of coordination complexes, always look for the presence of polydentate (chelating) ligands. Complexes with chelating ligands are almost always more stable than complexes with analogous monodentate ligands due to the chelate effect.
Consider the following compounds/species:
The number of compounds/species which obey Huckel's rule is __________.
View Solution
Step 1: Understanding the Question
The question asks to identify the number of species from the given list that are aromatic according to Huckel's rule.
Step 2: Key Formula or Approach
Huckel's rule for aromaticity states that a compound must be:
1. Cyclic
2. Planar
3. Fully conjugated (have a p-orbital on every atom in the ring)
4. Contain (4n + 2) \(\pi\) electrons, where n is a non-negative integer (0, 1, 2, ...).
Strictly, Huckel's rule was derived for monocyclic systems. Polycyclic compounds like naphthalene are aromatic, but their aromaticity is explained by extensions of this rule. Given the options, we should count only the monocyclic systems that obey the rule.
Step 3: Detailed Explanation
Let's analyze each species:
i. Naphthalene: Polycyclic. It is aromatic with 10 \(\pi\) electrons (4n+2 for n=2), but it is not a monocyclic system.
ii. Cyclopentadienyl anion: Monocyclic, planar, fully conjugated, and has 6 \(\pi\) electrons (4 from double bonds + 2 from the lone pair). 4n + 2 = 6 \(\Rightarrow\) n = 1. It is aromatic.
iii. Cyclobutadiene: Monocyclic, but it has 4 \(\pi\) electrons. This fits the 4n rule for anti-aromaticity (n=1). It is not aromatic.
iv. Tropylium cation: Monocyclic, planar, fully conjugated, and has 6 \(\pi\) electrons. 4n + 2 = 6 \(\Rightarrow\) n = 1. It is aromatic.
v. Cyclopropenyl cation: Monocyclic, planar, fully conjugated, and has 2 \(\pi\) electrons. 4n + 2 = 2 \(\Rightarrow\) n = 0. It is aromatic.
vi. Benzene: Monocyclic, planar, fully conjugated, and has 6 \(\pi\) electrons. 4n + 2 = 6 \(\Rightarrow\) n = 1. It is aromatic.
vii. Phenanthrene: Polycyclic. It is aromatic with 14 \(\pi\) electrons (4n+2 for n=3), but it is not a monocyclic system.
Step 4: Final Answer
Counting the monocyclic species that obey Huckel's rule:
- Cyclopentadienyl anion (ii)
- Tropylium cation (iv)
- Cyclopropenyl cation (v)
- Benzene (vi)
The total number is 4. Therefore, option (B) is the correct answer.
Quick Tip: While polycyclic compounds like naphthalene are aromatic, Huckel's rule, in its strictest sense, applies to monocyclic systems. In exams, if the count of all aromatic species (including polycyclic) doesn't match an option, consider applying the rule only to monocyclic systems.
The equilibrium concentrations of the species in the reaction A + B \(\rightleftharpoons\) C + D are 2, 3, 10 and 6 mol L\(^{-1}\), respectively at 300 K. \(\Delta\)G° for the reaction is (R = 2 cal / mol K)
View Solution
Step 1: Understanding the Question
The question asks to calculate the standard Gibbs free energy change (\(\Delta\)G°) for a given reaction using the equilibrium concentrations of reactants and products, the temperature, and the gas constant.
Step 2: Key Formula or Approach
The relationship between the standard Gibbs free energy change and the equilibrium constant (K) is given by the equation:
\[ \Delta G^\circ = -RT \ln K \]
First, we need to calculate the equilibrium constant (K\(_c\)) from the given concentrations.
For the reaction A + B \(\rightleftharpoons\) C + D, the expression for K\(_c\) is:
\[ K_c = \frac{[C][D]}{[A][B]} \]
Step 3: Detailed Explanation
Part 1: Calculate the equilibrium constant (K\(_c\))
Given equilibrium concentrations:
[A] = 2 mol L\(^{-1}\)
[B] = 3 mol L\(^{-1}\)
[C] = 10 mol L\(^{-1}\)
[D] = 6 mol L\(^{-1}\)
Substituting these values into the expression for K\(_c\):
\[ K_c = \frac{(10)(6)}{(2)(3)} = \frac{60}{6} = 10 \]
Part 2: Calculate \(\Delta\)G°
Given values:
R = 2 cal / mol K
T = 300 K
K\(_c\) = 10
Using the formula \(\Delta G^\circ = -RT \ln K_c\):
\[ \Delta G^\circ = -(2 cal/mol K) \times (300 K) \times \ln(10) \]
We know that \(\ln(10) \approx 2.303\).
\[ \Delta G^\circ = -600 \times 2.303 cal/mol \] \[ \Delta G^\circ = -1381.8 cal/mol \]
Step 4: Final Answer
The calculated value for the standard Gibbs free energy change is -1381.80 cal. This matches option (D).
Quick Tip: Ensure that the units of the gas constant (R) are consistent with the desired units for \(\Delta\)G°. Here, R is given in cal/mol K, so the final answer will be in calories. Remember the value \(\ln(10) \approx 2.303\) as it is frequently used in such calculations.
On balancing the given redox reaction,
a Cr\(_2\)O\(_7^{2-}\) + b SO\(_3^{2-}\)(aq) + c H\(^+\)(aq) \(\rightarrow\) 2a Cr\(^{3+}\)(aq) + b SO\(_4^{2-}\)(aq) + \(\frac{c}{2}\) H\(_2\)O(l)
the coefficients a, b and c are found to be, respectively -
(Note: The reaction in the image has typos, it has been corrected to the standard dichromate-sulfite reaction for balancing.)
View Solution
Step 1: Understanding the Question
The question asks for the stoichiometric coefficients (a, b, c) for the given redox reaction in an acidic medium. We need to balance the equation using a standard method.
Step 2: Key Formula or Approach
We will use the ion-electron (half-reaction) method to balance the redox reaction.
1. Write the two half-reactions: one for oxidation and one for reduction.
2. Balance all atoms except O and H.
3. Balance O atoms by adding H\(_2\)O.
4. Balance H atoms by adding H\(^+\).
5. Balance the charges by adding electrons (e\(^-\)).
6. Equalize the number of electrons in both half-reactions by multiplying by appropriate integers.
7. Add the two half-reactions and cancel out common species.
Step 3: Detailed Explanation
Oxidation Half-Reaction (Sulfite to Sulfate):
- Step i: Write the basic reaction: SO\(_3^{2-}\) \(\rightarrow\) SO\(_4^{2-}\)
- Step ii: Sulfur is balanced. Balance O by adding H\(_2\)O to the left: SO\(_3^{2-}\) + H\(_2\)O \(\rightarrow\) SO\(_4^{2-}\)
- Step iii: Balance H by adding H\(^+\) to the right: SO\(_3^{2-}\) + H\(_2\)O \(\rightarrow\) SO\(_4^{2-}\) + 2H\(^+\)
- Step iv: Balance charge. Left side has a -2 charge. Right side has (-2 + 2) = 0 charge. Add 2e\(^-\) to the right:
SO\(_3^{2-}\) + H\(_2\)O \(\rightarrow\) SO\(_4^{2-}\) + 2H\(^+\) + 2e\(^-\)
Reduction Half-Reaction (Dichromate to Chromium(III)):
- Step i: Write the basic reaction: Cr\(_2\)O\(_7^{2-}\) \(\rightarrow\) Cr\(^{3+}\)
- Step ii: Balance Cr atoms: Cr\(_2\)O\(_7^{2-}\) \(\rightarrow\) 2Cr\(^{3+}\)
- Step iii: Balance O by adding H\(_2\)O to the right: Cr\(_2\)O\(_7^{2-}\) \(\rightarrow\) 2Cr\(^{3+}\) + 7H\(_2\)O
- Step iv: Balance H by adding H\(^+\) to the left: Cr\(_2\)O\(_7^{2-}\) + 14H\(^+\) \(\rightarrow\) 2Cr\(^{3+}\) + 7H\(_2\)O
- Step v: Balance charge. Left side has (-2 + 14) = +12 charge. Right side has 2(+3) = +6 charge. Add 6e\(^-\) to the left:
Cr\(_2\)O\(_7^{2-}\) + 14H\(^+\) + 6e\(^-\) \(\rightarrow\) 2Cr\(^{3+}\) + 7H\(_2\)O
Combining the Half-Reactions:
- To equalize the electrons, multiply the oxidation half-reaction by 3.
3(SO\(_3^{2-}\) + H\(_2\)O \(\rightarrow\) SO\(_4^{2-}\) + 2H\(^+\) + 2e\(^-\)) = 3SO\(_3^{2-}\) + 3H\(_2\)O \(\rightarrow\) 3SO\(_4^{2-}\) + 6H\(^+\) + 6e\(^-\)
- Now, add the modified oxidation reaction and the reduction reaction:
(Cr\(_2\)O\(_7^{2-}\) + 14H\(^+\) + 6e\(^-\)) + (3SO\(_3^{2-}\) + 3H\(_2\)O) \(\rightarrow\) (2Cr\(^{3+}\) + 7H\(_2\)O) + (3SO\(_4^{2-}\) + 6H\(^+\) + 6e\(^-\))
- Cancel common species (6e\(^-\), 6H\(^+\), 3H\(_2\)O) from both sides:
Cr\(_2\)O\(_7^{2-}\) + 3SO\(_3^{2-}\) + 8H\(^+\) \(\rightarrow\) 2Cr\(^{3+}\) + 3SO\(_4^{2-}\) + 4H\(_2\)O
Step 4: Final Answer
Comparing the balanced equation with the given template:
a Cr\(_2\)O\(_7^{2-}\) + b SO\(_3^{2-}\) + c H\(^+\) \(\rightarrow\) ...
We find that: a = 1, b = 3, and c = 8.
This corresponds to option (B).
Quick Tip: Always double-check the final balanced equation by counting the atoms of each element and the total charge on both sides. In this case: Left side: 2 Cr, 3 S, (7+9)=16 O, 8 H, charge=(-2-6+8)=0. Right side: 2 Cr, 3 S, (12+4)=16 O, 8 H, charge=(+6-6)=0. The equation is correctly balanced.
Given below are two statements : One is
labelled as Assertion A and the other is
labelled as Reason R :
Assertion A : The first stage of gametophyte
in the life cycle of moss is protonema stage.
Reason R : Protonema develops directly
from spores produced in capsule.
In the light of the above statements, choose
the most appropriate answer from the
options given below :
View Solution
Step 1: Understanding the Question:
The question asks us to evaluate two statements about the life cycle of moss. Assertion (A) describes the first stage of the gametophyte, and Reason (R) describes the origin of this stage. We need to determine if both statements are true and if the reason correctly explains the assertion.
Step 2: Detailed Explanation:
Analyzing Assertion A: The life cycle of a moss includes two distinct stages in its gametophyte phase. The first stage is the protonema, which develops directly from a spore. This is a creeping, green, branched, and frequently filamentous stage. The second stage is the leafy stage, which develops from the secondary protonema as a lateral bud. Therefore, Assertion A, which states that the protonema is the first stage of the gametophyte, is correct.
Analyzing Reason R: The moss life cycle involves an alternation of generations. The sporophyte, which includes the capsule, produces spores through meiosis. When these spores germinate, they develop into the protonema. Thus, the protonema develops directly from spores produced in the capsule. Therefore, Reason R is also correct.
Relating A and R: Reason R states that the protonema develops from spores. This directly explains why the protonema is the first stage (Assertion A) of the gametophyte life cycle, as it's the structure that emerges from the germinating spore, initiating the gametophytic generation. Hence, R is the correct explanation for A.
Step 3: Final Answer:
Both Assertion A and Reason R are correct statements, and Reason R provides the correct explanation for Assertion A. Therefore, option (B) is the most appropriate answer.
Quick Tip: In Assertion-Reason questions, first check the validity of each statement independently. If both are true, then check if the reason logically explains the assertion. Visualizing the life cycle of moss can be very helpful.
Cellulose does not form blue colour with
Iodine because
View Solution
Step 1: Understanding the Question:
The question asks for the reason why cellulose does not give a positive iodine test (blue colour), which is a characteristic test for starch.
Step 2: Detailed Explanation:
The iodine test is specific for the presence of starch. Starch consists of two components: amylose and amylopectin. Amylose is a linear polymer of \(\alpha\)-glucose units that forms a helical secondary structure. This helical structure allows it to trap iodine molecules (\(I_2\)) inside its coil, forming a starch-iodine complex that appears blue-black.
Cellulose, on the other hand, is a linear polymer of \(\beta\)-glucose units linked by \(\beta\)-1,4 glycosidic bonds. This structural difference prevents cellulose from forming a helical structure. Instead, cellulose molecules are straight chains that aggregate into parallel bundles called microfibrils, held together by hydrogen bonds. Because cellulose does not have the complex helical structure of amylose, it cannot trap iodine molecules within its structure. Therefore, it does not produce a blue colour with iodine.
Let's evaluate the options:
(A) Cellulose is a very stable polymer and does not break down upon reaction with iodine.
(B) Cellulose is a polysaccharide, not a disaccharide.
(C) It is not a helical molecule in the way starch is. Its chains are linear.
(D) This is the correct explanation. The lack of a helical structure means there is no space to hold iodine molecules to form the colored complex.
Step 3: Final Answer:
Cellulose does not form a blue color with iodine because its linear structure does not form helices capable of trapping iodine molecules. Thus, option (D) is the correct answer.
Quick Tip: Remember the structural differences between major polysaccharides: Starch (helical, \(\alpha\)-glucose, storage), Glycogen (branched, \(\alpha\)-glucose, storage), and Cellulose (linear, \(\beta\)-glucose, structural). The helical structure of starch is key to the iodine test.
Which micronutrient is required for splitting
of water molecule during photosynthesis?
View Solution
Step 1: Understanding the Question:
The question asks to identify the micronutrient essential for the photolysis, or splitting, of water molecules during the light-dependent reactions of photosynthesis.
Step 2: Detailed Explanation:
The splitting of water molecules (\(2H_2O \rightarrow 4H^+ + O_2 + 4e^-\)) occurs in Photosystem II (PS II) and is known as photolysis. This process is crucial as it releases electrons to replace those lost by PS II, produces protons (\(H^+\)) that contribute to the proton gradient for ATP synthesis, and releases oxygen as a byproduct.
This reaction is catalyzed by the Oxygen Evolving Complex (OEC), which is associated with PS II. The OEC contains a cluster of four manganese ions (Mn) and one calcium ion (Ca). Manganese ions are essential cofactors that undergo changes in their oxidation states, facilitating the extraction of electrons from water molecules.
Let's check the roles of other options:
(A) Copper (Cu) is a component of plastocyanin, an electron carrier between cytochrome b6f complex and PS I.
(C) Molybdenum (Mo) is a component of enzymes like nitrate reductase and nitrogenase, crucial for nitrogen metabolism.
(D) Magnesium (Mg) is the central atom in the chlorophyll molecule, essential for absorbing light energy, but not directly involved in splitting water.
Step 3: Final Answer:
Manganese (Mn) is the essential micronutrient required for the activity of the Oxygen Evolving Complex, which carries out the splitting of water. Therefore, option (B) is the correct answer.
Quick Tip: Memorize the specific roles of essential micronutrients in plant physiology. For photosynthesis, remember: Mg in chlorophyll, Mn and Cl for water splitting, and Cu in plastocyanin.
Expressed Sequence Tags (ESTs) refers to
View Solution
Step 1: Understanding the Question:
The question asks for the definition of Expressed Sequence Tags (ESTs).
Step 2: Detailed Explanation:
ESTs are short, unedited, single-pass sequence reads derived from cDNA (complementary DNA) libraries. Here's the process and what it implies:
1. Messenger RNA (mRNA) is extracted from cells. mRNA is present only for genes that are actively being transcribed (expressed).
2. The enzyme reverse transcriptase is used to create a single-stranded cDNA copy of the mRNA.
3. This cDNA is then sequenced. The resulting short sequence is an EST.
Because ESTs are generated from mRNA, they represent portions of genes that are being expressed as RNA at a particular time in a particular tissue. They provide a quick way to identify transcribed genes and are useful in gene discovery and gene sequence determination.
Let's evaluate the options:
(A) They are not limited to "certain important" genes but represent a random sample of all expressed genes.
(B) This is the most accurate description. They represent all genes that are being transcribed into RNA (specifically mRNA).
(C) While many expressed RNAs are translated into proteins, ESTs are derived from RNA, not proteins. Not all RNAs are translated (e.g., non-coding RNAs).
(D) They only represent expressed genes, not unexpressed genes (which are not transcribed into mRNA).
Step 3: Final Answer:
ESTs are sequences derived from mRNA, so they represent the set of all genes expressed as RNA in a cell. Therefore, option (B) is the correct answer.
Quick Tip: Remember the source of a molecular biology tool to understand its function. ESTs come from mRNA, so they are directly related to gene expression at the transcription level.
The thickness of ozone in a column of air in
the atmosphere is measured in terms of :
View Solution
Step 1: Understanding the Question:
The question asks for the unit of measurement for the thickness of the atmospheric ozone layer.
Step 2: Detailed Explanation:
The concentration of ozone in the stratosphere is measured in Dobson Units (DU). One Dobson Unit is defined as the thickness (in units of 10 µm or 0.01 mm) of the layer of pure ozone that would be formed if all the ozone molecules in a vertical column of the atmosphere were brought to standard temperature (0°C) and pressure (1 atm).
For example, 300 DU of ozone would form a 3 mm thick layer of pure ozone at standard conditions.
Let's examine the other units:
(A) Kilobase (kb) is a unit of length for DNA or RNA molecules, equal to 1000 base pairs.
(C) Decibels (dB) are units used to measure the intensity of a sound or the power level of an electrical signal.
(D) Decameter (dam) is a unit of length equal to 10 meters.
Step 3: Final Answer:
The standard unit for measuring the thickness of the ozone layer is the Dobson unit. Therefore, option (B) is the correct answer.
Quick Tip: Associate specific units with the quantities they measure. Decibels for sound, Dobson Units for ozone, and base pairs/kilobases for nucleic acid length are common examples in science.
Given below are two statements: One is
labelled as Assertion A and the other is
labelled as Reason R :
Assertion A: ATP is used at two steps in
glycolysis.
Reason R: First ATP is used in converting
glucose into glucose-6-phosphate and second
ATP is used in conversion of fructose-6-
phosphate into fructose-1-6-diphosphate.
In the light of the above statements, choose
the correct answer from the options given
below :
View Solution
Step 1: Understanding the Question:
The question presents an Assertion and a Reason related to the use of ATP in the glycolysis pathway. We need to evaluate the correctness of both statements and their relationship.
Step 2: Detailed Explanation:
Analyzing Assertion A: Glycolysis is the metabolic pathway that converts glucose into pyruvate. The initial phase of glycolysis is known as the preparatory or investment phase, where energy in the form of ATP is consumed. Indeed, two molecules of ATP are invested in this phase. Therefore, Assertion A is correct.
Analyzing Reason R: The two steps where ATP is consumed are:
1. Step 1: The phosphorylation of glucose to form glucose-6-phosphate, catalyzed by the enzyme hexokinase.
\[ Glucose + ATP \xrightarrow{Hexokinase} Glucose-6-phosphate + ADP \]
2. Step 3: The phosphorylation of fructose-6-phosphate to form fructose-1,6-bisphosphate, catalyzed by the enzyme phosphofructokinase-1.
\[ Fructose-6-phosphate + ATP \xrightarrow{Phosphofructokinase} Fructose-1,6-bisphosphate + ADP \]
Reason R correctly identifies these two specific steps. Therefore, Reason R is also correct.
Relating A and R: Reason R details the exact two steps where ATP is utilized, which directly substantiates and explains Assertion A's claim that ATP is used at two steps. Thus, R is the correct explanation for A.
Step 3: Final Answer:
Both Assertion A and Reason R are true, and Reason R correctly explains Assertion A. Therefore, option (B) is the correct answer.
Quick Tip: For metabolic pathways like glycolysis, it's essential to remember the key steps, especially those involving energy investment (ATP use) and energy payoff (ATP and NADH production). Drawing out the pathway can be a great study aid.
Upon exposure to UV radiation, DNA
stained with ethidium bromide will show
View Solution
Step 1: Understanding the Question:
The question asks about the appearance of DNA when it is stained with ethidium bromide and then exposed to ultraviolet (UV) light. This is a standard procedure in molecular biology for visualizing DNA.
Step 2: Detailed Explanation:
Ethidium bromide (EtBr) is a fluorescent dye commonly used in gel electrophoresis to visualize nucleic acids (DNA or RNA). EtBr works by intercalating, or inserting itself, between the stacked base pairs of the DNA double helix.
When free in solution, EtBr fluoresces weakly. However, when it is intercalated into DNA, its fluorescence is enhanced significantly. This complex of DNA-EtBr absorbs UV radiation at around 300-360 nm and emits light in the visible spectrum at around 590 nm. This emitted light appears as a bright orange or sometimes reddish-orange color. This allows for the easy detection of DNA bands in an agarose gel under a UV transilluminator.
Step 3: Final Answer:
DNA stained with ethidium bromide fluoresces with a bright orange colour when exposed to UV radiation. Therefore, option (A) is the correct answer.
Quick Tip: Remember the colors associated with common biological stains. Ethidium Bromide + DNA + UV light = Bright Orange. This is a fundamental technique in molecular biology and frequently asked in exams.
Among 'The Evil Quartet', which one is
considered the most important cause driving
extinction of species?
View Solution
Step 1: Understanding the Question:
The question asks to identify the primary cause of species extinction from the four major causes collectively known as 'The Evil Quartet'.
Step 2: Detailed Explanation:
'The Evil Quartet' is a term used to describe the four main causes of biodiversity loss:
1. Habitat Loss and Fragmentation: This is the clearing of forests, filling of wetlands, and conversion of natural habitats for human activities like agriculture, urbanization, and mining. It is widely considered the most significant driver of extinction because it directly removes the physical environment that species need to survive, breed, and feed.
2. Over-exploitation: This refers to harvesting species from the wild at rates faster than natural populations can recover. Examples include overfishing, overhunting, and excessive logging.
3. Alien Species Invasions: The introduction of non-native species into an ecosystem can disrupt the local food web, outcompete native species for resources, and introduce diseases, leading to the decline and extinction of native species.
4. Co-extinctions: This is the secondary extinction of a species as a direct result of the extinction of another species with which it had a vital relationship (e.g., a parasite losing its host, or a plant losing its specific pollinator).
While all four are significant threats, habitat loss and fragmentation affects the largest number of species globally and is the leading cause of endangerment for terrestrial animals and plants.
Step 3: Final Answer:
Among the four major causes of biodiversity loss, habitat loss and fragmentation is considered the most important driver of species extinction. Therefore, option (B) is the correct answer.
Quick Tip: When asked about the "most important" or "primary" cause of biodiversity loss, habitat destruction is almost always the correct answer. It's the foundational threat that impacts the widest range of species.
Which of the following stages of meiosis
involves division of centromere?
View Solution
Step 1: Understanding the Question:
The question asks to identify the specific stage of meiosis during which the centromere, the structure holding sister chromatids together, divides.
Step 2: Detailed Explanation:
Let's review the key events of the meiotic stages:
Meiosis I (Reductional Division): The primary goal is to separate homologous chromosomes.
Metaphase I: Homologous chromosome pairs (bivalents) align at the metaphase plate. The centromeres do not divide.
Anaphase I: Homologous chromosomes move to opposite poles. Sister chromatids remain attached at their centromeres.
Meiosis II (Equational Division): The goal is to separate sister chromatids. This phase is very similar to mitosis.
Metaphase II: Individual chromosomes (each with two sister chromatids) align at the metaphase plate.
Anaphase II: The centromeres holding the sister chromatids together finally divide. The now-separated sister chromatids (referred to as individual chromosomes) are pulled to opposite poles.
Telophase I and II: These are the final stages where nuclei re-form. No centromere division occurs here.
From this breakdown, it is clear that the division of the centromere occurs during Anaphase II.
Step 3: Final Answer:
The division of the centromere, which allows sister chromatids to separate, is the defining event of Anaphase II. Therefore, option (D) is the correct answer.
Quick Tip: A key distinction between Meiosis I and Meiosis II is the behavior of centromeres. In Anaphase I, homologous chromosomes separate but centromeres do not divide. In Anaphase II, centromeres divide and sister chromatids separate.
Which hormone promotes internode/petiole
elongation in deep water rice?
View Solution
Step 1: Understanding the Question:
The question asks to identify the plant hormone responsible for the rapid elongation of internodes or petioles in deep-water rice plants, which is an adaptation to flooding.
Step 2: Detailed Explanation:
Deep-water rice grows in areas that are prone to flooding. To survive, the plant must be able to rapidly elongate its stems (internodes) or leaf stalks (petioles) to keep its leaves above the water surface for photosynthesis.
This rapid growth is primarily triggered by the plant hormone ethylene. When the plant is submerged, the gaseous ethylene gets trapped in the plant tissues, leading to its accumulation. This high concentration of ethylene stimulates cell division and elongation in the internodes, causing the plant to grow taller quickly. Ethylene also increases the sensitivity of the cells to another hormone, gibberellin (like GA\(_3\)), which also promotes stem elongation. However, ethylene is the key trigger in this specific submergence response.
Let's look at the other options:
(A) 2, 4-D is a synthetic auxin, often used as a herbicide.
(B) GA\(_3\) (Gibberellic acid) does promote stem elongation in general (e.g., bolting), but ethylene is the primary signal for this specific response in deep-water rice.
(C) Kinetin is a cytokinin, which primarily promotes cell division and is generally antagonistic to apical dominance.
Step 3: Final Answer:
Ethylene is the hormone that accumulates in submerged parts of deep-water rice and promotes rapid internode/petiole elongation. Therefore, option (D) is the correct answer.
Quick Tip: Associate ethylene with plant responses to stress, such as flooding (deep-water rice elongation), as well as its more common roles in fruit ripening and senescence.
Frequency of recombination between gene
pairs on same chromosome as a measure of
the distance between genes to map their
position on chromosome, was used for the
first time by
View Solution
Step 1: Understanding the Question:
The question asks to identify the scientist who first used the frequency of genetic recombination to create a map of gene positions on a chromosome.
Step 2: Detailed Explanation:
Thomas Hunt Morgan: Working with Drosophila melanogaster (fruit flies), Morgan's lab established the concepts of genetic linkage (genes on the same chromosome tend to be inherited together) and recombination (crossing over can break linkages). He showed that the closer two genes are on a chromosome, the less likely they are to be separated by recombination.
Alfred Sturtevant: While an undergraduate student in Morgan's lab, Sturtevant had a crucial insight in 1913. He reasoned that the frequency of recombination between linked genes could be used as a measure of the physical distance separating them on the chromosome. He used recombination data to construct the very first genetic map, showing the linear arrangement of genes on a chromosome. He proposed that 1% recombination frequency is equal to one map unit or one centimorgan (cM).
Sutton and Boveri: They independently proposed the Chromosomal Theory of Inheritance (around 1902-1903), which states that genes are located on chromosomes. They did not work on gene mapping.
Henking: In 1891, he discovered the X chromosome, referring to it as the 'X body', but he did not know its role in sex determination.
Therefore, it was Alfred Sturtevant who first utilized recombination frequencies for gene mapping.
Step 3: Final Answer:
Alfred Sturtevant was the first to use recombination frequency as a measure of the distance between genes to create a genetic map. Therefore, option (D) is the correct answer.
Quick Tip: Associate key genetic discoveries with the correct scientists: Morgan (linkage), Sturtevant (gene mapping), Sutton and Boveri (chromosomal theory), and Mendel (principles of inheritance). Sturtevant was Morgan's student.
How many ATP and NADPH\(_2\) are required
for the synthesis of one molecule of Glucose
during Calvin cycle?
View Solution
Step 1: Understanding the Question:
The question asks for the total number of ATP and NADPH molecules required to produce one molecule of glucose (\(C_6H_{12}O_6\)) through the Calvin cycle. (Note: NADPH\(_2\) is an older notation for NADPH).
Step 2: Key Formula or Approach:
We need to determine the requirements for one turn of the Calvin cycle (fixing one \(CO_2\)) and then multiply by the number of turns needed for one glucose molecule.
A glucose molecule has 6 carbon atoms, so it requires 6 turns of the Calvin cycle to fix 6 molecules of \(CO_2\).
Step 3: Detailed Explanation:
Let's analyze the energy requirements for one turn of the Calvin cycle:
Carboxylation: Fixation of one \(CO_2\) molecule. No ATP or NADPH is used.
Reduction: The product of carboxylation (a 3-carbon compound) is reduced. This step uses 2 ATP and 2 NADPH per \(CO_2\) molecule fixed.
Regeneration: The initial \(CO_2\) acceptor molecule (RuBP) is regenerated. This step uses 1 ATP per \(CO_2\) molecule fixed.
So, for each \(CO_2\) molecule fixed (one turn of the cycle):
Total ATP required = 2 ATP (reduction) + 1 ATP (regeneration) = 3 ATP
Total NADPH required = 2 NADPH
To synthesize one molecule of glucose (\(C_6H_{12}O_6\)), we need to fix 6 molecules of \(CO_2\). Therefore, we need 6 turns of the Calvin cycle.
Total requirements for one glucose molecule:
Total ATP = \(6 turns \times 3 ATP/turn = \textbf{18 ATP}\)
Total NADPH = \(6 turns \times 2 NADPH/turn = \textbf{12 NADPH}\)
Step 4: Final Answer:
The synthesis of one molecule of glucose requires 18 ATP and 12 NADPH. Therefore, option (C) is the correct answer.
Quick Tip: Remember the "3-2-1" rule for the Calvin cycle: for every \textbf{1} \(CO_2\) fixed, \textbf{3} ATP and \textbf{2} NADPH are used. To make glucose (\(C_6\)), just multiply by 6.
What is the role of RNA polymerase III in
the process of transcription in Eukaryotes?
View Solution
Step 1: Understanding the Question:
The question asks for the specific function of RNA polymerase III in eukaryotic transcription. Eukaryotes have multiple RNA polymerases, each with a specialized role.
Step 2: Detailed Explanation:
In eukaryotic cells, there are three main types of nuclear RNA polymerases, each responsible for transcribing different classes of genes:
RNA Polymerase I: Located in the nucleolus, it is responsible for transcribing the genes for most ribosomal RNAs (rRNAs). Specifically, it synthesizes the precursor for the 18S, 5.8S, and 28S rRNAs.
RNA Polymerase II: Located in the nucleoplasm, it transcribes all protein-coding genes into precursors of messenger RNA (pre-mRNA). It also synthesizes most small nuclear RNAs (snRNAs) and microRNAs (miRNAs).
RNA Polymerase III: Located in the nucleoplasm, it is responsible for transcribing the genes for transfer RNAs (tRNAs), the 5S rRNA (a component of the large ribosomal subunit), and some other small RNAs, including some snRNAs (like U6 snRNA).
Based on this, RNA Polymerase III's primary role is the transcription of tRNA, 5S rRNA, and some snRNAs.
Let's evaluate the options:
(A) It transcribes more than just snRNAs.
(B) This is the role of RNA Polymerase I.
(C) This accurately describes the main functions of RNA Polymerase III.
(D) This is the role of RNA Polymerase II.
Step 3: Final Answer:
The role of RNA Polymerase III is the transcription of tRNA, 5S rRNA, and some snRNAs. Therefore, option (C) is the correct answer.
Quick Tip: Use a mnemonic to remember the roles of eukaryotic RNA polymerases: Pol \textbf{I} for \textbf{r}RNA, Pol \textbf{II} for \textbf{m}RNA, and Pol \textbf{III} for \textbf{t}RNA. (Remembering that Pol I, II, and III have additional roles, but this covers the main ones). The order is R-M-T, corresponding to 1-2-3.
Family Fabaceae differs from Solanaceae and
Liliaceae. With respect to the stamens, pick
out the characteristics specific to family
Fabaceae but not found in Solanaceae or
Liliaceae.
View Solution
Step 1: Understanding the Question:
The question asks for a characteristic of the stamens (androecium) that is specific to the family Fabaceae when compared to Solanaceae and Liliaceae.
Step 2: Detailed Explanation:
Let's compare the stamen characteristics of the three families:
Fabaceae (Pea family): The androecium typically consists of ten stamens. A very common and characteristic feature is the diadelphous condition, where the filaments of nine stamens are fused to form a tube, and the tenth stamen is free. This is represented as (9)+1. The anthers are dithecous (having two lobes).
Solanaceae (Potato family): Typically has five stamens. They are epipetalous, meaning the filaments are attached to the petals. The anthers are dithecous. The stamens are not fused into bundles (not monadelphous, diadelphous, or polyadelphous).
Liliaceae (Lily family): Typically has six stamens, arranged in two whorls of three. They are often epiphyllous (or epitepalous), meaning the filaments are attached to the tepals (undifferentiated petals and sepals). The anthers are dithecous.
Now let's evaluate the options based on what is specific to Fabaceae:
(A) Epiphyllous condition is characteristic of Liliaceae.
(B) The diadelphous condition is a hallmark of many species in the Fabaceae family and is not found in Solanaceae or Liliaceae. Dithecous anthers are common to all three, but the combination with diadelphous is specific.
(C) Polyadelphous (stamens fused into multiple bundles) is found in families like Rutaceae (e.g., Citrus). Epipetalous is found in Solanaceae.
(D) Monoadelphous (all filaments fused into one tube) is found in Malvaceae (e.g., China rose). Monothecous anthers (one lobe) are also a feature of Malvaceae.
Step 3: Final Answer:
The diadelphous condition of stamens is a specific characteristic of the family Fabaceae that distinguishes it from Solanaceae and Liliaceae. Therefore, option (B) is the correct answer.
Quick Tip: For plant family questions, focus on the key diagnostic features of the floral parts: androecium (stamen fusion - adelphy, attachment - epipetalous/epiphyllous) and gynoecium (placentation, ovary position). The (9)+1 diadelphous condition is a classic identifier for Fabaceae.
The process of appearance of recombination
nodules occurs at which sub stage of
prophase I in meiosis?
View Solution
Step 1: Understanding the Question:
The question asks to identify the specific sub-stage of Prophase I of meiosis where recombination nodules appear. Recombination nodules are the sites where genetic crossing over occurs.
Step 2: Detailed Explanation:
Prophase I of meiosis is a long and complex phase divided into five sub-stages:
Leptotene: Chromosomes start to condense and become visible.
Zygotene: Synapsis begins, which is the pairing of homologous chromosomes to form bivalents. The synaptonemal complex starts to form.
Pachytene: Synapsis is complete. The paired homologous chromosomes (bivalents) are clearly visible. This is the stage where crossing over occurs. Large protein complexes called recombination nodules appear at intervals on the synaptonemal complex. These nodules contain the enzymes required to cut and rejoin the DNA of homologous chromatids, leading to genetic exchange.
Diplotene: The synaptonemal complex dissolves, and the homologous chromosomes start to separate from each other, but they remain attached at the sites of crossing over. These X-shaped points of attachment are called chiasmata.
Diakinesis: Chromosomes become fully condensed. The chiasmata terminalize (move towards the ends of the chromatids), and the nuclear envelope breaks down, preparing for Metaphase I.
From the description, the appearance of recombination nodules and the actual process of crossing over are characteristic events of the pachytene stage.
Step 3: Final Answer:
Recombination nodules, the sites of crossing over, appear during the pachytene sub-stage of Prophase I. Therefore, option (C) is the correct answer.
Quick Tip: Use the mnemonic "Lazy Zebras Pick Dandelions Daily" to remember the order of Prophase I stages: Leptotene, Zygotene, Pachytene, Diplotene, Diakinesis. Associate a key event with each: Zygotene (Synapsis), Pachytene (Crossing over/Recombination nodules), Diplotene (Chiasmata visible).
In the equation GPP R = NPP GPP is Gross Primary Productivity NPP is Net Primary Productivity R here is
View Solution
Step 1: Understanding the Question:
The question asks to identify what 'R' represents in the ecological equation GPP - R = NPP.
Step 2: Key Formula or Approach:
The equation relates three key measures of ecosystem productivity: \[ NPP = GPP - R \]
Where:
- GPP (Gross Primary Productivity): The total rate at which solar energy is captured by producers (like plants) during photosynthesis to create organic matter.
- NPP (Net Primary Productivity): The rate at which producers create biomass that is available to the next trophic level (consumers). It is the energy stored as biomass after accounting for metabolic needs.
- R: The portion of GPP that producers use for their own life processes, primarily cellular respiration.
Step 3: Detailed Explanation:
Plants, like all living organisms, must respire to get energy for their metabolic activities (growth, maintenance, reproduction). This process consumes some of the organic matter (glucose) they produce through photosynthesis. This consumption of energy for self-maintenance is known as respiratory loss.
Therefore, the net amount of energy stored as biomass (NPP) is the gross amount produced (GPP) minus the amount lost through respiration (R).
So, R stands for Respiratory loss.
Step 4: Final Answer:
Based on the definition of net and gross primary productivity, R in the equation GPP - R = NPP represents the energy lost by the producers through respiration.
Quick Tip: Think of GPP as the 'gross salary' of an ecosystem. 'R' is the 'tax' or 'living expenses' (energy used for respiration). 'NPP' is the 'net or take-home salary' (energy available for growth and for other organisms).
The reaction centre in PS II has an absorption maxima at
View Solution
Step 1: Understanding the Question:
The question asks for the specific wavelength of light at which the reaction center of Photosystem II (PS II) shows maximum absorption.
Step 2: Detailed Explanation:
In higher plants and algae, photosynthesis is driven by two photosystems: Photosystem I (PS I) and Photosystem II (PS II).
Each photosystem consists of a light-harvesting complex (antenna molecules) and a reaction center.
The reaction center is a special pair of chlorophyll 'a' molecules that gets excited and initiates the electron transport chain.
- The reaction center of Photosystem II (PS II) is called P680 because it absorbs light most effectively at a wavelength of 680 nm.
- The reaction center of Photosystem I (PS I) is called P700 because it absorbs light most effectively at a wavelength of 700 nm.
The question specifically asks about PS II.
Step 3: Final Answer:
The reaction center in PS II has an absorption maximum at 680 nm.
Quick Tip: A simple way to remember is that PS II (the second one named) comes first in the electron flow and has a smaller wavelength number (P680), while PS I (the first one named) comes second in the flow and has a larger wavelength number (P700).
Unequivocal proof that DNA is the genetic material was first proposed by
View Solution
Step 1: Understanding the Question:
The question asks to identify the scientist(s) who provided the definitive, or "unequivocal," experimental proof that DNA, and not protein, is the molecule of heredity.
Step 2: Detailed Explanation:
Let's review the contributions of the scientists listed:
- Frederick Griffith (1928): His experiment with Streptococcus pneumoniae demonstrated the "transforming principle," showing that some substance could be transferred from dead virulent bacteria to live non-virulent bacteria, making them virulent. However, he did not identify what this substance was.
- Avery, Macleoid, and McCarthy (1944): They further investigated Griffith's transforming principle. Through a series of experiments using enzymes to destroy different macromolecules (proteases, RNases, DNases), they showed that only the destruction of DNA prevented transformation. This provided strong biochemical evidence that DNA was the genetic material, but many scientists remained skeptical, still favoring proteins.
- Alfred Hershey and Martha Chase (1952): They conducted the "blender experiment" using bacteriophages (viruses that infect bacteria). They labeled the viral DNA with radioactive phosphorus (\(^{32\)P) and the viral protein coat with radioactive sulfur (\(^{35}\)S). They found that only the \(^{32}\)P (DNA) entered the bacterial host cell to direct the synthesis of new viruses. This provided the clear, unequivocal proof that DNA is the genetic material.
- Wilkins and Franklin: Their work involved X-ray diffraction of DNA, which was critical for Watson and Crick to deduce the double-helix structure of DNA. Their work was about structure, not function as the primary genetic material.
Step 3: Final Answer:
The Hershey-Chase experiment provided the first widely accepted and unequivocal proof that DNA is the genetic material.
Quick Tip: Remember the timeline of discovery: Griffith showed something was transferred. Avery et al. showed it was likely DNA. Hershey and Chase proved it was DNA with their definitive experiment using radioactive tracers.
Spraying of which of the following phytohormone on juvenile conifers helps in hastening the maturity period, that leads to early seed production?
View Solution
Step 1: Understanding the Question:
The question asks which plant hormone (phytohormone) can be used to speed up the maturation process in young conifer trees to make them produce seeds earlier than they would naturally.
Step 2: Detailed Explanation:
Let's analyze the functions of the given hormones:
- Abscisic Acid (ABA): Primarily a growth-inhibiting hormone, involved in stress responses, dormancy, and abscission (shedding of leaves, fruits). It does not promote early maturity.
- Indole-3-butyric Acid (IBA): An auxin, primarily used to promote root formation in plant cuttings. It is involved in cell elongation and apical dominance but not in hastening maturity.
- Gibberellic Acid (GA): A growth-promoting hormone with many functions, including stimulating stem elongation (bolting), breaking seed dormancy, and promoting flowering. In forestry, spraying juvenile conifers with GAs is a standard practice to overcome juvenility and induce early cone and seed production. This is highly valuable for breeding programs.
- Zeatin: A type of cytokinin, primarily involved in promoting cell division (cytokinesis), overcoming apical dominance, and delaying senescence. It does not hasten the maturity period.
Step 3: Final Answer:
Spraying with Gibberellic Acid is the correct method to hasten maturity and promote early seed production in juvenile conifers.
Quick Tip: Associate Gibberellins with "speeding up" processes in plants: speeding up malting, speeding up growth (bolting), and speeding up the transition from a juvenile to a mature, reproductive state.
What is the function of tassels in the corn cob?
View Solution
Step 1: Understanding the Question:
The question asks about the function of structures associated with the corn cob, which it refers to as "tassels". This question contains a common terminological error that needs clarification to arrive at the correct answer based on the given options.
Step 2: Detailed Explanation:
In the corn plant (Zea mays), the male and female flowers are separate.
- Tassel: This is the male inflorescence located at the very top of the plant. Its function is to produce and disperse pollen grains (Option D).
- Cob (or Ear): This is the female inflorescence, located in the leaf axils. It develops into the fruit containing the kernels (seeds).
- Silks: These are the long, thread-like styles and stigmas that emerge from the tip of the cob. Each silk is connected to an ovule. The function of the feathery silks is to trap the airborne pollen grains (Option C) released from the tassel.
The question "What is the function of tassels in the corn cob?" is anatomically incorrect because tassels are not part of the cob. However, given the options, the question is almost certainly referring to the silks of the cob but has mislabeled them as tassels. The function of the silks is to trap pollen grains.
Step 3: Final Answer:
Assuming the question incorrectly uses the word "tassels" to mean the "silks" on the corn cob, their function is to trap pollen grains. Option (C) describes the function of the silks. Option (D) describes the function of the actual tassels, which are not on the cob. Given the context of the options, (C) is the intended answer.
Quick Tip: Be prepared for poorly phrased questions in exams. Understand the correct terminology: Tassel = Male part at the top, disperses pollen. Silk = Female part on the cob, traps pollen. Use the options to deduce the question's intent.
During the purification process for recombinant DNA technology, addition of chilled ethanol precipitates out
View Solution
Step 1: Understanding the Question:
The question concerns a specific step in the purification of DNA, particularly in the context of recombinant DNA technology. It asks which molecule is precipitated when chilled ethanol is added.
Step 2: Detailed Explanation:
The isolation of DNA from a cell is a fundamental procedure in molecular biology. The typical steps are:
1. Lysis: Breaking open the cells to release their contents, including DNA.
2. Purification: Removing other macromolecules like proteins, RNA, and lipids. This is often done using enzymes (e.g., protease for proteins, RNase for RNA) and other chemical treatments.
3. Precipitation: After purification, the DNA is in an aqueous solution. DNA is not soluble in alcohol (like ethanol or isopropanol). When chilled ethanol is added to the aqueous solution, the DNA molecules clump together and precipitate out of the solution, forming a visible mass of fine, white threads. This allows for the easy collection of purified DNA.
Other molecules like RNA can also precipitate with ethanol but are usually removed beforehand. Histones (proteins) would have been removed during the purification step.
Step 3: Final Answer:
The addition of chilled ethanol to the purified cell lysate causes the DNA to precipitate.
Quick Tip: Remember the principle: "Like dissolves like." DNA is a polar molecule and dissolves in polar water. Ethanol is less polar than water. Adding ethanol reduces the solubility of DNA, causing it to precipitate. The cold temperature further reduces solubility.
In angiosperm, the haploid, diploid and triploid structures of a fertilized embryo sac sequentially are :
View Solution
Step 1: Understanding the Question:
The question asks to identify a set of three structures from a fertilized angiosperm embryo sac that are, in order, haploid (n), diploid (2n), and triploid (3n).
Step 2: Detailed Explanation:
Let's determine the ploidy level of key structures in an embryo sac after fertilization:
- Haploid (n): The synergids and antipodal cells are part of the female gametophyte. They are haploid. Although they degenerate after fertilization, they are present at the time of fertilization.
- Diploid (2n): The zygote is formed from the fusion of one haploid male gamete (n) with the haploid egg cell (n). Thus, the zygote is diploid (2n).
- Triploid (3n): The Primary Endosperm Nucleus (PEN) is formed by the process of triple fusion, where the second haploid male gamete (n) fuses with the diploid central cell (which contains two polar nuclei, n + n). Thus, the PEN is triploid (3n).
Now we check the options for the sequence: haploid (n), diploid (2n), triploid (3n).
- (A) Synergids (n), antipodals (n), Polar nuclei (n+n, not 3n and not a post-fertilization structure in this form). Incorrect.
- (B) Synergids (n), Primary endosperm nucleus (3n), zygote (2n). The order is n, 3n, 2n. Incorrect.
- (C) Antipodals (n), synergids (n), primary endosperm nucleus (3n). The order starts with two haploid structures. Incorrect.
- (D) Synergids (n), Zygote (2n), Primary endosperm nucleus (3n). This matches the required sequence of n, 2n, 3n.
Step 3: Final Answer:
The correct sequential order of haploid, diploid, and triploid structures is Synergids, Zygote, and Primary endosperm nucleus.
Quick Tip: Memorize the outcomes of double fertilization: 1. Syngamy: male gamete (n) + egg (n) \(\rightarrow\) Zygote (2n) 2. Triple Fusion: male gamete (n) + central cell (n+n) \(\rightarrow\) PEN (3n) Any other cell in the embryo sac (synergids, antipodals) is haploid (n).
Large, colourful, fragrant flowers with nectar are seen in :
View Solution
Step 1: Understanding the Question:
The question describes a flower with specific traits (large, colorful, fragrant, nectar-producing) and asks to identify the most likely mode of pollination.
Step 2: Detailed Explanation:
The characteristics of flowers are adaptations to attract specific pollinating agents. This is known as a pollination syndrome.
- Large and colourful flowers: These are visual attractants for pollinators.
- Fragrance: This is an olfactory (smell) attractant.
- Nectar: This serves as a food reward for the pollinator.
Let's analyze the options:
- (A) Wind pollinated plants (Anemophily): Flowers are typically small, inconspicuous, not colorful, and lack fragrance and nectar because they don't need to attract animals.
- (B) Insect pollinated plants (Entomophily): Insects, particularly bees and butterflies, are attracted by bright colors (like blue, yellow, UV patterns), sweet fragrances, and nectar rewards. The described flower fits this syndrome perfectly.
- (C) Bird pollinated plants (Ornithophily): Flowers are often large and brightly colored (especially red or orange), produce copious amounts of nectar, but are typically odorless, as birds have a poor sense of smell.
- (D) Bat pollinated plants (Chiropterophily): Flowers are typically large, pale or white, open at night, and emit a strong, musty, or fermented fruit-like odor. They also produce a lot of nectar.
The combination of being colourful, fragrant, and having nectar is a classic adaptation for attracting insects.
Step 3: Final Answer:
The described floral characteristics are typical of insect-pollinated plants.
Quick Tip: To solve pollination questions, create a mental checklist for each pollinator type. For insects, the key features are: colorful + fragrant + nectar. For birds: colorful (often red) + lots of nectar + no scent. For wind: dull + no nectar/scent + lots of light pollen.
In tissue culture experiments, leaf mesophyll cells are put in a culture medium to form callus. This phenomenon may be called as :
View Solution
Step 1: Understanding the Question:
The question asks for the biological term for the process where specialized (differentiated) cells, like leaf mesophyll cells, are induced to divide and form an undifferentiated mass of cells (callus) in a laboratory setting.
Step 2: Detailed Explanation:
Let's define the terms:
- Differentiation: The process by which a less specialized cell becomes a more specialized cell type. For example, a meristematic cell becomes a mesophyll cell.
- Dedifferentiation: The process by which cells that have already differentiated and lost their ability to divide, regain the capacity for cell division under certain conditions. The formation of a callus from a differentiated plant part (explant) like a leaf mesophyll cell is the classic example. The specialized cell reverts to an undifferentiated, meristematic state.
- Redifferentiation: The process where dedifferentiated cells (like those in a callus) then differentiate again to form specialized cells and tissues, ultimately forming a whole plantlet.
- Senescence: The process of aging in tissues and organs.
- Development: The overall process of change that an organism goes through during its life cycle, including growth, differentiation, and maturation.
The phenomenon described in the question, where mature mesophyll cells form a callus, is precisely the definition of dedifferentiation.
Step 3: Final Answer:
The formation of callus from differentiated leaf mesophyll cells is called dedifferentiation.
Quick Tip: Remember the three 'D's of plant tissue culture in order: A differentiated explant undergoes \textbf{Dedifferentiation} to form a callus, which then undergoes \textbf{Redifferentiation} to form a new plant.
Given below are two statements :
Statement I: The forces generated by transpiration can lift a xylem-sized column of water over 130 meters height.
Statement II: Transpiration cools leaf surfaces sometimes 10 to 15 degrees, by evaporative cooling.
In the light of the above statements, choose the most appropriate answer from the options given below :
View Solution
Step 1: Understanding the Question:
The task is to evaluate the correctness of two separate statements related to the process of transpiration in plants.
Step 2: Detailed Explanation:
Analysis of Statement I:
This statement refers to the Cohesion-Tension theory of water transport in plants. The main driving force for pulling water up the xylem is the transpiration pull generated at the leaf surface. This pull creates a negative pressure or tension in the xylem. The properties of water — cohesion (attraction between water molecules) and adhesion (attraction between water and xylem walls) — allow this tension to be transmitted down the entire water column. The tensile strength of a continuous water column in the narrow xylem vessels is remarkably high, capable of supporting a column of water much taller than the tallest trees on Earth (like redwoods, which can exceed 115 meters). Therefore, the statement that these forces can lift water over 130 meters is considered scientifically correct.
Analysis of Statement II:
Transpiration is the evaporation of water from the plant's surface, primarily from the leaves. Evaporation is a physical process that requires energy, known as the latent heat of vaporization. This energy is taken from the leaf tissue itself. By removing heat energy, evaporation has a significant cooling effect. This process of evaporative cooling can lower the temperature of the leaf surface by 10 to 15 degrees Celsius compared to the surrounding air, which is crucial for preventing heat damage to enzymes and metabolic processes, especially under intense sunlight. This statement is also correct.
Step 3: Final Answer:
Both Statement I and Statement II are factually correct statements describing two important aspects of transpiration.
Quick Tip: Remember the two main roles of transpiration: (1) It's the engine that pulls the water column up the plant (Cohesion-Tension theory). (2) It acts as the plant's air conditioner through evaporative cooling. Both statements describe these key functions.
The historic Convention on Biological Diversity, 'The Earth Summit' was held in Rio de Janeiro in the year :
View Solution
Step 1: Understanding the Question:
The question asks for the year when the 'Earth Summit', which led to the Convention on Biological Diversity, was held in Rio de Janeiro.
Step 2: Detailed Explanation:
The United Nations Conference on Environment and Development (UNCED), popularly known as the Earth Summit or the Rio Summit, was a landmark international conference held in Rio de Janeiro, Brazil. The summit took place in 1992.
It was historic because it resulted in several major international agreements on environmental issues. One of the most significant outcomes was the Convention on Biological Diversity (CBD), which was opened for signature at the summit. Other key outcomes included Agenda 21 and the Framework Convention on Climate Change (UNFCCC).
- The year 2002 corresponds to the World Summit on Sustainable Development (Rio+10) held in Johannesburg.
- The other years listed are not associated with this specific event.
Step 3: Final Answer:
The Earth Summit in Rio de Janeiro was held in the year 1992.
Quick Tip: The 1992 Rio Earth Summit is a foundational date in environmental policy. Link "Rio," "Earth Summit," and "1992" together in your memory. It's a very common question in exams covering environmental issues and biodiversity.
In gene gun method used to introduce alien DNA into host cells, microparticles of __________ metal are used.
View Solution
Step 1: Understanding the Question:
The question asks about the type of metal microparticles used in the gene gun method for genetic transformation.
Step 2: Detailed Explanation:
The gene gun method, also known as biolistics or microprojectile bombardment, is a physical method for introducing foreign DNA into cells.
In this technique:
1. The desired foreign DNA is coated onto microscopic particles.
2. These particles must be dense enough to penetrate the cell wall and membrane without causing excessive damage to the cell.
3. They must also be chemically inert so they do not react with the DNA or the cell's internal environment.
4. The metals that fit these criteria and are commonly used are tungsten and gold.
5. These DNA-coated microparticles are then accelerated to high velocity by a "gene gun" and shot into the target cells or tissues.
Step 3: Final Answer:
Therefore, microparticles of tungsten or gold are used in the gene gun method.
Quick Tip: Remember the term "biolistics," which is a combination of "biological" and "ballistics." This helps recall that the method involves shooting DNA-coated particles (like tiny bullets) into cells. Gold and Tungsten are used because they are heavy and non-reactive.
Movement and accumulation of ions across a membrane against their concentration gradient can be explained by
View Solution
Step 1: Understanding the Question:
The question asks to identify the transport mechanism responsible for moving ions across a membrane "against their concentration gradient."
Step 2: Detailed Explanation:
Let's define the key terms:
- Concentration Gradient: The difference in the concentration of a substance between two areas. Molecules naturally tend to move from an area of high concentration to an area of low concentration (i.e., down the gradient).
- Against the concentration gradient: This means moving a substance from an area of low concentration to an area of high concentration. This is like pushing something uphill and requires energy.
Now let's review the transport options:
- Passive Transport: The movement of substances down the concentration gradient, without the use of cellular energy. Simple diffusion is a type of passive transport.
- Facilitated Diffusion: A type of passive transport where substances move down the concentration gradient with the help of membrane proteins (channels or carriers). It does not require energy.
- Osmosis: The specific movement of water across a semipermeable membrane from a region of high water potential to low water potential. It is a type of passive transport.
- Active Transport: The movement of substances against their concentration gradient. This process requires carrier proteins and the expenditure of cellular energy, typically in the form of ATP.
Step 3: Final Answer:
The movement of ions against a concentration gradient is the definition of Active Transport.
Quick Tip: Associate "against the gradient" with requiring energy, just like walking uphill. The word "active" in Active Transport implies the use of energy. Passive transport (including facilitated diffusion and osmosis) is "downhill" and requires no energy.
Axile placentation is observed in
View Solution
Step 1: Understanding the Question:
The question asks to identify the group of plants that all exhibit axile placentation. Placentation refers to the arrangement of ovules within the ovary.
Step 2: Detailed Explanation:
Axile Placentation: In this type, the placenta is axial and the ovules are attached to it in a multilocular (multi-chambered) ovary. Imagine an orange cut in cross-section; the seeds are attached to the central column.
Let's analyze the placentation types for the plants in each option:
- China rose (Hibiscus): Has axile placentation.
- Petunia: Has axile placentation.
- Lemon (Citrus): Has axile placentation.
- Mustard: Has parietal placentation.
- Cucumber: Has parietal placentation.
- Primrose: Has free-central placentation.
- Beans and Lupin (Legumes): Have marginal placentation.
- Tomato: Has axile placentation.
- Dianthus: Has free-central placentation.
- Pea (Legume): Has marginal placentation.
Now, let's evaluate the options:
- (A) China rose, Petunia and Lemon: All three show axile placentation. This option is correct.
- (B) Mustard, Cucumber and Primrose: A mix of parietal and free-central placentation. Incorrect.
- (C) China rose, Beans and Lupin: A mix of axile and marginal placentation. Incorrect.
- (D) Tomato, Dianthus and Pea: A mix of axile, free-central, and marginal placentation. Incorrect.
Step 3: Final Answer:
The correct combination of plants all showing axile placentation is China rose, Petunia, and Lemon.
Quick Tip: For placentation, memorize key examples for each type. For Axile placentation, remember the common examples: Tomato, China rose, and Lemon (Citrus). "ACT" - Axile in China rose and Tomato.
Identify the correct statements :
A. Detrivores perform fragmentation.
B. The humus is further degraded by some microbes during mineralization.
C. Water soluble inorganic nutrients go down into the soil and get precipitated by a process called leaching.
D. The detritus food chain begins with living organisms.
E. Earthworms break down detritus into smaller particles by a process called catabolism.
Choose the correct answer from the options given below :
View Solution
Step 1: Understanding the Question:
The question asks to identify the set of correct statements regarding the process of decomposition in an ecosystem.
Step 2: Detailed Explanation of Each Statement:
- A. Detrivores perform fragmentation. This is correct. Detritivores, such as earthworms, physically break down large pieces of detritus (dead organic matter) into smaller particles. This process is called fragmentation and it increases the surface area for microbial action.
- B. The humus is further degraded by some microbes during mineralization. This is correct. Humus is a dark, amorphous, and stable form of organic matter. It degrades very slowly, but microbes eventually break it down, releasing inorganic nutrients back into the soil. This release of inorganic nutrients from humus is called mineralization.
- C. Water soluble inorganic nutrients go down into the soil and get precipitated by a process called leaching. This is correct. Leaching is the process where water percolating through the soil carries dissolved, water-soluble nutrients downward through the soil profile. These nutrients can then become unavailable to plants if they are precipitated as salts in deeper soil layers.
- D. The detritus food chain begins with living organisms. This is incorrect. The detritus food chain (DFC) begins with dead organic matter (detritus). It is the grazing food chain (GFC) that begins with living organisms (producers like plants).
- E. Earthworms break down detritus into smaller particles by a process called catabolism. This is incorrect. The process by which earthworms break down detritus into smaller particles is called fragmentation. Catabolism refers to the chemical breakdown of complex organic molecules into simpler inorganic substances by the action of bacterial and fungal enzymes.
Step 3: Final Answer:
The correct statements are A, B, and C. Therefore, the correct option is (B).
Quick Tip: Remember the five key steps of decomposition in order: Fragmentation (physical breakdown), Leaching (nutrient loss to lower soil), Catabolism (enzymatic breakdown), Humification (humus formation), and Mineralization (release of inorganic nutrients). Distinguish between fragmentation (physical) and catabolism (chemical/enzymatic).
Among eukaryotes, replication of DNA takes place in
View Solution
Step 1: Understanding the Question:
The question asks to identify the specific phase of the eukaryotic cell cycle during which DNA replication occurs.
Step 2: Detailed Explanation:
The eukaryotic cell cycle is divided into two main stages: Interphase and M phase (Mitotic phase).
Interphase is the period of growth and preparation for cell division. It is further subdivided into three phases:
- G\(_1\) phase (Gap 1): This is the first growth phase where the cell increases in size and synthesizes proteins and RNA. The cell is metabolically active, but DNA does not replicate.
- S phase (Synthesis phase): This is the phase where DNA replication takes place. Each chromosome is duplicated, resulting in two sister chromatids. The amount of DNA in the cell doubles (from 2C to 4C), but the chromosome number remains the same.
- G\(_2\) phase (Gap 2): This is the second growth phase. The cell continues to grow and synthesize proteins, preparing for mitosis.
M phase is the phase of actual cell division, which includes mitosis (nuclear division) and cytokinesis (cytoplasmic division). No DNA replication occurs here.
Step 3: Final Answer:
Based on the phases of the cell cycle, DNA replication specifically occurs during the S phase.
Quick Tip: The letter 'S' in S phase stands for 'Synthesis'. This makes it easy to remember that this is the phase where new DNA is synthesized.
Given below are two statements :
Statement I: Endarch and exarch are the terms often used for describing the position of secondary xylem in the plant body.
Statement II: Exarch condition is the most common feature of the root system.
In the light of the above statements, choose the correct answer from the options given below:
View Solution
Step 1: Understanding the Question:
The question requires an evaluation of two statements regarding the terms 'endarch' and 'exarch' in plant anatomy.
Step 2: Detailed Explanation:
Analysis of Statement I:
The terms 'endarch' and 'exarch' describe the pattern of development of primary xylem, not secondary xylem.
- Endarch: The protoxylem (the first formed primary xylem) is located towards the center (pith), and the metaxylem (later formed primary xylem) is located towards the periphery. This is characteristic of stems.
- Exarch: The protoxylem is located towards the periphery, and the metaxylem is located towards the center. This is characteristic of roots.
Secondary xylem, formed by the vascular cambium, does not have this protoxylem-metaxylem distinction. Therefore, Statement I is incorrect.
Analysis of Statement II:
This statement claims that the exarch condition is the most common feature of the root system. As explained above, the arrangement of primary xylem in roots is indeed exarch. This arrangement allows the root to grow deeper into the soil without damaging the younger, developing xylem tissues. Therefore, Statement II is true.
Step 3: Final Answer:
Since Statement I is incorrect and Statement II is true, the correct option is (A).
Quick Tip: Use a mnemonic to remember the difference: \textbf{EX}arch is for \textbf{EX}ternal (protoxylem on the outside), found in roots. \textbf{EN}darch is for \textbf{EN}ternal (protoxylem on the inside), found in stems. Remember these terms apply only to \textbf{primary} tissues.
The phenomenon of pleiotropism refers to
View Solution
Step 1: Understanding the Question:
The question asks for the definition of the genetic term "pleiotropism" (or pleiotropy).
Step 2: Detailed Explanation:
Let's analyze the genetic phenomena described in the options:
- Pleiotropy: This occurs when a single gene influences two or more seemingly unrelated phenotypic traits. For example, the gene that causes phenylketonuria (PKU) in humans can lead to mental retardation, reduced hair pigmentation, and skin pigmentation. This matches option (D).
- Polygenic Inheritance: This is the opposite of pleiotropy. It's when a single trait (like human height or skin color) is controlled by multiple genes. This matches the description in option (A).
- Multiple Alleles: This refers to a situation where a single gene has more than two alleles in a population (e.g., the ABO blood group gene). Option (B) partially and incorrectly describes this.
- Option (C) describes a simple Mendelian dihybrid cross scenario, not a specific named phenomenon.
Step 3: Final Answer:
Pleiotropism is correctly defined as a single gene affecting multiple phenotypic expressions.
Quick Tip: To remember, think of "pleio-" as meaning "many" and "-tropy" as "effects" or "ways." So, pleiotropy means one gene has many effects. This is the opposite of polygenic ("many genes") inheritance, where many genes have one effect (a single trait).
Identify the pair of heterosporous pteridophytes among the following :
View Solution
Step 1: Understanding the Question:
The question asks to identify a pair of pteridophytes where both members are heterosporous.
Step 2: Detailed Explanation:
Pteridophytes can be classified based on the types of spores they produce:
- Homosporous: They produce only one type of spore, which grows into a bisexual (monoecious) gametophyte. Most pteridophytes are homosporous.
- Heterosporous: They produce two distinct types of spores: smaller microspores (male) and larger megaspores (female). Microspores develop into male gametophytes, and megaspores develop into female gametophytes. This condition is an important evolutionary step towards the seed habit.
Let's classify the given genera:
- Equisetum (Horsetail): Homosporous
- Lycopodium (Club moss): Homosporous
- Psilotum (Whisk fern): Homosporous
- Selaginella (Spike moss): Heterosporous
- Salvinia (Water fern): Heterosporous
Now, let's evaluate the options:
- (A) Equisetum (homosporous) and Salvinia (heterosporous). Incorrect.
- (B) Lycopodium (homosporous) and Selaginella (heterosporous). Incorrect.
- (C) Selaginella (heterosporous) and Salvinia (heterosporous). Both are heterosporous. Correct.
- (D) Psilotum (homosporous) and Salvinia (heterosporous). Incorrect.
Step 3: Final Answer:
The pair of pteridophytes where both are heterosporous is Selaginella and Salvinia.
Quick Tip: For exams, it's crucial to memorize the key examples of heterosporous pteridophytes. The main ones to remember are Selaginella, Salvinia, Marsilea, and Azolla. If a plant from this list appears, it's heterosporous. Most others, like Dryopteris, Pteris, Lycopodium, and Equisetum, are homosporous.
Given below are two statements: One is labelled as Assertion A and the other is labelled as Reason R :
Assertion A: Late wood has fewer xylary elements with narrow vessels.
Reason R: Cambium is less active in winters.
In the light of the above statements, choose the correct answer from the options given below:
View Solution
Step 1: Understanding the Question:
This is an Assertion-Reason question. We need to evaluate if both statements are true and if the Reason correctly explains the Assertion. The topic is the formation of annual rings in wood due to seasonal variations in cambial activity.
Step 2: Analyzing Assertion A:
"Late wood has fewer xylary elements with narrow vessels."
Late wood, also known as autumn wood, is the secondary xylem formed during the later part of the growing season (autumn/winter). During this period, environmental conditions are less favorable for growth. As a result, the wood produced has fewer tracheary elements (vessels and tracheids), the vessels are much narrower, and the wood is denser. So, Assertion A is true.
Step 3: Analyzing Reason R:
"Cambium is less active in winters."
The vascular cambium is responsible for secondary growth. Its activity is regulated by physiological and environmental factors, including temperature and hormones. In temperate climates, the cambium is highly active in the spring but becomes less active as winter approaches. This reduced activity is a direct response to the unfavorable conditions of winter. So, Reason R is true.
Step 4: Linking Assertion and Reason:
The reason for the structural difference between early wood and late wood is the change in cambial activity. The low activity of the cambium in winter (Reason R) leads directly to the production of fewer and narrower xylary elements (Assertion A). Therefore, Reason R is the correct explanation for Assertion A.
Step 5: Final Answer:
Both Assertion A and Reason R are true, and R provides the correct explanation for A.
Quick Tip: Think of the seasons' effect on a tree's 'plumbing'. Spring (high activity) = needs big pipes (wide vessels of early wood) for lots of water. Winter (low activity) = needs small, strong pipes (narrow vessels of late wood) as water transport is minimal. The difference in activity (Reason) explains the difference in structure (Assertion).
Identify the correct statements :
A. Lenticels are the lens-shaped openings permitting the exchange of gases.
B. Bark formed early in the season is called hard bark.
C. Bark is a technical term that refers to all tissues exterior to vascular cambium.
D. Bark refers to periderm and secondary phloem.
E. Phellogen is single-layered in thickness.
Choose the correct answer from the options given below :
View Solution
Step 1: Understanding the Question:
The question requires us to evaluate five statements related to the anatomy of a plant stem, specifically about bark and associated structures, and identify the correct ones.
Step 2: Detailed Explanation of Each Statement:
- A. Lenticels are the lens-shaped openings permitting the exchange of gases. This is correct. Lenticels are porous regions in the periderm that allow for the direct exchange of gases between the internal tissues of the stem and the atmosphere.
- B. Bark formed early in the season is called hard bark. This is incorrect. Bark formed early in the season, when cambial activity is high, is known as 'soft bark'. Bark formed late in the season is called 'hard bark'.
- C. Bark is a technical term that refers to all tissues exterior to vascular cambium. This is incorrect. While "bark" is often used broadly to mean all tissues outside the vascular cambium, it is considered a non-technical term. Statement D gives a more precise, technical composition. The use of "technical term" makes this statement inaccurate.
- D. Bark refers to periderm and secondary phloem. This is correct. Technically, bark is composed of two main regions: the outer bark (periderm) and the inner bark (secondary phloem). This is the accepted anatomical definition.
- E. Phellogen is single-layered in thickness. This is incorrect. Phellogen, or cork cambium, is a meristematic tissue. It is typically a few layers of cells thick, not just a single layer.
Step 3: Final Answer:
Based on the analysis, only statements A and D are correct. Therefore, the correct option is (C).
Quick Tip: Remember the components of bark: Bark = Inner Bark + Outer Bark. Inner Bark = Secondary Phloem. Outer Bark = Periderm. Periderm = Phellogen (cork cambium) + Phellem (cork) + Phelloderm (secondary cortex). This detailed breakdown helps clarify definitions.
Match List I with List II :
List I & List II
A. M Phase & I. Proteins are synthesized
B. G\(_2\) Phase & II. Inactive phase
C. Quiescent stage & III. Interval between mitosis and initiation of DNA replication
D. G\(_1\) Phase & IV. Equational division
Choose the correct answer from the options given below :
View Solution
Step 1: Understanding the Question:
The question asks to match the phases of the cell cycle (List I) with their corresponding events or descriptions (List II).
Step 2: Matching Each Item:
- A. M Phase: This is the mitotic phase where the cell divides. Mitosis is known as an equational division because the chromosome number in the daughter cells is the same as in the parent cell. Thus, A matches IV.
- B. G\(_2\) Phase: This is the gap 2 phase, which occurs after DNA synthesis and before mitosis. During this phase, the cell continues to grow and proteins are synthesized (e.g., tubulin for spindle fibers) in preparation for division. Thus, B matches I.
- C. Quiescent stage (G\(_0\)): This is a phase where cells exit the cell cycle and stop dividing. They are metabolically active but do not proliferate. It is considered an inactive phase with respect to the cell cycle. Thus, C matches II.
- D. G\(_1\) Phase: This is the gap 1 phase, which is the interval between the end of the previous mitosis (M phase) and the initiation of DNA replication (S phase). Thus, D matches III.
Step 3: Compiling the Correct Match:
The correct matches are: A \(\rightarrow\) IV, B \(\rightarrow\) I, C \(\rightarrow\) II, D \(\rightarrow\) III. This combination corresponds to option (D).
Quick Tip: Visualize the cell cycle diagram: M \(\rightarrow\) G\(_1\) \(\rightarrow\) S \(\rightarrow\) G\(_2\) \(\rightarrow\) M. G\(_1\) is the "interval" before S. S is "synthesis". G\(_2\) is preparation for M. M is "mitosis/division". G\(_0\) is an exit ramp from G\(_1\). This mental map makes matching questions straightforward.
Given below are two statements: One is labelled as Assertion A and the other is labelled as Reason R :
Assertion A: In gymnosperms the pollen grains are released from the microsporangium and carried by air currents.
Reason R: Air currents carry the pollen grains to the mouth of the archegonia where the male gametes are discharged and pollen tube is not formed.
In the light of the above statements, choose the correct answer from the options given below :
View Solution
Step 1: Understanding the Question:
This is an Assertion-Reason question about pollination and fertilization in gymnosperms. We need to evaluate the truthfulness of both statements and the relationship between them.
Step 2: Analyzing Assertion A:
"In gymnosperms the pollen grains are released from the microsporangium and carried by air currents."
This statement describes anemophily (wind pollination), which is the characteristic mode of pollination in most gymnosperms (e.g., pines, cycads). Pollen grains are produced in microsporangia (pollen sacs) and are light and often winged, adapted for dispersal by wind. So, Assertion A is true.
Step 3: Analyzing Reason R:
"Air currents carry the pollen grains to the mouth of the archegonia where the male gametes are discharged and pollen tube is not formed."
This statement has multiple parts. The first part, that air currents carry pollen to the female structure (ovule containing the archegonia), is correct. However, the last part, "pollen tube is not formed," is definitively false. A key feature of seed plants (both gymnosperms and angiosperms) is siphonogamy, the formation of a pollen tube. After landing near the micropyle of the ovule, the pollen grain germinates and grows a pollen tube, which delivers the non-motile male gametes to the egg cell within the archegonium for fertilization.
Step 4: Final Answer:
Since Assertion A is true and Reason R is false, the correct option is (D).
Quick Tip: Remember that the pollen tube is a major evolutionary innovation that made seed plants independent of water for fertilization. Both gymnosperms and angiosperms form pollen tubes. The absence of a pollen tube is characteristic of more primitive groups like bryophytes and pteridophytes, which still require water for motile sperm to swim to the egg.
Match List I with List II :
List I & List II
A. Iron & I. Synthesis of auxin
B. Zinc & II. Component of nitrate reductase
C. Boron & III. Activator of catalase
D. Molybdenum & IV. Cell elongation and differentiation
Choose the correct answer from the options given below :
View Solution
Step 1: Understanding the Question:
The question requires matching micronutrients (List I) with their specific functions or roles in plants (List II).
Step 2: Matching Each Item:
- A. Iron (Fe): Iron is a crucial component of electron-carrying proteins like cytochromes and is essential for chlorophyll synthesis. It also serves as an activator for the enzyme catalase, which breaks down hydrogen peroxide. Thus, A matches III.
- B. Zinc (Zn): Zinc is a cofactor for many enzymes, especially carboxylases. Its most frequently tested role is its requirement for the synthesis of auxin (specifically, Indole-3-acetic acid or IAA) from the amino acid tryptophan. Thus, B matches I.
- C. Boron (B): Boron is involved in a wide range of functions, including calcium uptake, pollen germination, and membrane function. Critically, it plays a role in cell elongation and cell differentiation. Thus, C matches IV.
- D. Molybdenum (Mo): Molybdenum is a component of key enzymes involved in nitrogen metabolism, namely nitrate reductase (which converts nitrate to nitrite) and nitrogenase (for nitrogen fixation). Thus, D matches II.
Step 3: Compiling the Correct Match:
The correct matches are: A \(\rightarrow\) III, B \(\rightarrow\) I, C \(\rightarrow\) IV, D \(\rightarrow\) II. This combination corresponds to option (D).
Quick Tip: For mineral nutrition questions, focus on the most specific and unique roles of each element. For example: - Molybdenum \(\rightarrow\) Nitrogen enzymes (Nitrate reductase, Nitrogenase) - Zinc \(\rightarrow\) Auxin synthesis - Boron \(\rightarrow\) Pollen germination, Cell differentiation - Iron \(\rightarrow\) Catalase activation, Cytochromes Memorizing these key associations is very effective.
Which of the following combinations is required for chemiosmosis?
View Solution
Step 1: Understanding the Question:
The question asks for the essential components necessary for the process of chemiosmosis, which is the mechanism for ATP synthesis in both photosynthesis and cellular respiration.
Step 2: Detailed Explanation:
Chemiosmosis, as proposed by Peter Mitchell, requires four key components to function:
1. A membrane: An intact membrane (like the inner mitochondrial membrane or the thylakoid membrane) is required to establish a separate compartment and maintain a concentration gradient.
2. A proton pump: This pump, which is part of the electron transport chain, actively transports protons (H\(^+\) ions) across the membrane, moving them from a low concentration area to a high concentration area.
3. A proton gradient: The pumping of protons creates a high concentration of H\(^+\) on one side of the membrane. This difference in concentration and charge across the membrane is the proton gradient, or proton-motive force, which stores potential energy.
4. ATP synthase: This is an enzyme complex embedded in the membrane. It has a channel that allows protons to flow back down their electrochemical gradient. The energy released by this flow is used by the enzyme to catalyze the synthesis of ATP from ADP and inorganic phosphate (P\(_i\)).
Let's evaluate the options based on these requirements:
- Option (A) is incorrect because it mentions an "electron gradient" instead of a proton gradient and "NADP synthase" instead of ATP synthase.
- Option (B) correctly lists all four essential components: a membrane, a proton pump, a proton gradient, and ATP synthase.
- Option (C) is incorrect because it lists "NADP synthase" instead of ATP synthase.
- Option (D) is incorrect because it omits the crucial membrane and mentions an "electron gradient."
Step 3: Final Answer:
The correct combination of components required for chemiosmosis is a membrane, a proton pump, a proton gradient, and ATP synthase.
Quick Tip: Think of chemiosmosis like a hydroelectric dam. The \textbf{membrane} is the dam wall. The \textbf{proton pump} is the mechanism that fills the reservoir with water (protons). The \textbf{proton gradient} is the stored water at a high level. The \textbf{ATP synthase} is the turbine that generates electricity (ATP) as the water flows through it.
Main steps in the formation of Recombinant DNA are given below. Arrange these steps in a correct sequence.
A. Insertion of recombinant DNA into the host cell.
B. Cutting of DNA at specific location by restriction enzyme.
C. Isolation of desired DNA fragment.
D. Amplification of gene of interest using PCR.
Choose the correct answer from the options given below :
View Solution
Step 1: Understanding the Question:
The question asks to arrange the given steps of recombinant DNA technology in the correct chronological order.
Step 2: Detailed Explanation of the Sequence:
The process of creating a genetically modified organism involves several key steps that must be performed in a specific order:
1. Cutting of DNA at specific location by restriction enzyme (B): First, both the source DNA (containing the gene of interest) and the vector DNA (e.g., a plasmid) are cut with the same restriction enzyme. This creates compatible "sticky ends".
2. Isolation of desired DNA fragment (C): After cutting the source DNA, the specific fragment containing the gene of interest must be separated and isolated from the other fragments, usually by gel electrophoresis.
3. Amplification of gene of interest using PCR (D): To get a sufficient quantity of the gene for the next steps, the isolated fragment is amplified using the Polymerase Chain Reaction (PCR). This creates millions of copies of the gene.
4. Ligation (not listed): The amplified gene of interest is then joined with the cut vector DNA using the enzyme DNA ligase to form the recombinant DNA molecule.
5. Insertion of recombinant DNA into the host cell (A): Finally, the recombinant DNA is introduced into a suitable host organism (like bacteria or yeast) in a process called transformation.
Therefore, the correct sequence of the given steps is B \(\rightarrow\) C \(\rightarrow\) D \(\rightarrow\) A.
Step 3: Final Answer:
The correct sequence for the formation of recombinant DNA is: Cutting of DNA, Isolation of the fragment, Amplification of the gene, and finally Insertion into the host.
Quick Tip: Remember the acronym "C-I-A-L-I": Cut (with restriction enzymes), Isolate (the gene), Amplify (with PCR), Ligate (into a vector), Insert (into a host). The steps in the question follow this general logic.
Which one of the following statements is NOT correct?
View Solution
Step 1: Understanding the Question:
The question asks to identify the statement that is factually incorrect regarding water pollution and its ecological consequences.
Step 2: Detailed Explanation of Each Statement:
- (A) This statement describes biomagnification, the process by which certain toxins (like heavy metals or pesticides) become more concentrated in organisms at higher trophic levels. This is a well-documented and correct phenomenon.
- (B) This statement correctly describes the effect of sewage pollution. The decomposition of organic matter by aerobic bacteria consumes dissolved oxygen in the water. High levels of pollution lead to a high Biochemical Oxygen Demand (BOD), which can deplete oxygen levels and cause mass death of fish and other aquatic life. This statement is correct.
- (C) This statement is incorrect. Algal blooms are caused by an excess of nutrients (eutrophication), not directly by organic matter. These blooms drastically degrade water quality. They block sunlight to submerged plants, and when the algae die, their decomposition by bacteria consumes vast amounts of oxygen, leading to hypoxic (low oxygen) conditions that kill fish and severely damage fisheries.
- (D) This statement is correct. Water hyacinth (Eichhornia crassipes) is an invasive aquatic plant that thrives in nutrient-rich (eutrophic) water. Its rapid growth covers the water surface, blocking light and oxygen exchange, which disrupts the entire aquatic ecosystem.
Step 3: Final Answer:
The statement that algal blooms improve water quality and promote fisheries is fundamentally incorrect.
Quick Tip: Associate algal blooms and eutrophication with negative consequences: low oxygen, fish kills, and poor water quality. Any statement claiming they are beneficial is almost certainly incorrect.
Which of the following statements are correct about Klinefelter's Syndrome?
A. This disorder was first described by Langdon Down (1866).
B. Such an individual has overall masculine development. However, the feminine development is also expressed.
C. The affected individual is short statured.
D. Physical, psychomotor and mental development is retarded.
E. Such individuals are sterile.
Choose the correct answer from the options given below :
View Solution
Step 1: Understanding the Question:
The question asks to identify the correct statements describing the characteristics of Klinefelter's Syndrome from a given list.
Step 2: Detailed Explanation of Each Statement:
- A. This disorder was first described by Langdon Down (1866). This is false. Langdon Down described Down's Syndrome. Klinefelter's Syndrome was first described by Harry Klinefelter in 1942.
- B. Such an individual has overall masculine development. However, the feminine development is also expressed. This is true. Individuals with Klinefelter's Syndrome have an XXY karyotype. The Y chromosome determines the male sex, so they have an overall masculine phenotype. However, the extra X chromosome leads to the expression of some feminine characteristics, such as gynaecomastia (development of breasts) and a more rounded body shape.
- C. The affected individual is short statured. This is false. A characteristic feature of Klinefelter's Syndrome is being taller than average, with disproportionately long limbs. Short stature is associated with Turner's Syndrome (XO).
- D. Physical, psychomotor and mental development is retarded. This is false. While some individuals may have learning difficulties or delayed speech development, severe mental retardation is not a typical feature of Klinefelter's Syndrome. This characteristic is more strongly associated with Down's Syndrome.
- E. Such individuals are sterile. This is true. The presence of an extra X chromosome disrupts the normal development of the testes, which are small and do not produce sperm, leading to infertility.
Step 3: Final Answer:
The only correct statements from the list are B and E.
Quick Tip: To differentiate between common chromosomal disorders, remember key features: - \textbf{Klinefelter's (XXY):} Sterile, tall male with some female traits. - \textbf{Turner's (XO):} Sterile, short female. - \textbf{Down's (Trisomy 21):} Short stature, characteristic facial features, mental development issues.
Match List I with List II :
List I & List II
(Interaction) & (Species A and B)
A. Mutualism & I. +(A), O(B)
B. Commensalism & II. -(A), O(B)
C. Amensalism & III. +(A), -(B)
D. Parasitism & IV. +(A), +(B)
Choose the correct answer from the options given below :
View Solution
Step 1: Understanding the Question:
The question asks to match different types of ecological population interactions with their symbolic representation, where '+' indicates a benefit, '-' indicates harm, and '0' indicates no effect.
Step 2: Matching Each Interaction:
- A. Mutualism: An interaction where both species benefit from their association. The correct representation is (+, +). This matches IV.
- B. Commensalism: An interaction where one species benefits, and the other is neither harmed nor benefited (unaffected). The correct representation is (+, 0). This matches I.
- C. Amensalism: An interaction where one species is harmed, and the other is unaffected. The correct representation is (-, 0). This matches II.
- D. Parasitism: An interaction where one species (the parasite) benefits at the expense of the other species (the host), which is harmed. The correct representation is (+, -). This matches III.
Step 3: Compiling the Correct Match:
The correct set of matches is A \(\rightarrow\) IV, B \(\rightarrow\) I, C \(\rightarrow\) II, and D \(\rightarrow\) III. This combination corresponds to option (C).
Quick Tip: Memorize the signs for each interaction: - Mutualism: (+,+) Both win. - Competition: (-,-) Both lose. - Predation/Parasitism: (+,-) One wins, one loses. - Commensalism: (+,0) One wins, one is neutral. - Amensalism: (-,0) One loses, one is neutral.
Given below are two statements: One is labelled as Assertion A and the other is labelled as Reason R:
Assertion A: A flower is defined as modified shoot wherein the shoot apical meristem changes to floral meristem.
Reason R: Internode of the shoot gets condensed to produce different floral appendages laterally at successive nodes instead of leaves.
In the light of the above statements, choose the correct answer from the options given below :
View Solution
Step 1: Understanding the Question:
This Assertion-Reason question asks us to evaluate two statements about the morphological nature of a flower and determine if the reason correctly explains the assertion.
Step 2: Analyzing Assertion A:
The assertion states that a flower is a modified shoot where the shoot apical meristem transforms into a floral meristem. This is the fundamental botanical definition of a flower. The vegetative apex ceases to grow indefinitely and differentiates to produce floral parts. Thus, Assertion A is true.
Step 3: Analyzing Reason R:
The reason describes how this modification occurs: the internodes of the shoot axis condense, and the nodes bear floral appendages (like sepals, petals, etc.) instead of vegetative leaves. This condensation of the axis (receptacle) brings the floral whorls close together. This is a correct description of the structural changes that occur when a shoot becomes a flower. Thus, Reason R is true.
Step 4: Linking Assertion and Reason:
The Reason explains the specific modifications that justify calling a flower a "modified shoot." The condensation of internodes and the production of floral appendages instead of leaves are the key aspects of this modification. Therefore, the Reason correctly explains the Assertion.
Step 5: Final Answer:
Both Assertion A and Reason R are true, and Reason R is the correct explanation for Assertion A.
Quick Tip: To solve Assertion-Reason questions, use the "because" test. Read the Assertion, then insert "because," then read the Reason. "A flower is a modified shoot BECAUSE the internodes condense and produce floral appendages." This logical connection confirms that the reason explains the assertion.
How many different proteins does the ribosome consist of?
View Solution
Step 1: Understanding the Question:
The question asks for the approximate number of different proteins that make up a ribosome. The question does not specify whether it is a prokaryotic or eukaryotic ribosome.
Step 2: Detailed Explanation:
Ribosomes are complex molecular machines composed of ribosomal RNA (rRNA) and ribosomal proteins.
- Prokaryotic ribosomes (70S) consist of a 50S subunit (with ~34 proteins) and a 30S subunit (with ~21 proteins), totaling about 55 different proteins.
- Eukaryotic ribosomes (80S) consist of a 60S subunit (with ~49 proteins) and a 40S subunit (with ~33 proteins), totaling about 82 different proteins.
Given the options:
- (A) 20 refers to the number of common amino acids.
- (B) 80 is very close to the number of proteins in a eukaryotic ribosome (~82) and is also the Svedberg unit for the entire eukaryotic ribosome. It is the most plausible answer.
- (C) 60 is the Svedberg unit for the large eukaryotic subunit.
- (D) 40 is the Svedberg unit for the small eukaryotic subunit.
In the context of general biology questions, "ribosome" often refers to the eukaryotic ribosome, and 80 is the standard approximate number provided in many textbooks.
Step 3: Final Answer:
A ribosome consists of approximately 80 different proteins.
Quick Tip: In multiple-choice questions about ribosomes, the numbers 40, 60, and 80 often refer to the Svedberg units (S) of the eukaryotic small subunit, large subunit, and total ribosome, respectively. The number 80 also serves as a good approximation for the total number of proteins in a eukaryotic ribosome.
Match List I with List II :
List I & List II
A. Cohesion & I. More attraction in liquid phase
B. Adhesion & II. Mutual attraction among water molecules
C. Surface tension & III. Water loss in liquid phase
D. Guttation & IV. Attraction towards polar surfaces
Choose the correct answer from the options given below :
View Solution
Step 1: Understanding the Question:
The question requires matching physical properties of water and a related plant phenomenon (List I) with their correct descriptions (List II).
Step 2: Matching Each Item:
- A. Cohesion: This is the property of like molecules sticking together. For water, it is the mutual attraction among water molecules due to hydrogen bonding. This matches II.
- B. Adhesion: This is the property of different molecules clinging to each other. In plants, it refers to the attraction of water towards polar surfaces, such as the walls of xylem vessels. This matches IV.
- C. Surface tension: This is a special property resulting from cohesion. Water molecules at the surface are pulled inwards, creating a "skin". This happens because there is more attraction between water molecules in the liquid phase than between water and the air above it. This matches I.
- D. Guttation: This is a physiological process in plants where water is exuded from the tips of leaves as droplets. It is a form of water loss in the liquid phase, driven by root pressure. This matches III.
Step 3: Compiling the Correct Match:
The correct set of matches is: A \(\rightarrow\) II, B \(\rightarrow\) IV, C \(\rightarrow\) I, and D \(\rightarrow\) III. This combination corresponds to option (B).
Quick Tip: Remember the difference: \textbf{Co}hesion = attraction between \textbf{co}-workers (same type, i.e., water-water). \textbf{Ad}hesion = attraction like an \textbf{ad}hesive tape (different types, i.e., water-surface). Surface tension is a consequence of cohesion. Guttation is 'gut'sy water loss as liquid.
Match List I with List II:
List I & List II
A. Oxidative decarboxylation & I. Citrate synthase
B. Glycolysis & II. Pyruvate dehydrogenase
C. Oxidative phosphorylation & III. Electron transport system
D. Tricarboxylic acid cycle & IV. EMP pathway
Choose the correct answer from the options given below :
View Solution
Step 1: Understanding the Question:
The question asks to match the stages or processes of cellular respiration (List I) with their associated enzyme, pathway name, or location (List II).
Step 2: Matching Each Item:
- A. Oxidative decarboxylation: This refers to the link reaction where pyruvate is converted to acetyl-CoA. This reaction is catalyzed by the Pyruvate dehydrogenase enzyme complex. This matches II.
- B. Glycolysis: The metabolic pathway that converts glucose into pyruvate. It is also known as the Embden-Meyerhof-Parnas pathway, or EMP pathway. This matches IV.
- C. Oxidative phosphorylation: The process of generating ATP using the energy from the chemiosmotic gradient established by the Electron transport system (ETS). This matches III.
- D. Tricarboxylic acid cycle (TCA Cycle): Also known as the Krebs cycle. The first step of this cycle is the condensation of acetyl-CoA with oxaloacetate to form citric acid, a reaction catalyzed by Citrate synthase. This matches I.
Step 3: Compiling the Correct Match:
The correct matches are: A \(\rightarrow\) II, B \(\rightarrow\) IV, C \(\rightarrow\) III, and D \(\rightarrow\) I. This corresponds to option (A).
Quick Tip: Associate key terms: Glycolysis = EMP pathway. TCA Cycle = Krebs Cycle / Citric Acid Cycle (starts with Citrate Synthase). Oxidative Decarboxylation = Link Reaction (Pyruvate Dehydrogenase). Oxidative Phosphorylation = ETS + Chemiosmosis.
Malonate inhibits the growth of pathogenic bacteria by inhibiting the activity of
View Solution
Step 1: Understanding the Question:
The question asks to identify the enzyme that is inhibited by malonate. Note: The question spells it "Melonate," which is a common typo for malonate.
Step 2: Detailed Explanation:
Malonate is a classic example of a competitive inhibitor. Its structure is very similar to succinate, the natural substrate for the enzyme succinic dehydrogenase.
- Enzyme: Succinic dehydrogenase is a key enzyme in the Krebs cycle (Tricarboxylic acid cycle).
- Reaction: It catalyzes the oxidation of succinate to fumarate.
- Inhibition Mechanism: Because malonate is structurally similar to succinate, it can bind to the active site of the succinic dehydrogenase enzyme. However, the enzyme cannot act on malonate. By occupying the active site, malonate prevents the actual substrate (succinate) from binding, thereby inhibiting the enzyme's activity and blocking the Krebs cycle. This will inhibit cellular respiration and thus inhibit the growth of bacteria.
Step 3: Final Answer:
Malonate inhibits the enzyme succinic dehydrogenase.
Quick Tip: Remember the "S-M-S" connection: \textbf{S}uccinate is the substrate for \textbf{S}uccinic dehydrogenase, and it is competitively inhibited by \textbf{M}alonate. The structural similarity is the key to competitive inhibition.
Given below are two statements :
Statement I: Gause's 'Competitive Exclusion Principle' states that two closely related species competing for the same resources cannot co-exist indefinitely and competitively inferior one will be eliminated eventually.
Statement II: In general, carnivores are more adversely affected by competition than herbivores.
In the light of the above statements, choose the correct answer from the options given below:
View Solution
Step 1: Understanding the Question:
The question requires an evaluation of two independent statements related to ecological competition.
Step 2: Analyzing Statement I:
"Gause's 'Competitive Exclusion Principle' states that two closely related species competing for the same resources cannot co-exist indefinitely and competitively inferior one will be eliminated eventually."
This is the precise and correct definition of the Competitive Exclusion Principle, which is a fundamental concept in ecology derived from Gause's experiments with Paramecium. Therefore, Statement I is correct.
Step 3: Analyzing Statement II:
"In general, carnivores are more adversely affected by competition than herbivores."
This statement is a broad generalization that is considered false. Competition can be intense at any trophic level. While carnivores do compete strongly, herbivores often face intense competition as well, especially when their populations reach the carrying capacity of their environment. For example, competition for limited grass or seeds among herbivores can be just as, or even more, severe than competition for prey among carnivores. Ecological principles suggest that the intensity of competition depends on the degree of resource limitation and niche overlap, not simply the trophic level. Thus, making a sweeping statement that one group is "more adversely affected" is not accurate.
Step 4: Final Answer:
Based on the analysis, Statement I is a correct definition of a key ecological principle, while Statement II is an inaccurate generalization. Therefore, Statement I is correct and Statement II is false.
Quick Tip: Be cautious with broad generalizations in biology. Statements using words like "always," "never," or making sweeping comparisons (like "more than") are often the incorrect options in an exam. Fundamental definitions, like Gause's Principle, are usually stated correctly.
Match List I with List II.
List I & List II
A. Gene 'a' & I. \(\beta\)-galactosidase
B. Gene 'y' & II. Transacetylase
C. Gene 'i' & III. Permease
D. Gene 'z' & IV. Repressor protein
Choose the correct answer from the options given below:
View Solution
Step 1: Understanding the Question:
The question requires matching the genes of the lac operon (List I) with the proteins they code for (List II). The lac operon is a classic example of gene regulation in prokaryotes (E. coli).
Step 2: Matching Each Gene with its Product:
- Gene 'z' (lacZ): This is a structural gene that codes for the enzyme \(\beta\)-galactosidase. This enzyme hydrolyzes lactose into glucose and galactose. So, D matches I.
- Gene 'y' (lacY): This is a structural gene that codes for the protein Permease. This protein is embedded in the bacterial cell membrane and increases the cell's permeability to lactose. So, B matches III.
- Gene 'a' (lacA): This is a structural gene that codes for the enzyme Transacetylase. Its role in lactose metabolism is not fully clear but it's part of the operon. So, A matches II.
- Gene 'i' (lacI): This is the regulator gene. It is located upstream of the operon and codes for the Repressor protein. This protein binds to the operator region to switch the operon 'off' in the absence of lactose. So, C matches IV.
Step 3: Compiling the Correct Match:
The correct matches are: A \(\rightarrow\) II, B \(\rightarrow\) III, C \(\rightarrow\) IV, D \(\rightarrow\) I. This combination is found in option (C).
Quick Tip: To remember the lac operon genes and their products, think in order: i (inhibitor/repressor), then the structural genes z, y, a. - z \(\rightarrow\) \(\beta\)-galactosidase (breaks down lactose) - y \(\rightarrow\) Permease (lets lactose in) - a \(\rightarrow\) Transacetylase (the last one)
Given below are two statements:
Statement I: Ligaments are dense irregular tissue.
Statement II: Cartilage is dense regular tissue.
In the light of the above statements, choose the correct answer from the options given below:
View Solution
Step 1: Understanding the Question:
The question asks us to evaluate the correctness of two statements regarding the classification of connective tissues.
Step 2: Analyzing Statement I:
"Ligaments are dense irregular tissue."
Ligaments connect bone to bone. They are designed to withstand strong pulling forces in one direction. To achieve this, their collagen fibers are arranged in parallel bundles. This parallel arrangement is characteristic of dense regular connective tissue, not dense irregular tissue (where fibers are arranged randomly, like in the dermis of the skin). Therefore, Statement I is false.
Step 3: Analyzing Statement II:
"Cartilage is dense regular tissue."
Cartilage is a type of specialized connective tissue, distinct from the "dense connective tissue" category. It has a firm, pliable matrix containing chondroitin salts and is not characterized by densely packed collagen fibers in the same way as tendons and ligaments. Therefore, Statement II is false.
Step 4: Final Answer:
Since both statements misclassify the tissues, both are false.
Quick Tip: Remember the main categories of connective tissue: - \textbf{Dense Regular:} Fibers are parallel. Example: Tendons and Ligaments (T-L). - \textbf{Dense Irregular:} Fibers are random. Example: Dermis of skin. - \textbf{Specialized:} Cartilage, Bone, Blood. This classification helps avoid confusion.
Given below are two statements: one is labelled as Assertion A and the other is labelled as Reason R.
Assertion A: Amniocentesis for sex determination is one of the strategies of Reproductive and Child Health Care Programme.
Reason R: Ban on amniocentesis checks increasing menace of female foeticide.
In the light of the above statements, choose the correct answer from the options given below:
View Solution
Step 1: Understanding the Question:
This Assertion-Reason question evaluates statements about amniocentesis, its misuse, and its relation to government health programs.
Step 2: Analyzing Assertion A:
"Amniocentesis for sex determination is one of the strategies of Reproductive and Child Health Care Programme."
This statement is false. Amniocentesis is a medical procedure used to detect genetic abnormalities in a fetus. However, its use for the purpose of sex determination is a misuse and is legally banned in many countries, including India. The Reproductive and Child Health Care (RCH) Programme aims to improve maternal and child health; it does not promote sex determination, which often leads to female foeticide.
Step 3: Analyzing Reason R:
"Ban on amniocentesis checks increasing menace of female foeticide."
This statement is true. The primary reason for imposing a statutory ban on using amniocentesis for sex determination was to prevent the selective abortion of female fetuses. This practice had led to a skewed sex ratio in many parts of the country. The ban is a legal measure to curb this social evil.
Step 4: Final Answer:
The Assertion (A) is false, but the Reason (R) is a true statement.
Quick Tip: Distinguish between the medical use and misuse of a technique. Amniocentesis for diagnosing genetic disorders is a valid medical tool. Amniocentesis for sex determination is a banned misuse. Government health programs promote valid medical practices, not their misuse.
Match List I with List II.
List I & List II
(Type of Joint) & (Found between)
A. Cartilaginous Joint & I. Between flat skull bones
B. Ball and Socket Joint & II. Between adjacent vertebrae in vertebral column
C. Fibrous Joint & III. Between carpal and metacarpal of thumb
D. Saddle Joint & IV. Between Humerus and Pectoral girdle
Choose the correct answer from the options given below:
View Solution
Step 1: Understanding the Question:
The question asks to match the type of joint with its correct location in the human body.
Step 2: Matching Each Joint Type with its Location:
- A. Cartilaginous Joint: These joints allow limited movement and are characterized by cartilage connecting the bones. A prime example is the joints between adjacent vertebrae in the vertebral column (intervertebral discs). So, A matches II.
- B. Ball and Socket Joint: This is a type of synovial joint that allows for the widest range of motion. The shoulder joint, between the humerus and the pectoral girdle (scapula), is a classic example. So, B matches IV.
- C. Fibrous Joint: These joints are immovable (synarthroses) and are found where bones are connected by dense fibrous tissue. The sutures between the flat skull bones are fibrous joints. So, C matches I.
- D. Saddle Joint: This is another type of synovial joint that allows movement in two planes. The best example in the human body is the carpometacarpal joint of the thumb, located between the carpal (trapezium) and the metacarpal of the thumb. So, D matches III.
Step 3: Compiling the Correct Match:
The correct matches are: A \(\rightarrow\) II, B \(\rightarrow\) IV, C \(\rightarrow\) I, D \(\rightarrow\) III. This combination is found in option (C).
Quick Tip: For joint questions, memorize the key examples: - Fibrous \(\rightarrow\) Skull sutures (immovable) - Cartilaginous \(\rightarrow\) Vertebrae (slightly movable) - Synovial \(\rightarrow\) Most limb joints (freely movable) - Ball & Socket \(\rightarrow\) Shoulder, Hip - Hinge \(\rightarrow\) Elbow, Knee - Saddle \(\rightarrow\) Thumb
Given below are two statements:
Statement I: Vas deferens receives a duct from seminal vesicle and opens into urethra as the ejaculatory duct.
Statement II: The cavity of the cervix is called cervical canal which along with vagina forms birth canal.
In the light of the above statements, choose the correct answer from the options given below:
View Solution
Step 1: Understanding the Question:
The question requires an evaluation of two statements, one concerning the male reproductive system and the other concerning the female reproductive system.
Step 2: Analyzing Statement I:
"Vas deferens receives a duct from seminal vesicle and opens into urethra as the ejaculatory duct."
This statement accurately describes the pathway of sperm. The vas deferens carries sperm from the epididymis. Just before it reaches the prostate gland, it is joined by the duct from the seminal vesicle. This union forms the ejaculatory duct, which then passes through the prostate and empties into the urethra. Therefore, Statement I is true.
Step 3: Analyzing Statement II:
"The cavity of the cervix is called cervical canal which along with vagina forms birth canal."
This statement correctly describes the anatomy relevant to childbirth (parturition). The cervix is the lower, narrow part of the uterus. Its central channel is the cervical canal. During birth, the fetus passes from the uterus, through the cervical canal, and then through the vagina to the outside. This combined passage is known as the birth canal. Therefore, Statement II is true.
Step 4: Final Answer:
Both statements are anatomically correct.
Quick Tip: For reproductive anatomy, tracing pathways is key. - Male: Testis \(\rightarrow\) Epididymis \(\rightarrow\) Vas deferens \(\rightarrow\) Ejaculatory duct (joined by seminal vesicle) \(\rightarrow\) Urethra. - Female (Birth): Uterus \(\rightarrow\) Cervical canal \(\rightarrow\) Vagina. Visualizing these paths helps in remembering the sequence and connections.
Which one of the following techniques does not serve the purpose of early diagnosis of a disease for its early treatment?
View Solution
Step 1: Understanding the Question:
The question asks to identify which of the listed techniques is generally not used for the *early* diagnosis of a disease. Early diagnosis often means detecting a pathogen or a marker when its concentration is very low, often before symptoms appear.
Step 2: Analyzing the Techniques:
- (A) ELISA: This is a highly sensitive immunological assay used to detect specific antigens (from a pathogen) or antibodies (produced by the host in response to infection). Its sensitivity allows for detection of infection at early stages.
- (B) Recombinant DNA Technology: This technology is used to create molecular probes (radioactively or fluorescently labeled single-stranded DNA or RNA) that can detect the presence of specific complementary nucleic acid sequences in a sample. This is used for identifying gene mutations or pathogen DNA/RNA for early diagnosis of genetic disorders and infections.
- (D) PCR: This technique can amplify a minute amount of DNA, making it possible to detect the presence of a pathogen's nucleic acid even when the infection is very recent and the number of pathogens is extremely low. It is a cornerstone of early diagnosis.
- (C) Serum and Urine analysis: This refers to conventional or traditional methods of diagnosis. These methods often rely on observing symptoms or measuring levels of certain substances in body fluids that change significantly only after the disease has progressed to a certain stage. For example, a high bacterial count in urine or the presence of certain proteins in serum may only be detectable when the infection is well-established. Therefore, these methods are generally less suited for very early diagnosis compared to the highly sensitive molecular techniques.
Step 3: Final Answer:
Conventional serum and urine analysis does not serve the purpose of early diagnosis as effectively as the more sensitive molecular techniques like PCR, ELISA, and methods based on recombinant DNA technology.
Quick Tip: Think about sensitivity. "Early diagnosis" requires high sensitivity. PCR, ELISA, and DNA probes are modern, highly sensitive techniques that can find a "needle in a haystack" (a tiny amount of pathogen/marker). Conventional lab tests often need a larger "needle" to find it, which usually means the disease is more advanced.
Which one of the following common sexually transmitted diseases is completely curable when detected early and treated properly?
View Solution
Step 1: Understanding the Question:
The question asks to identify which of the listed sexually transmitted diseases (STDs) can be completely cured. The key distinction is between diseases caused by bacteria (usually curable) and those caused by viruses (often manageable but not curable).
Step 2: Analyzing the Options:
- (A) HIV Infection: Caused by the Human Immunodeficiency Virus (HIV). It is a viral disease and is currently not curable, though it can be managed with antiretroviral therapy (ART).
- (B) Genital herpes: Caused by the Herpes Simplex Virus (HSV). It is a viral disease and is not curable. Antiviral medications can manage outbreaks, but the virus remains in the body.
- (C) Gonorrhoea: Caused by the bacterium Neisseria gonorrhoeae. As a bacterial infection, it is completely curable with a course of appropriate antibiotics, especially if diagnosed early.
- (D) Hepatitis-B: Caused by the Hepatitis B Virus (HBV). It is a viral infection that can become chronic and is not curable in its chronic form. A vaccine is available for prevention.
Step 3: Final Answer:
Among the given options, only Gonorrhoea is a bacterial STD and is completely curable with antibiotics.
Quick Tip: A general rule for STDs in exams: bacterial infections (like Gonorrhoea, Syphilis, Chlamydia) are generally curable with antibiotics, while viral infections (like HIV, Herpes, Hepatitis B, HPV) are generally not curable, only manageable.
Which of the following is not a cloning vector?
View Solution
Step 1: Understanding the Question:
The question asks to identify which of the given options is not a cloning vector. A cloning vector is a DNA molecule that can carry foreign DNA into a host cell and replicate there.
Step 2: Analyzing the Options:
- (B) BAC (Bacterial Artificial Chromosome): This is a high-capacity cloning vector based on a functional fertility plasmid (F-plasmid) of E. coli. It is used to clone very large DNA fragments (100-300 kb).
- (C) YAC (Yeast Artificial Chromosome): This is a cloning vector that can carry extremely large DNA fragments (over 1000 kb) and is replicated in yeast cells.
- (D) pBR322: This is one of the first widely used plasmid cloning vectors in E. coli. It is a small, artificial plasmid used for cloning smaller DNA fragments.
- (A) Probe: A probe is a single-stranded DNA or RNA fragment that is labeled (e.g., radioactively or fluorescently). It is used to detect the presence of a complementary nucleic acid sequence (the target) in a sample through hybridization. It is a tool for detection and identification, not a vehicle for carrying and replicating foreign DNA.
Step 3: Final Answer:
A probe is a detection tool, while BAC, YAC, and pBR322 are all types of cloning vectors. Therefore, a probe is not a cloning vector.
Quick Tip: Think of the function: a \textbf{vector is like a vehicle (to carry DNA), while a \textbf{probe} is like a detective's tool (to find a specific DNA sequence). They have distinct purposes in molecular biology.
Match List I with List II.
List I & List II
A. CCK & I. Kidney
B. GIP & II. Heart
C. ANF & III. Gastric gland
D. ADH & IV. Pancreas
Choose the correct answer from the options given below:
View Solution
Step 1: Understanding the Question:
The question requires matching hormones (List I) with their source or target organ (List II).
Step 2: Matching Each Hormone:
- A. CCK (Cholecystokinin): This is a gastrointestinal hormone secreted by the small intestine. It acts on the Pancreas to stimulate the secretion of pancreatic enzymes and also on the gallbladder to cause contraction. So, A matches IV.
- B. GIP (Gastric Inhibitory Peptide): This hormone is secreted by the small intestine. It inhibits gastric secretions and motility, so its target is the Gastric gland. So, B matches III.
- C. ANF (Atrial Natriuretic Factor): This hormone is secreted by the atrial walls of the Heart in response to high blood pressure. It causes vasodilation and helps reduce blood pressure. So, C matches II.
- D. ADH (Antidiuretic Hormone or Vasopressin): This hormone is produced by the hypothalamus and released by the posterior pituitary. It acts on the distal tubules and collecting ducts of the Kidney to increase water reabsorption. So, D matches I.
Step 3: Compiling the Correct Match:
The correct matches are: A \(\rightarrow\) IV, B \(\rightarrow\) III, C \(\rightarrow\) II, D \(\rightarrow\) I. This corresponds to option (B).
Quick Tip: Create associations for hormones: - \textbf{CCK} \(\rightarrow\) controls "chole" (bile/gallbladder) and pancreas. - \textbf{GIP} \(\rightarrow\) \textbf{G}astric \textbf{I}nhibitory \textbf{P}eptide (name gives away the target). - \textbf{ANF} \(\rightarrow\) \textbf{A}trial (from the heart's atria). - \textbf{ADH} \(\rightarrow\) \textbf{A}nti-\textbf{D}iuretic (acts on kidney to prevent diuresis/water loss).
Which of the following are NOT considered as the part of endomembrane system?
A. Mitochondria
B. Endoplasmic Reticulum
C. Chloroplasts
D. Golgi complex
E. Peroxisomes
Choose the most appropriate answer from the options given below:
View Solution
Match List I with List II.
List I & List II
A. Taenia & I. Nephridia
B. Paramoecium & II. Contractile vacuole
C. Periplaneta & III. Flame cells
D. Pheretima & IV. Urecose gland
Choose the correct answer from the options give below:
View Solution
Step 1: Understanding the Question:
The question requires matching different animals (List I) with their corresponding excretory or osmoregulatory structures (List II).
Step 2: Matching Each Animal with its Structure:
- A. Taenia (Tapeworm): This is a platyhelminth (flatworm). The excretory structures in flatworms are specialized cells called Flame cells (protonephridia). So, A matches III.
- B. Paramoecium: This is a single-celled protozoan. It lives in freshwater and uses a Contractile vacuole for osmoregulation, to pump excess water out of the cell. So, B matches II.
- C. Periplaneta (Cockroach): This is an insect (arthropod). The primary excretory organs are Malpighian tubules. Additionally, fat bodies and Uricose glands are also involved in the storage and excretion of uric acid. So, C matches IV.
- D. Pheretima (Earthworm): This is an annelid. The excretory organs are coiled tubular structures called Nephridia. So, D matches I.
Step 3: Compiling the Correct Match:
The correct matches are: A \(\rightarrow\) III, B \(\rightarrow\) II, C \(\rightarrow\) IV, D \(\rightarrow\) I. This combination corresponds to option (D).
Quick Tip: Excretory structures are a key feature for classifying animal phyla. Memorize these pairs: - Platyhelminthes (Flatworms) \(\rightarrow\) Flame Cells - Annelids (Earthworms) \(\rightarrow\) Nephridia - Arthropods (Insects) \(\rightarrow\) Malpighian Tubules - Protozoa \(\rightarrow\) Contractile Vacuole (for osmoregulation)
Once the undigested and unabsorbed substances enter the caecum, their backflow is prevented by-
View Solution
Step 1: Understanding the Question:
The question asks to identify the structure that prevents the contents of the large intestine (specifically the caecum, its starting point) from flowing back into the small intestine.
Step 2: Analyzing the Options:
- (A) Pyloric sphincter: This sphincter is located between the stomach and the duodenum (the first part of the small intestine). It controls the passage of chyme from the stomach into the small intestine.
- (B) Sphincter of Oddi: This sphincter controls the flow of bile and pancreatic juice from the common bile duct and pancreatic duct into the duodenum.
- (C) Ileo-caecal valve: This valve (or sphincter) is located at the junction of the ileum (the last part of the small intestine) and the caecum (the first part of the large intestine). Its primary function is to allow digested food to pass from the small intestine into the large intestine and to prevent the backflow of material.
- (D) Gastro-oesophageal sphincter: Also known as the cardiac sphincter, it is located at the junction of the esophagus and the stomach, preventing the backflow of stomach acid into the esophagus.
Step 3: Final Answer:
The structure that prevents backflow from the caecum into the ileum is the ileo-caecal valve.
Quick Tip: The names of sphincters and valves often tell you their location. "Ileo-caecal" is at the junction of the \textbf{ileum} and the \textbf{caecum}. "Gastro-oesophageal" is at the junction of the stomach (\textbf{gastro}) and the \textbf{oesophagus}.
Match List I with List II with respect to human eye.
List I & List II
A. Fovea & I. Visible coloured portion of eye that regulates diameter of pupil.
B. Iris & II. External layer of eye formed of dense connective tissue.
C. Blind spot & III. Point of greatest visual acuity or resolution.
D. Sclera & IV. Point where optic nerve leaves the eyeball and photoreceptor cells are absent.
Choose the correct answer from the options given below:
View Solution
Step 1: Understanding the Question:
The question requires matching different parts of the human eye (List I) with their correct description or function (List II).
Step 2: Matching Each Part of the Eye:
- A. Fovea: The fovea (or fovea centralis) is a small pit in the center of the macula lutea of the retina. It is densely packed with cone cells and is responsible for sharp, detailed central vision. It is the point of greatest visual acuity or resolution. So, A matches III.
- B. Iris: This is the pigmented part of the eye that gives it its color. It is a muscular diaphragm that controls the size of the pupil, thus regulating the amount of light entering the eye. It is the visible coloured portion of eye that regulates diameter of pupil. So, B matches I.
- C. Blind spot: This is the area on the retina where the optic nerve exits the eyeball to connect to the brain. Because this area has no photoreceptor cells (rods or cones), it cannot detect light. It is the point where optic nerve leaves the eyeball and photoreceptor cells are absent. So, C matches IV.
- D. Sclera: This is the tough, white, fibrous outer layer of the eyeball that protects the inner components and maintains the shape of the eye. It is the external layer of eye formed of dense connective tissue. So, D matches II.
Step 3: Compiling the Correct Match:
The correct matches are: A \(\rightarrow\) III, B \(\rightarrow\) I, C \(\rightarrow\) IV, D \(\rightarrow\) II. This combination corresponds to option (B).
Quick Tip: For the eye, remember these key associations: - \textbf{Fovea} = \textbf{F}ocus (sharpest vision). - \textbf{Iris} = Color and pupil control. - \textbf{Blind spot} = No photoreceptors, where optic nerve leaves. - \textbf{Sclera} = \textbf{S}upport (tough outer white layer).
Match List I with List II.
List I & List II
(Interacting species) & (Name of Interaction)
A. A Leopard and a & I. Competition
Lion in a forest/ grassland &
B. A Cuckoo laying & II. Brood
egg in a Crow's nest & parasitism
C. Fungi and root of a & III. Mutualism
higher plant in Mycorrtizae &
D. A cattle egret and & IV. Commensalism
a Cattle in a field &
Choose the correct answer from the options given below:
View Solution
Step 1: Understanding the Question:
The question requires matching specific examples of species interactions with the correct ecological term for that interaction.
Step 2: Matching Each Interaction:
- A. A Leopard and a Lion in a forest/grassland: Both are large carnivores that prey on similar animals (e.g., deer, zebra). Since they share and compete for the same limited food resource, their interaction is Competition (-, -). So, A matches I.
- B. A Cuckoo laying egg in a Crow's nest: This is a classic example of Brood parasitism (+, -). The Cuckoo benefits by having the Crow raise its young, while the Crow is harmed because its own offspring may be outcompeted or killed by the cuckoo chick. So, B matches II.
- C. Fungi and root of a higher plant in Mycorrhizae: This is a symbiotic relationship where both partners benefit. The fungus helps the plant absorb water and mineral nutrients from the soil, and the plant provides carbohydrates to the fungus. This is Mutualism (+, +). So, C matches III.
- D. A cattle egret and a Cattle in a field: The egret follows the cattle and feeds on insects that are stirred up from the vegetation as the cattle move. The egret benefits (+), while the cattle is largely unaffected (0). This interaction is Commensalism (+, 0). So, D matches IV.
Step 3: Compiling the Correct Match:
The correct matches are: A \(\rightarrow\) I, B \(\rightarrow\) II, C \(\rightarrow\) III, D \(\rightarrow\) IV. This combination corresponds to option (B).
Quick Tip: Remember the key examples for each type of population interaction, as they are frequently asked in exams. - Competition: Lions and Leopards. - Brood Parasitism: Cuckoo and Crow. - Mutualism: Mycorrhizae, Lichens, Pollinators. - Commensalism: Cattle Egret and Cattle, Orchid on a Mango tree.
Which of the following statements are correct regarding female reproductive cycle?
A. In non-primate mammals cyclical changes during reproduction are called oestrus cycle.
B. First menstrual cycle begins at puberty and is called menopause.
C. Lack of menstruation may be indicative of pregnancy.
D. Cyclic menstruation extends between menarche and menopause.
Choose the most appropriate answer from the options given below:
View Solution
Step 1: Understanding the Question:
The question asks to identify the set of correct statements regarding the female reproductive cycle in mammals.
Step 2: Detailed Explanation of Each Statement:
- A. In non-primate mammals cyclical changes during reproduction are called oestrus cycle. This is correct. Mammals like cows, sheep, dogs, and tigers have an oestrus cycle, while primates (monkeys, apes, humans) have a menstrual cycle.
- B. First menstrual cycle begins at puberty and is called menopause. This is incorrect. The first menstrual cycle at puberty is called menarche. Menopause is the permanent cessation of the menstrual cycle, which occurs later in life.
- C. Lack of menstruation may be indicative of pregnancy. This is correct. Amenorrhea (the absence of menstruation) is one of the earliest and most reliable signs of pregnancy, although it can also be caused by other factors like stress, poor health, etc.
- D. Cyclic menstruation extends between menarche and menopause. This is correct. The reproductive phase of a human female is marked by the menstrual cycle, which starts at menarche and ends at menopause.
Step 3: Final Answer:
The correct statements are A, C, and D.
Quick Tip: Remember the key terms for the human female reproductive cycle: - \textbf{Menarche:} The \textbf{arch}rival's beginning - the first cycle. - \textbf{Menopause:} The cycle takes a \textbf{pause} - the end of cycles. - \textbf{Oestrus Cycle:} For other animals (non-primates).
Given below are two statements:
Statement I: Low temperature preserves the enzyme in a temporarily inactive state whereas high temperature destroys enzymatic activity because proteins are denatured by heat.
Statement II: When the inhibitor closely resembles the substrate in its molecular structure and inhibits the activity of the enzyme, it is known as competitive inhibitor.
In the light of the above statements, choose the correct answer from the options given below:
View Solution
Step 1: Understanding the Question:
The question asks to evaluate two statements related to the factors affecting enzyme activity: temperature and inhibitors.
Step 2: Analyzing Statement I:
This statement describes the effect of temperature on enzyme activity.
- Low temperature: Freezing or low temperatures do not break the chemical bonds of an enzyme. They reduce the kinetic energy of the molecules, causing the enzyme to become temporarily inactive. This effect is reversible; if the temperature is raised back to the optimum, the enzyme regains its activity.
- High temperature: High temperatures provide enough kinetic energy to break the weak hydrogen bonds that maintain the enzyme's specific three-dimensional (tertiary) structure. This irreversible change in shape is called denaturation, which destroys the active site and thus the enzyme's activity permanently.
Therefore, Statement I is true.
Step 3: Analyzing Statement II:
This statement defines a specific type of enzyme inhibition. An inhibitor that is structurally similar to the substrate can bind to the enzyme's active site, competing with the actual substrate. This type of inhibition is correctly known as competitive inhibition. Therefore, Statement II is true.
Step 4: Final Answer:
Both Statement I and Statement II are correct statements regarding enzyme kinetics.
Quick Tip: Remember the temperature rule for enzymes: Cold \(\rightarrow\) Inactive (Reversible), Hot \(\rightarrow\) Denatured (Irreversible). For inhibitors, remember: Competitive \(\rightarrow\) Competes for the active site (structurally similar to substrate).
Radial symmetry is NOT found in adults of phylum __________
View Solution
Step 1: Understanding the Question:
The question asks to identify the animal phylum from the given options whose adult members do not exhibit radial symmetry.
Step 2: Analyzing the Symmetry of Each Phylum:
- (A) Echinodermata: Adult echinoderms (like starfish, sea urchins) are a classic example of pentamerous radial symmetry. Interestingly, their larvae exhibit bilateral symmetry.
- (B) Ctenophora: Ctenophores (comb jellies) exhibit biradial symmetry, which is a type of radial symmetry where the body can be divided into two identical halves by two planes.
- (C) Hemichordata: Hemichordates (like the acorn worm, Balanoglossus) are worm-like, deuterostome animals. They exhibit bilateral symmetry throughout their life cycle. Their body can be divided into equal left and right halves along a single sagittal plane.
- (D) Coelenterata (Cnidaria): Coelenterates (like jellyfish, sea anemones, corals) are characterized by radial symmetry.
Step 3: Final Answer:
Among the given options, only Hemichordata consists of animals that are exclusively bilaterally symmetrical as adults.
Quick Tip: When thinking about symmetry, associate phyla with their dominant type: - Porifera: Asymmetrical - Cnidaria & Ctenophora: Radial - Echinodermata: Radial (adults), Bilateral (larvae) - a unique case! - Most other major phyla (Platyhelminthes to Chordata, including Hemichordata): Bilateral
Match List I with List II.
List I & List II
A. Vasectomy & I. Oral method
B. Coitus interruptus & II. Barrier method
C. Cervical caps & III. Surgical method
D. Saheli & IV. Natural method
Choose the correct answer from the options given below:
View Solution
Step 1: Understanding the Question:
The question requires matching different contraceptive methods or products with their correct category.
Step 2: Matching Each Item:
- A. Vasectomy: This is a permanent method of contraception for males where the vas deferens is cut and tied to prevent sperm from entering the ejaculate. It is a Surgical method (sterilization). So, A matches III.
- B. Coitus interruptus: Also known as the withdrawal method, this involves the male withdrawing the penis from the vagina before ejaculation. It is based on avoiding insemination and is classified as a Natural method. So, B matches IV.
- C. Cervical caps: These are devices made of rubber that are inserted into the vagina to cover the cervix before intercourse. They physically prevent sperm from entering the uterus. This is a Barrier method. So, C matches II.
- D. Saheli: This is the brand name for Centchroman, a non-steroidal contraceptive pill taken orally. It is an Oral method of contraception. So, D matches I.
Step 3: Compiling the Correct Match:
The correct matches are: A \(\rightarrow\) III, B \(\rightarrow\) IV, C \(\rightarrow\) II, D \(\rightarrow\) I. This combination corresponds to option (C).
Quick Tip: Organize contraceptive methods into categories:
- \textbf{Natural:} Rhythm method, Coitus interruptus, Lactational amenorrhea.
- \textbf{Barrier:} Condoms, Diaphragms, Cervical caps, Vaults.
- \textbf{IUDs:} Copper T, Multiload 375.
- \textbf{Oral/Hormonal:} 'The pill' (e.g., Saheli), injectables, implants.
- \textbf{Surgical/Terminal:} Vasectomy (male), Tubectomy (female).
Match List I with List II.
List I & List II
(Cells) & (Secretion)
A. Peptic cells & I. Mucus
B. Goblet cells & II. Bile juice
C. Oxyntic cells & III. Proenzyme pepsinogen
D. Hepatic cells & IV. HCl and intrinsic factor
& for absorption of vitamin B\(_{12}\)
Choose the correct answer from the options given below:
View Solution
Step 1: Understanding the Question:
The question requires matching different types of cells (List I) found in the digestive system with their respective secretions (List II).
Step 2: Matching Each Cell with its Secretion:
- A. Peptic cells (or Chief cells): These cells are located in the gastric glands of the stomach and are responsible for secreting the inactive proenzyme pepsinogen. So, A matches III.
- B. Goblet cells: These are specialized epithelial cells found throughout the gastrointestinal tract and respiratory tract. They secrete Mucus, which serves to protect and lubricate the linings. So, B matches I.
- C. Oxyntic cells (or Parietal cells): These cells are also found in the gastric glands. They secrete Hydrochloric acid (HCl) and intrinsic factor, which is essential for the absorption of vitamin B\(_{12}\). So, C matches IV.
- D. Hepatic cells (Hepatocytes): These are the main cells of the liver. They produce and secrete Bile juice, which is stored in the gallbladder and aids in the digestion of fats. So, D matches II.
Step 3: Compiling the Correct Match:
The correct matches are: A \(\rightarrow\) III, B \(\rightarrow\) I, C \(\rightarrow\) IV, D \(\rightarrow\) II. This combination corresponds to option (D).
Quick Tip: Associate the cell names with their products: - \textbf{P}eptic \(\rightarrow\) \textbf{P}epsinogen - \textbf{O}xyntic/\textbf{P}arietal \(\rightarrow\) HCl and Intrinsic Factor - \textbf{G}oblet \(\rightarrow\) Mucus (\textbf{G}ooey substance) - \textbf{H}epatic \(\rightarrow\) \textbf{H}epa (liver) \(\rightarrow\) Bile
In which blood corpuscles, the HIV undergoes replication and produces progeny viruses?
View Solution
Step 1: Understanding the Question:
The question asks to identify the specific type of blood cell that the Human Immunodeficiency Virus (HIV) uses as a "factory" to replicate itself.
Step 2: Detailed Explanation:
HIV is a retrovirus that primarily targets the human immune system. Its main target cells are a specific type of lymphocyte called Helper T-cells (T\(_H\) cells).
- These T\(_H\) cells have a protein called CD4 on their surface, which acts as a receptor for the HIV virus.
- Once HIV enters a helper T-cell, it uses the enzyme reverse transcriptase to convert its viral RNA into DNA.
- This viral DNA is then integrated into the host cell's own DNA.
- The infected T\(_H\) cell is then forced to produce new virus particles, which are released to infect other T\(_H\) cells.
- This process of replication and destruction of T\(_H\) cells leads to a progressive weakening of the immune system, resulting in Acquired Immuno-Deficiency Syndrome (AIDS).
Other cells listed like B-lymphocytes, eosinophils, and basophils are not the primary target for HIV replication.
Step 3: Final Answer:
HIV undergoes replication and produces progeny viruses primarily inside Helper T-cells (T\(_H\) cells).
Quick Tip: Remember that HIV attacks the "general" of the immune system's army, which is the Helper T-cell. By destroying the generals, the entire immune defense collapses, leading to AIDS.
Vital capacity of lung is ____________
View Solution
Step 1: Understanding the Question:
The question asks for the correct formula for the Vital Capacity (VC) of the lungs, which is a standard measure in respiratory physiology.
Step 2: Defining Respiratory Volumes and Capacities:
- Tidal Volume (TV): The volume of air inspired or expired during a normal, quiet breath.
- Inspiratory Reserve Volume (IRV): The additional volume of air that can be forcibly inhaled after a normal inspiration.
- Expiratory Reserve Volume (ERV): The additional volume of air that can be forcibly exhaled after a normal expiration.
- Residual Volume (RV): The volume of air remaining in the lungs even after a maximal forced expiration. This air cannot be voluntarily expelled.
Vital Capacity (VC) is defined as the maximum amount of air a person can exhale from the lungs after a maximum inhalation. It is the sum of the three volumes that can be moved voluntarily.
\[ Vital Capacity (VC) = Tidal Volume (TV) + Inspiratory Reserve Volume (IRV) + Expiratory Reserve Volume (ERV) \]
Let's check the options:
- (A) IRV + ERV + TV: This is the correct formula for Vital Capacity.
- (B) IRV + ERV: This is incorrect; it misses the Tidal Volume.
- (C) IRV + ERV + TV + RV: This sum is equal to the Total Lung Capacity (TLC), not the Vital Capacity.
- (D) This formula is incorrect.
Step 3: Final Answer:
The vital capacity of the lung is the sum of Inspiratory Reserve Volume, Expiratory Reserve Volume, and Tidal Volume.
Quick Tip: Remember "Vital" capacity is the volume of air vital for life that you can actively control. It includes everything except the "Residual" volume, which is the air that always remains in the lungs. Total Lung Capacity = Vital Capacity + Residual Volume.
Given below are two statements:
Statement I: A protein is imagined as a line, the left end represented by first amino acid (C-terminal) and the right end represented by last amino acid (N-terminal)
Statement II: Adult human haemoglobin, consists of 4 subunits (two subunits of \(\alpha\) type and two subunits of \(\beta\) type.)
In the light of the above statements, choose the correct answer from the options given below:
View Solution
Step 1: Understanding the Question:
The question asks to evaluate two statements, one about the convention of representing protein structure and the other about the composition of adult human hemoglobin.
Step 2: Analyzing Statement I:
"A protein is imagined as a line, the left end represented by first amino acid (C-terminal) and the right end represented by last amino acid (N-terminal)"
This statement describes the convention for writing a polypeptide chain, but it has the terminals reversed. By standard biochemical convention, a protein sequence is written starting from the N-terminal (amino-terminal) end on the left, which represents the first amino acid, to the C-terminal (carboxyl-terminal) end on the right, which represents the last amino acid. Therefore, Statement I is false.
Step 3: Analyzing Statement II:
"Adult human haemoglobin, consists of 4 subunits (two subunits of \(\alpha\) type and two subunits of \(\beta\) type.)"
This statement accurately describes the quaternary structure of adult hemoglobin (HbA). It is a tetrameric protein composed of four polypeptide chains: two identical alpha (\(\alpha\)) chains and two identical beta (\(\beta\)) chains. The structure is represented as \(\alpha_2\beta_2\). Therefore, Statement II is true.
Step 4: Final Answer:
Statement I is false, and Statement II is true.
Quick Tip: Remember the alphabetical order for protein terminals: The sequence starts with the \textbf{A}mino (N) terminal and ends with the \textbf{C}arboxyl (C) terminal. N comes before C in the alphabet, and the N-terminal comes first in the protein sequence.
Given below are two statements: one is labelled as Assertion A and the other is labelled as Reason R.
Assertion A: Endometrium is necessary for implantation of blastocyst.
Reason R: In the absence of fertilization, the corpus luteum degenerates that causes disintegration of endometrium.
In the light of the above statements, choose the correct answer from the options given below:
View Solution
Step 1: Understanding the Question:
This is an Assertion-Reason question concerning the role of the endometrium in the menstrual cycle and pregnancy.
Step 2: Analyzing Assertion A:
"Endometrium is necessary for implantation of blastocyst."
This is a correct statement. The endometrium is the inner lining of the uterus, which becomes thick, vascularized, and rich in glands under the influence of hormones to prepare for pregnancy. The blastocyst must embed itself into this receptive endometrium to establish pregnancy, a process called implantation. So, Assertion A is true.
Step 3: Analyzing Reason R:
"In the absence of fertilization, the corpus luteum degenerates that causes disintegration of endometrium."
This is also a correct statement. After ovulation, the remnant of the Graafian follicle develops into the corpus luteum, which secretes progesterone. Progesterone maintains the endometrium. If fertilization does not occur, the corpus luteum degenerates, progesterone levels fall, and the endometrium breaks down, leading to menstruation. So, Reason R is true.
Step 4: Linking Assertion and Reason:
Now, we must check if Reason R correctly explains Assertion A. Reason R explains what happens to the endometrium when fertilization *fails* (i.e., it explains menstruation). Assertion A states why the endometrium is necessary when fertilization *succeeds*. The reason the endometrium is necessary for implantation is that it provides a nourishing, receptive site for the blastocyst to attach and develop. While both statements are true and involve the endometrium, the Reason describes the mechanism of menstruation, not the reason for implantation. Therefore, R is NOT the correct explanation for A.
Step 5: Final Answer:
Both A and R are true statements, but R does not correctly explain A.
Quick Tip: In Assertion-Reason questions, after confirming both statements are true, ask "Why?" for the Assertion. "Why is the endometrium necessary for implantation?" The answer is "Because it provides nourishment and attachment." The Reason statement explains menstruation, which is a different process. Thus, the explanation is incorrect.
Select the correct group/set of Australian Marsupials exhibiting adaptive radiation.
View Solution
Step 1: Understanding the Question:
The question asks to identify a group consisting entirely of Australian marsupials. This group serves as an example of adaptive radiation, where a common ancestral marsupial evolved into a wide variety of forms adapted to different ecological niches.
Step 2: Analyzing the Options:
We need to distinguish between marsupial mammals (pouched mammals, mostly found in Australia) and placental mammals. Many marsupials have evolved to resemble placental mammals elsewhere in the world through convergent evolution.
- (A) Lemur, Anteater, Wolf: All of these are placental mammals. Lemurs are primates, the common anteater is a xenarthran, and the wolf is a canid. This is incorrect.
- (B) Tasmanian wolf, Bobcat, Marsupial mole: The Tasmanian wolf (thylacine) and Marsupial mole are marsupials. However, the Bobcat is a placental mammal (a feline). This is incorrect.
- (C) Numbat, Spotted cuscus, Flying phalanger: The Numbat (marsupial anteater), Spotted cuscus, and Flying phalanger (sugar glider) are all Australian marsupials. This group correctly represents members of the Australian marsupial radiation. This is correct.
- (D) Mole, Flying squirrel, Tasmanian tiger cat: The Mole and the Flying squirrel are placental mammals. The Tasmanian tiger cat (or quoll) is a marsupial. This is incorrect.
Step 3: Final Answer:
The only group that consists exclusively of Australian marsupials is Numbat, Spotted cuscus, and Flying phalanger.
Quick Tip: Be familiar with the classic examples of convergent evolution between placentals and Australian marsupials: - Placental Wolf \(\leftrightarrow\) Marsupial Wolf (Tasmanian wolf) - Placental Mole \(\leftrightarrow\) Marsupial Mole - Placental Flying Squirrel \(\leftrightarrow\) Marsupial Flying Phalanger The question often mixes these pairs to test your knowledge.
Match List I with List II.
List I & List II
A. Heroin & I. Effect on cardiovascular system
B. Marijuana & II. Slow down body function
C. Cocaine & III. Painkiller
D. Morphine & IV. Interfere with transport of dopamine
Choose the correct answer from the options given below:
View Solution
Step 1: Understanding the Question:
The question requires matching various psychoactive drugs with their primary effect or mechanism of action.
Step 2: Matching Each Drug with its Effect:
- A. Heroin: Also known as smack or diacetylmorphine, it is a powerful opioid depressant. Its primary effect is to slow down body function. So, A matches II.
- B. Marijuana: The active ingredients are cannabinoids, which interact with cannabinoid receptors in the brain. They are known to have a significant effect on the cardiovascular system (e.g., increasing heart rate). So, B matches I.
- C. Cocaine: Also known as coke or crack, it is a potent stimulant. It works by blocking the reuptake of neurotransmitters, particularly dopamine, in the brain's pleasure circuits. Thus, it does interfere with the transport of dopamine. So, C matches IV.
- D. Morphine: This is a very effective sedative and painkiller (analgesic), widely used in medicine. It is an opioid extracted from the poppy plant. So, D matches III.
Step 3: Compiling the Correct Match:
The correct matches are: A \(\rightarrow\) II, B \(\rightarrow\) I, C \(\rightarrow\) IV, D \(\rightarrow\) III. This combination corresponds to option (B).
Quick Tip: Categorize drugs by their general effect:
- \textbf{Depressants} (slow down): Opioids (Morphine, Heroin), Barbiturates.
- \textbf{Stimulants} (speed up): Cocaine, Amphetamines.
- \textbf{Hallucinogens}: LSD, Marijuana (has properties of all categories). Remember the specific mechanism for Cocaine (dopamine transport) and the primary medical use for Morphine (painkiller).
Match List I with List II.
List I & List II
A. Ringworm & I. Haemophilus influenzae
B. Filariasis & II. Trichophyton
C. Malaria & III. Wuchereria bancrofti
D. Pneumonia & IV. Plasmodium vivax
Choose the correct answer from the options given below:
View Solution
Step 1: Understanding the Question:
The question requires matching a disease (List I) with its causative agent (List II).
Step 2: Matching Each Disease with its Pathogen:
- A. Ringworm: Despite its name, ringworm is not caused by a worm. It is a common fungal infection of the skin. The fungi responsible belong to genera such as Trichophyton, Microsporum, and Epidermophyton. So, A matches II.
- B. Filariasis (Elephantiasis): This is a parasitic disease caused by a filarial worm (a nematode). The most common causative agent is Wuchereria bancrofti. So, B matches III.
- C. Malaria: This is a protozoan disease transmitted by the bite of an infected female Anopheles mosquito. The causative agent is a species of Plasmodium, such as Plasmodium vivax or Plasmodium falciparum. So, C matches IV.
- D. Pneumonia: This is an infection that inflames the air sacs in one or both lungs. It can be caused by bacteria, viruses, or fungi. A common bacterial cause is Haemophilus influenzae (another is Streptococcus pneumoniae). So, D matches I.
Step 3: Compiling the Correct Match:
The correct matches are: A \(\rightarrow\) II, B \(\rightarrow\) III, C \(\rightarrow\) IV, D \(\rightarrow\) I. This combination corresponds to option (B).
Quick Tip: Create a quick mental table for common diseases and their pathogen types: - Ringworm \(\rightarrow\) Fungus (Trichophyton) - Malaria \(\rightarrow\) Protozoa (Plasmodium) - Filariasis \(\rightarrow\) Helminth/Worm (Wuchereria) - Pneumonia/Typhoid \(\rightarrow\) Bacteria (H. influenzae/S. typhi)
Given below are two statements:
Statement I: Electrostatic precipitator is most widely used in thermal power plant.
Statement II: Electrostatic precipitator in thermal power plant removes ionising radiations
In the light of the above statements, choose the most appropriate answer from the options given below:
View Solution
Step 1: Understanding the Question:
The question asks to evaluate two statements about the use and function of electrostatic precipitators in thermal power plants.
Step 2: Analyzing Statement I:
"Electrostatic precipitator is most widely used in thermal power plant."
This statement is correct. Thermal power plants burn coal, which produces large amounts of fly ash (particulate matter). Electrostatic precipitators are highly efficient (up to 99%) at removing these particulate pollutants from the exhaust gases and are the preferred method for this purpose in such industries.
Step 3: Analyzing Statement II:
"Electrostatic precipitator in thermal power plant removes ionising radiations"
This statement is incorrect. The function of an electrostatic precipitator is to remove particulate matter (like dust and smoke particles) from a gas stream. It works by charging the particles and then collecting them on oppositely charged plates. It does not remove gaseous pollutants (like SO\(_2\)) or ionizing radiations.
Step 4: Final Answer:
Statement I is correct, but Statement II is incorrect.
Quick Tip: Remember the functions of major pollution control devices: - \textbf{Electrostatic Precipitator}: Removes \textbf{P}articulate matter. - \textbf{Scrubber}: Removes \textbf{S}ulfur dioxide (SO\(_2\)) gas. - \textbf{Catalytic Converter}: Converts harmful gases (CO, NOx, hydrocarbons) into harmless ones in automobiles.
Given below are statements: one is labelled as Assertion A and the other is labelled as Reason R.
Assertion A: Nephrons are of two types: Cortical \& Juxta medullary, based on their relative position in cortex and medulla.
Reason R: Juxta medullary nephrons have short loop of Henle whereas, cortical nephrons have longer loop of Henle.
In the light of the above statements, choose the correct answer from the options given below:
View Solution
Step 1: Understanding the Question:
This Assertion-Reason question is about the types of nephrons found in the kidney and their structural differences.
Step 2: Analyzing Assertion A:
"Nephrons are of two types: Cortical \& Juxta medullary, based on their relative position in cortex and medulla."
This statement is true. Based on the location of the renal corpuscle (glomerulus and Bowman's capsule) in the renal cortex, nephrons are classified into two main types: cortical nephrons (which are more numerous and have their corpuscles in the outer cortex) and juxtamedullary nephrons (which have their corpuscles deep in the cortex, near the medulla).
Step 3: Analyzing Reason R:
"Juxta medullary nephrons have short loop of Henle whereas, cortical nephrons have longer loop of Henle."
This statement is false. It has the descriptions reversed.
- Juxtamedullary nephrons are characterized by having a very long loop of Henle that extends deep into the medulla. This long loop is crucial for creating the concentration gradient needed to produce concentrated urine.
- Cortical nephrons have a short loop of Henle that only extends slightly into the medulla, or not at all.
Step 4: Final Answer:
Assertion A is a true statement, but Reason R is a false statement.
Quick Tip: Associate "Juxtamedullary" with "juxtaposed to the medulla" (deep). These deep nephrons need a \textbf{long} loop of Henle to go deep into the medulla to create the concentration gradient. Cortical nephrons, being superficial, have short loops.
Which of the following functions is carried out by cytoskeleton in a cell?
View Solution
Step 1: Understanding the Question:
The question asks to identify a function performed by the cytoskeleton from the given options.
Step 2: Detailed Explanation:
The cytoskeleton is a network of protein filaments (microtubules, microfilaments, and intermediate filaments) in the cytoplasm of a eukaryotic cell. It has several crucial functions:
- Mechanical Support: It provides structural support to the cell and maintains its shape.
- Motility: It is directly involved in various forms of cell movement. Cilia and flagella, which are responsible for the movement of cells or the movement of fluid over cell surfaces, are made of microtubules. Amoeboid movement is achieved through the action of microfilaments (actin).
- Intracellular Transport: It acts as a trackway for the movement of organelles and vesicles within the cell (a form of transportation, but motility is a more direct answer from the options).
- Cell Division: Microtubules form the mitotic spindle, which is essential for separating chromosomes during mitosis and meiosis.
Now let's evaluate the options:
- (A) Transportation: While the cytoskeleton is involved in intracellular transport, 'motility' is a more direct and universally recognized function.
- (B) Nuclear division: This is a function of the mitotic spindle, which is made of cytoskeletal elements (microtubules). However, motility is a broader function.
- (C) Protein synthesis: This is carried out by ribosomes, not the cytoskeleton.
- (D) Motility: This is a key and defining function of the cytoskeleton, encompassing cell movement, amoeboid movement, and the beating of cilia and flagella. It is the most appropriate answer among the choices.
Step 3: Final Answer:
Among the given options, motility is a primary function carried out by the cytoskeleton.
Quick Tip: Think of the cytoskeleton as the cell's "bones and muscles." Just like our skeleton gives us shape and our muscles allow for movement, the cytoskeleton provides mechanical support and is essential for all forms of cellular motility.
Broad palm with single palm crease is visible in a person suffering from-
View Solution
Step 1: Understanding the Question:
The question asks to identify the genetic disorder associated with the physical characteristic of having a broad palm with a single transverse palmar crease (also known as a simian crease).
Step 2: Detailed Explanation of the Disorders:
- (A) Thalassemia: This is a genetic blood disorder characterized by less hemoglobin and fewer red blood cells than normal. It does not cause the described palm characteristics.
- (B) Down's syndrome: This is a chromosomal disorder caused by the presence of a full or partial extra copy of chromosome 21 (Trisomy 21). It is characterized by a set of distinct physical features, including a small round head, a flattened facial profile, partially open mouth with a protruding furrowed tongue, and characteristically, broad palms with a single palmar crease.
- (C) Turner's syndrome: This is a chromosomal disorder in females caused by the absence of one of the X chromosomes (XO karyotype). It is characterized by short stature, a webbed neck, and underdeveloped ovaries, but not a single palm crease.
- (D) Klinefelter's syndrome: This is a chromosomal disorder in males caused by an extra X chromosome (XXY karyotype). It is characterized by tall stature, small testes, and some female characteristics (gynaecomastia), but not a single palm crease.
Step 3: Final Answer:
A broad palm with a single palmar crease is a classic physical symptom of Down's syndrome.
Quick Tip: For genetic disorders, associate each with its most distinctive features: - \textbf{Down's syndrome (Trisomy 21):} Single palm crease, flattened face, intellectual disability. - \textbf{Turner's syndrome (XO):} Short female, webbed neck, sterile. - \textbf{Klinefelter's syndrome (XXY):} Tall male, gynaecomastia, sterile.
Given below are two statements:
Statement I: In prokaryotes, the positively charged DNA is held with some negatively charged proteins in a region called nucleoid.
Statement II: In eukaryotes, the negatively charged DNA is wrapped around the positively charged histone octamer to form nucleosome.
In the light of the above statements, choose the correct answer from the options given below:
View Solution
Step 1: Understanding the Question:
The question asks us to evaluate two statements about the organization and packaging of DNA in prokaryotic and eukaryotic cells, specifically concerning the charges of DNA and associated proteins.
Step 2: Analyzing Statement I:
"In prokaryotes, the positively charged DNA is held with some negatively charged proteins in a region called nucleoid."
This statement contains a fundamental error. DNA is a nucleic acid, and the phosphate groups in its backbone give it a strong negative charge. In prokaryotes, this negatively charged DNA is organized into a nucleoid, associated with some positively charged (non-histone) proteins that help in packaging. The statement incorrectly claims DNA is positively charged and the proteins are negatively charged. Therefore, Statement I is incorrect.
Step 3: Analyzing Statement II:
"In eukaryotes, the negatively charged DNA is wrapped around the positively charged histone octamer to form nucleosome."
This statement is correct. In eukaryotes, the packaging of DNA is highly organized. The negatively charged DNA molecule wraps around a core of eight histone proteins (a histone octamer). Histones are rich in positively charged amino acids (lysine and arginine), which allows them to bind tightly to the negatively charged DNA. This fundamental unit of DNA packaging is called a nucleosome.
Step 4: Final Answer:
Statement I is incorrect, but Statement II is true.
Quick Tip: Always remember: DNA is an \textbf{acid} (Deoxyribonucleic Acid), and due to its phosphate backbone, it is always \textbf{negatively charged}. Any protein that needs to bind directly to DNA for packaging, like histones, must be \textbf{positively charged}. Opposite charges attract.
Match List I with List II.
List I & List II
A. P-wave & I. Beginning of systole
B. Q-wave & II. Repolarisation of ventricles
C. QRS complex & III. Depolarisation of atria
D. T-wave & IV. Depolarisation of ventricles
Choose the correct answer from the options given below:
View Solution
Step 1: Understanding the Question:
The question requires matching the different waves of a standard Electrocardiogram (ECG) with the electrical event in the heart that they represent.
Step 2: Matching Each ECG Wave:
- A. P-wave: This represents the electrical excitation, or depolarisation, of the atria. This leads to the contraction of both atria. So, A matches III.
- C. QRS complex: This complex represents the depolarisation of the ventricles, which initiates ventricular contraction (systole). So, C matches IV.
- D. T-wave: This represents the return of the ventricles from the excited to the normal state, which is called repolarisation of the ventricles. The end of the T-wave marks the end of systole. So, D matches II.
- B. Q-wave: The Q wave is the first downward deflection of the QRS complex. The entire QRS complex marks the onset of ventricular depolarization, which triggers ventricular contraction (systole). Therefore, the start of the QRS (including the Q-wave) signifies the beginning of systole. So, B matches I.
Step 3: Compiling the Correct Match:
The correct matches are: A \(\rightarrow\) III, B \(\rightarrow\) I, C \(\rightarrow\) IV, D \(\rightarrow\) II. This combination corresponds to option (B).
Quick Tip: Remember the sequence for ECG: 1. \textbf{P}-wave = Atrial de\textbf{P}olarization. 2. \textbf{QRS} complex = Ventricular depola\textbf{R}i\textbf{S}ation. 3. \textbf{T}-wave = Ventricular repolariza\textbf{T}ion. Atrial repolarization is masked by the much larger QRS complex.
Which of the following statements is correct?
View Solution
Step 1: Understanding the Question:
The question asks to identify the only correct statement among the four options related to environmental pollution.
Step 2: Evaluating Each Statement:
- (A) Algal Bloom decreases fish mortality: This is incorrect. Algal blooms lead to a depletion of dissolved oxygen in the water (hypoxia) when the algae die and are decomposed by bacteria. This lack of oxygen causes a massive increase in fish mortality.
- (B) Eutrophication refers to increase in domestic sewage and waste water in lakes.: This is incorrect. Eutrophication is the natural or artificial addition of nutrients (like nitrates and phosphates) to a water body, which leads to increased primary productivity (like algal blooms). While domestic sewage is a major cause of eutrophication, the term itself refers to the nutrient enrichment, not the sewage.
- (C) Biomagnification refers to increase in concentration of the toxicant at successive trophic levels.: This is correct. This is the precise definition of biomagnification (or bioamplification). Toxic substances that are not easily metabolized, such as DDT or mercury, accumulate in organisms and their concentration increases up the food chain.
- (D) Presence of large amount of nutrients in water restricts ‘Algal Bloom': This is incorrect. A large amount of nutrients (eutrophication) is the primary cause that promotes or causes algal blooms.
Step 3: Final Answer:
The only correct statement is the definition of biomagnification.
Quick Tip: For environmental terms, be precise with definitions: - \textbf{Eutrophication = Nutrient enrichment. - \textbf{Algal Bloom} = Consequence of eutrophication. - \textbf{Biomagnification} = Toxin concentration \textbf{magnifies} up the food chain.
Given below are two statements:
Statement I: RNA mutates at a faster rate.
Statement II: Viruses having RNA genome and shorter life span mutate and evolve faster.
In the light of the above statements, choose the correct answer from the options given below:
View Solution
Step 1: Understanding the Question:
The question asks to evaluate two statements about the mutation and evolution rates of RNA and RNA viruses.
Step 2: Analyzing Statement I:
"RNA mutates at a faster rate."
This statement is true. RNA is inherently less stable than DNA. Furthermore, the enzymes that replicate RNA (RNA polymerases and reverse transcriptases) typically lack the proofreading mechanisms that DNA polymerases have. This lack of proofreading means that errors made during replication are not corrected, leading to a much higher mutation rate.
Step 3: Analyzing Statement II:
"Viruses having RNA genome and shorter life span mutate and evolve faster."
This statement is also true. The high mutation rate of RNA (as stated in Statement I) provides a constant source of genetic variation. When combined with a short life span (which means many generations can be produced in a short time), natural selection can act very quickly on this variation. This leads to rapid evolution, which is why RNA viruses like influenza and HIV can quickly develop drug resistance or evade the immune system.
Step 4: Final Answer:
Both statements are correct and logically related. The high mutation rate of RNA genomes allows for the rapid evolution observed in RNA viruses.
Quick Tip: Remember the link: Unstable molecule (RNA) + sloppy copying (no proofreading) = High Mutation Rate. High Mutation Rate + Fast Reproduction = Rapid Evolution. This explains why we need a new flu shot every year.
Which one of the following symbols represents mating between relatives in human pedigree analysis?

View Solution
Step 1: Understanding the Question:
The question asks to identify the standard symbol used in a pedigree chart to represent a consanguineous mating, which is a mating between closely related individuals.
Step 2: Analyzing the Symbols:
In standard pedigree nomenclature:
- A square represents a male.
- A circle represents a female.
- A horizontal line connecting a square and a circle represents a mating.
- (1) Single horizontal line: This represents mating between unrelated individuals. This is the standard symbol for a partnership.
- (2) Double horizontal line: This is the specific symbol used to indicate a consanguineous mating (mating between relatives).
- (3) Unconnected square and circle: This simply depicts a male and a female in the same generation, not a mating pair.
- (4) Shaded diamond: A diamond represents an individual of unspecified sex, and shading indicates that the individual is affected by the genetic trait being studied. This does not represent mating.
Step 3: Final Answer:
The symbol for mating between relatives is a double horizontal line connecting the male (square) and female (circle).
Quick Tip: Think of the lines as marriage lines. One line is a standard marriage. A \textbf{double line} signifies a "doubly close" or related marriage (consanguinity).
The parts of human brain that helps in regulation of sexual behaviour, expression of excitement, pleasure, rage, fear etc. are:
View Solution
Step 1: Understanding the Question:
The question asks to identify the brain structures responsible for regulating emotions (excitement, pleasure, rage, fear) and basic drives like sexual behavior.
Step 2: Analyzing the Brain Structures and their Functions:
- Limbic System: This is a complex set of brain structures, including the amygdala, hippocampus, and parts of the thalamus and hypothalamus. It is often referred to as the "emotional brain" because it is the primary center for emotional responses, motivation, and memory formation.
- Hypothalamus: Located just below the thalamus, it is a key control center for the autonomic nervous system and the endocrine system. It regulates many fundamental behaviors and drives, including body temperature, hunger, thirst, and sexual behavior.
The combination of the limbic system and the hypothalamus is responsible for the integration of emotional expression and behavioral drives.
Let's look at the other options:
- (A) Corpus callosum connects the two cerebral hemispheres; Thalamus is a major relay station for sensory information.
- (C) Corpora quadrigemina are reflex centers for vision and hearing; Hippocampus is part of the limbic system but is mainly associated with memory.
- (D) Brain stem controls basic vital functions like breathing and heart rate; Epithalamus contains the pineal gland (melatonin).
Step 3: Final Answer:
The limbic system and hypothalamus together are the principal centers for regulating emotions and drives like sexual behavior.
Quick Tip: Associate the \textbf{Limbic System} with feelings and emotions. Associate the \textbf{Hypothalamus} with the "four F's" of basic drives: Fighting, Fleeing, Feeding, and... Mating (sexual behavior). Together, they control emotional behavior.
Match List I with List II.
List I & List II
A. Logistic growth & I. Unlimited resource availability condition
B. Exponential growth & II. Limited resource availability condition
C. Expanding age pyramid & III. The percent individuals of pre-reproductive
& age is largest followed by reproductive and
& post reproductive age groups
D. Stable age pyramid & IV. The percent individuals of pre-reproductives
& and reproductive age group are same
Choose the correct answer from the options given below:
View Solution
Step 1: Understanding the Question:
The question requires matching concepts from population ecology (types of growth and age pyramids) with their correct descriptions.
Step 2: Matching Each Item:
- A. Logistic growth: This model of population growth describes a situation where growth is limited by environmental factors and the carrying capacity (K) of the environment. It corresponds to a limited resource availability condition. It produces an S-shaped curve. So, A matches II.
- B. Exponential growth: This model describes population growth in an idealized environment with no resource limitations. It corresponds to an unlimited resource availability condition. It produces a J-shaped curve. So, B matches I.
- C. Expanding age pyramid: This is a population pyramid with a very broad base, indicating that the percentage of pre-reproductive individuals is the largest. This signifies rapid future growth. So, C matches III.
- D. Stable age pyramid: This is a bell-shaped pyramid where the number of pre-reproductive individuals is roughly equal to the number of reproductive individuals. It indicates that the population size will remain relatively constant. Thus, the percent individuals of pre-reproductives and reproductive age group are same (or similar). So, D matches IV.
Step 3: Compiling the Correct Match:
The correct matches are: A \(\rightarrow\) II, B \(\rightarrow\) I, C \(\rightarrow\) III, D \(\rightarrow\) IV. This corresponds to option (B).
Quick Tip: For growth curves: \textbf{E}xponential = \textbf{E}ndless resources (J-shape). \textbf{L}ogistic = \textbf{L}imited resources (S-shape). For age pyramids: \textbf{Expanding} = looks like a classic \textbf{pyramid} (broad base). \textbf{Stable} = looks like a \textbf{bell} or column (base is not much wider than the middle).
Which of the following statements are correct?
A. An excessive loss of body fluid from the body switches off osmoreceptors.
B. ADH facilitates water reabsorption to prevent diuresis.
C. ANF causes vasodilation.
D. ADH causes increase in blood pressure.
E. ADH is responsible for decrease in GFR.
Choose the correct answer from the options given below:
View Solution
Step 1: Understanding the Question:
The question asks to identify the set of correct statements regarding the regulation of kidney function and blood pressure.
Step 2: Evaluating Each Statement:
- A. An excessive loss of body fluid from the body switches off osmoreceptors. This is incorrect. Excessive fluid loss (dehydration) increases the osmolarity of the blood. This change activates or stimulates the osmoreceptors in the hypothalamus, which then triggers the release of ADH.
- B. ADH facilitates water reabsorption to prevent diuresis. This is correct. This is the primary function of Anti-Diuretic Hormone (ADH). It increases the permeability of the distal convoluted tubule and collecting duct to water, leading to more water being reabsorbed into the blood, thus producing more concentrated urine and preventing water loss (diuresis).
- C. ANF causes vasodilation. This is correct. Atrial Natriuretic Factor (ANF) is released by the heart's atria in response to high blood pressure. It acts to lower blood pressure by causing the dilation (widening) of blood vessels.
- D. ADH causes increase in blood pressure. This is correct. At high concentrations, ADH (also known as vasopressin) causes vasoconstriction (narrowing of blood vessels), which leads to an increase in blood pressure.
- E. ADH is responsible for decrease in GFR. This is incorrect. The vasoconstrictor effect of ADH can help to maintain or even increase blood pressure, which in turn helps to maintain a stable Glomerular Filtration Rate (GFR). ADH does not primarily act to decrease GFR; that is more a function of the ANF mechanism.
Step 3: Final Answer:
The correct statements are B, C, and D.
Quick Tip: Remember the opposing hormones:
- \textbf{ADH (from hypothalamus/pituitary): Released when you're dehydrated. It \textbf{A}dds \textbf{D}a \textbf{H}\(_2\)O back to blood, constricts vessels, increases BP.
- \textbf{ANF} (from heart): Released when BP is high. It's the "antagonist." It causes vasodilation to decrease BP.
Select the correct statements with reference to chordates.
A. Presence of a mid-dorsal, solid and double nerve cord.
B. Presence of closed circulatory system.
C. Presence of paired pharyngeal gillslits.
D. Presence of dorsal heart
E. Triploblastic pseudocoelomate animals.
Choose the correct answer from the options given below:
View Solution
Step 1: Understanding the Question:
The question asks us to identify the correct statements describing the characteristic features of the phylum Chordata from the given list.
Step 2: Detailed Explanation:
Let's analyze each statement:
A. Presence of a mid-dorsal, solid and double nerve cord.
This statement is incorrect. Chordates possess a dorsal, hollow, and single nerve cord. A solid and double ventral nerve cord is characteristic of non-chordates like annelids and arthropods.
B. Presence of closed circulatory system.
This statement is correct. All chordates have a closed circulatory system, where blood flows within a network of vessels (arteries, veins, and capillaries).
C. Presence of paired pharyngeal gillslits.
This statement is correct. Pharyngeal gill slits are present in all chordates at some stage of their life. They are used for filter-feeding in protochordates and for respiration in aquatic vertebrates.
D. Presence of dorsal heart.
This statement is incorrect. Chordates have a ventral heart, located on the front side of the body below the gut. A dorsal heart is found in non-chordates.
E. Triploblastic pseudocoelomate animals.
This statement is incorrect. Chordates are triploblastic (having three germ layers) but are coelomates (possessing a true coelom or body cavity). Pseudocoelomates include phyla like Aschelminthes.
Step 3: Final Answer:
Based on the analysis, only statements B and C are correct for chordates. Therefore, the correct option combines B and C.
Quick Tip: To master questions on animal classification, focus on the four key diagnostic features of Chordata: 1) Notochord, 2) Dorsal hollow nerve cord, 3) Pharyngeal gill slits, and 4) Post-anal tail. Also, contrast them with the features of non-chordates (e.g., ventral solid nerve cord, dorsal heart).
Which of the following is characteristic feature of cockroach regarding sexual dimorphism ?
View Solution
Step 1: Understanding the Question:
The question asks to identify a feature that distinguishes male and female cockroaches, which is known as sexual dimorphism.
Step 2: Detailed Explanation:
Let's evaluate each option:
(1) Presence of anal cerci: Anal cerci are a pair of jointed filamentous structures present at the posterior end of the abdomen. They are found in both male and female cockroaches, so they are not a distinguishing feature for sexual dimorphism.
(2) Dark brown body colour and anal cerci: Body colour can vary and is not a reliable feature for distinguishing sexes. As mentioned above, anal cerci are present in both sexes.
(3) Presence of anal styles: Anal styles are a pair of short, unjointed, thread-like structures located ventrally on the 9th abdominal sternite. These are present only in male cockroaches and are absent in females. This is a key characteristic of sexual dimorphism in cockroaches.
(4) Presence of sclerites: Sclerites are the hardened plates that form the exoskeleton of the cockroach. They are present in both males and females.
Step 3: Final Answer:
The presence of anal styles exclusively in males is the correct feature for identifying sexual dimorphism in cockroaches.
Quick Tip: Remember the key difference: Anal Cerci are present in both male and female cockroaches, while Anal Styles are present only in males. This is a very common point of confusion and a frequently tested topic.
Given below are two statements:
Statement I: During G\(_0\) phase of cell cycle, the cell is metabolically inactive.
Statement II: The centrosome undergoes duplication during S phase of interphase.
In the light of the above statements, choose the most appropriate answer from the options given below:
View Solution
Step 1: Understanding the Question:
The question presents two statements related to the cell cycle and asks us to evaluate their correctness.
Step 2: Detailed Explanation:
Analysis of Statement I:
"During G\(_0\) phase of cell cycle, the cell is metabolically inactive."
This statement is incorrect. The G\(_0\) phase, or quiescent stage, is a state where cells exit the cell cycle and do not divide. However, these cells remain metabolically active. They perform their specialized functions, grow in size, and synthesize proteins, but they do not replicate their DNA or prepare for division unless triggered by specific signals.
Analysis of Statement II:
"The centrosome undergoes duplication during S phase of interphase."
This statement is correct. The S phase (Synthesis phase) of the interphase is characterized by DNA replication. Along with DNA replication, the duplication of the centrosome also occurs in the cytoplasm during the S phase. This ensures that each daughter cell will receive one centrosome after mitosis.
Step 3: Final Answer:
Since Statement I is incorrect and Statement II is correct, the most appropriate option is (1).
Quick Tip: Do not confuse "quiescent" (non-dividing) with "inactive". Cells in the G\(_0\) phase are very much active in terms of metabolism and performing their physiological roles. For example, neurons are in a permanent G\(_0\) phase but are highly metabolically active.
Which of the following are NOT under the control of thyroid hormone?
A. Maintenance of water and electrolyte balance
B. Regulation of basal metabolic rate
C. Normal rhythm of sleep-wake cycle
D. Development of immune system
E. Support the process of R.B.Cs formation
Choose the correct answer from the options given below:
View Solution
Step 1: Understanding the Question:
The question asks to identify the functions from the given list that are NOT regulated by the thyroid hormone.
Step 2: Detailed Explanation:
Let's analyze the role of thyroid hormone (thyroxine) in each function:
A. Maintenance of water and electrolyte balance: Thyroid hormones do have an influence on this, but the primary control is by hormones like Aldosterone and ADH. However, thyroid hormone does play a role.
B. Regulation of basal metabolic rate (BMR): This is one of the primary and most important functions of the thyroid hormone. It regulates the body's metabolism.
C. Normal rhythm of sleep-wake cycle: This is primarily controlled by the hormone melatonin, which is secreted by the pineal gland. It is not a function of the thyroid hormone.
D. Development of immune system: The development and maturation of T-lymphocytes, a key component of the immune system, is primarily regulated by the hormone thymosin from the thymus gland. This is not a function of the thyroid hormone.
E. Support the process of R.B.Cs formation: Thyroid hormones support erythropoiesis (the formation of red blood cells).
Step 3: Final Answer:
Based on the analysis, the normal rhythm of the sleep-wake cycle (C) and the development of the immune system (D) are not under the control of the thyroid hormone. Therefore, the correct option is (4).
Quick Tip: For endocrine system questions, create a chart listing each gland, the hormones it secretes, and their primary functions. This helps in quickly associating a function with the correct hormone and gland, especially for questions asking what a hormone does *not* do.
Which one of the following is the sequence on corresponding coding strand, if the sequence on mRNA formed is as follows 5' AUCGAUCGAUCGAUCGAUCG AUCG AUCG 3'?
View Solution
Step 1: Understanding the Question:
The question provides an mRNA sequence and asks for the sequence of the corresponding coding strand of the DNA.
Step 2: Key Formula or Approach:
There are two strands of DNA involved in transcription:
1. Template Strand (or non-coding strand): This is the strand from which the mRNA is transcribed. Its sequence is complementary to the mRNA (with T instead of U).
2. Coding Strand (or non-template strand): This strand is not used for transcription. Its sequence is identical to the mRNA sequence, with the only difference being that Thymine (T) is present in DNA instead of Uracil (U) in RNA. Both the coding strand and the mRNA have the same polarity (5' to 3' orientation).
Step 3: Detailed Explanation:
The given mRNA sequence is:
5' AUCGAUCGAUCGAUCGAUCG AUCG AUCG 3'
To find the sequence of the coding strand, we need to apply the rule: same sequence as mRNA, but replace all Uracil (U) with Thymine (T). The polarity will remain the same (5' to 3').
mRNA: 5' A U C G A U C G ... 3'
Coding Strand DNA: 5' A T C G A T C G ... 3'
Applying this to the full sequence:
mRNA: \hspace{1cm 5' AUCGAUCGAUCGAUCGAUCG AUCG AUCG 3'
Coding Strand: 5' ATCGATCGATCGATCGATCG ATCGATCG 3'
Now, let's check the options:
(1) Incorrect polarity (3' to 5').
(2) Contains 'U', so it's an RNA sequence.
(3) Contains 'U' and has incorrect polarity.
(4) Matches our derived sequence exactly in both sequence and polarity (5' to 3').
Step 4: Final Answer:
The correct sequence for the coding strand is 5' ATCGATCGATCGATCGATCG ATCGATCG 3'.
Quick Tip: A simple trick for these questions: "Coding strand is same as mRNA". Just remember to swap every 'U' back to a 'T'. Don't get confused with the template strand, which would be complementary.
The unique mammalian characteristics are:
View Solution
Step 1: Understanding the Question:
The question asks to identify a set of characteristics that are unique to mammals. This means these features are found in mammals but not in other classes of vertebrates.
Step 2: Detailed Explanation:
Let's analyze each option:
(1) pinna, monocondylic skull and mammary glands:
- Pinna (external ear) is characteristic of most mammals.
- Mammary glands are unique to mammals.
- Monocondylic skull (a skull with a single occipital condyle) is found in reptiles and birds. Mammals have a dicondylic skull (two occipital condyles). Thus, this option is incorrect.
(2) hairs, tympanic membrane and mammary glands:
- Hairs and mammary glands are unique to mammals.
- The tympanic membrane (eardrum) is not unique to mammals; it is also present in amphibians, reptiles, and birds. Thus, this option is incorrect.
(3) hairs, pinna and mammary glands:
- Hairs (or fur): The presence of hair on the body is a defining and unique characteristic of mammals.
- Pinna (external ear): The fleshy external ear is characteristic of most mammals.
- Mammary glands: The presence of milk-producing glands to nourish young is the most definitive characteristic of mammals.
All three features listed in this option are uniquely mammalian.
(4) hairs, pinna and indirect development:
- Hairs and pinna are mammalian characteristics.
- Indirect development (involving a larval stage) is not a feature of mammals. Mammals exhibit direct development. Thus, this option is incorrect.
Step 3: Final Answer:
The combination of hairs, pinna, and mammary glands represents a set of uniquely mammalian characteristics.
Quick Tip: The three most universally accepted unique characteristics of mammals are: 1. Presence of hair/fur. 2. Presence of mammary glands. 3. Presence of three middle ear ossicles (malleus, incus, stapes). Also, a dicondylic skull and a muscular diaphragm are key features.
Which one of the following is NOT an advantage of inbreeding?
View Solution
Step 1: Understanding the Question:
The question asks to identify the statement that is NOT an advantage of inbreeding. Inbreeding refers to the mating of more closely related individuals within the same breed for 4-6 generations.
Step 2: Detailed Explanation:
Let's analyze the effects of inbreeding mentioned in the options:
(1) It decreases the productivity of inbred population, after continuous inbreeding.
This phenomenon is known as inbreeding depression. It is a major disadvantage of inbreeding, characterized by reduced fertility, lower productivity, and decreased vigor. Since it is a disadvantage, it is certainly "NOT an advantage".
(2) It decreases homozygosity.
This statement is factually incorrect. A primary genetic consequence of inbreeding is the increase in homozygosity. It brings homozygous purelines. Therefore, decreasing homozygosity is not an effect, let alone an advantage.
(3) It exposes harmful recessive genes that are eliminated by selection.
By increasing homozygosity, inbreeding causes harmful recessive alleles to express themselves. This allows breeders to identify individuals carrying these undesirable alleles and eliminate them from the breeding population through selection. This is a significant advantage of inbreeding.
(4) Elimination of less desirable genes and accumulation of superior genes takes place due to it.
Following from the previous point, by selective mating of superior individuals and elimination of undesirable ones, inbreeding helps in accumulating superior genes and developing a pureline. This is also a key advantage.
Step 3: Final Answer:
The question asks what is NOT an advantage.
- Options (3) and (4) are clear advantages.
- Option (1) describes inbreeding depression, which is the primary disadvantage.
- Option (2) is a false statement about the effect of inbreeding.
Both (1) and (2) are not advantages. However, option (1) describes a real outcome of inbreeding which is a disadvantage. It is the most direct answer to the question. A decrease in productivity is a negative consequence, hence not an advantage.
Quick Tip: Remember the duality of inbreeding:
\textbf{Advantage:} Increases homozygosity, helps create pure lines, and exposes harmful recessive alleles for removal.
\textbf{Disadvantage:} Can lead to inbreeding depression (reduced fertility and productivity).
Which of the following statements are correct?
A. Basophils are most abundant cells of the total WBCS
B. Basophils secrete histamine, serotonin and heparin
C. Basophils are involved in inflammatory response
D. Basophils have kidney shaped nucleus
E. Basophils are agranulocytes
Choose the correct answer from the options given below:
View Solution
Step 1: Understanding the Question:
The question requires us to identify the correct statements about basophils, a type of white blood cell (WBC).
Step 2: Detailed Explanation:
Let's evaluate each statement:
A. Basophils are most abundant cells of the total WBCS.
This statement is incorrect. The most abundant WBCs are Neutrophils (60-65%), while basophils are the least abundant (0.5-1%).
B. Basophils secrete histamine, serotonin and heparin.
This statement is correct. The granules of basophils contain these chemicals, which are released during inflammatory and allergic reactions.
C. Basophils are involved in inflammatory response.
This statement is correct. By secreting substances like histamine, basophils mediate inflammatory responses.
D. Basophils have kidney shaped nucleus.
This statement is incorrect. Basophils typically have a bilobed or S-shaped nucleus, which is often obscured by their large granules. Monocytes have a kidney-shaped nucleus.
E. Basophils are agranulocytes.
This statement is incorrect. Basophils are classified as granulocytes because of the presence of prominent granules in their cytoplasm, along with neutrophils and eosinophils.
Step 3: Final Answer:
Based on the analysis, only statements B and C are correct. Therefore, the correct option is (4).
Quick Tip: To remember the relative abundance of WBCs, use the mnemonic: "\textbf{N}ever \textbf{L}et \textbf{M}onkeys \textbf{E}at \textbf{B}ananas" which stands for Neutrophils \(>\) Lymphocytes \(>\) Monocytes \(>\) Eosinophils \(>\) Basophils.
Select the correct statements.
A. Tetrad formation is seen during Leptotene.
B. During Anaphase, the centromeres split and chromatids separate.
C. Terminalization takes place during Pachytene.
D. Nucleolus, Golgi complex and ER are reformed during Telophase.
E. Crossing over takes place between sister chromatids of homologous chromosome.
Choose the correct answer from the options given below:
View Solution
Step 1: Understanding the Question:
The question asks to identify the correct statements related to the events of cell division (mitosis and meiosis).
Step 2: Detailed Explanation:
A. Tetrad formation is seen during Leptotene.
This is incorrect. Tetrad formation, or the pairing of homologous chromosomes (synapsis), occurs during the Zygotene stage of Prophase I.
B. During Anaphase, the centromeres split and chromatids separate.
This is correct. This event characterizes Anaphase of mitosis and Anaphase II of meiosis, where sister chromatids are pulled to opposite poles.
C. Terminalization takes place during Pachytene.
This is incorrect. Crossing over occurs during Pachytene. The terminalization of chiasmata (movement towards the end of chromatids) begins in Diplotene and is completed in Diakinesis.
D. Nucleolus, Golgi complex and ER are reformed during Telophase.
This is correct. Telophase is characterized by the reversal of prophase events. The nuclear envelope reforms, and organelles like the nucleolus, Golgi complex, and ER reappear.
E. Crossing over takes place between sister chromatids of homologous chromosome.
This is incorrect. Crossing over is the exchange of genetic material between non-sister chromatids of homologous chromosomes.
Step 3: Final Answer:
From the analysis, statements B and D are the only correct ones. Therefore, the correct option is (3).
Quick Tip: To memorize the stages of Prophase I, use the mnemonic: "\textbf{L}azy \textbf{Z}ebras \textbf{P}ush \textbf{D}own \textbf{D}oors" for Leptotene, Zygotene, Pachytene, Diplotene, and Diakinesis. Associate the key event with each stage (Leptotene - condensation, Zygotene - synapsis, Pachytene - crossing over, Diplotene - chiasmata visible, Diakinesis - terminalization).
In cockroach, excretion is brought about by-
A. Phallic gland B. Urecose gland
C. Nephrocytes D. Fat body
E. Collaterial glands
Choose the correct answer from the options given below:
View Solution
Step 1: Understanding the Question:
The question asks to identify the structures responsible for excretion in a cockroach from the given list.
Step 2: Detailed Explanation:
Let's analyze the function of each structure:
A. Phallic gland: This is a part of the male reproductive system and is involved in forming spermatophores. It has no excretory function.
B. Uricose gland: Also known as the utriculi majores of the mushroom gland in male cockroaches, these glands store and excrete uric acid. They have an excretory function.
C. Nephrocytes: These are specialized cells found in the body cavity that absorb and store nitrogenous wastes from the hemolymph, playing a role in excretion.
D. Fat body: The fat body in cockroaches has multiple functions, including storage of nutrients and also the synthesis and storage of uric acid. Thus, it serves an excretory function (urates are stored in urate cells).
E. Collaterial glands: These are part of the female reproductive system and secrete the protective egg case called the ootheca. They have no excretory function.
The primary excretory organs are the Malpighian tubules, but they are not listed. Among the given options, the Uricose gland, Nephrocytes, and Fat body are all involved in excretion.
Step 3: Final Answer:
The correct combination of excretory structures is B, C, and D.
Quick Tip: Remember that excretion in cockroaches is not limited to Malpighian tubules. The fat body, nephrocytes, and uricose glands are important accessory excretory structures. Distinguish these from reproductive structures like phallic glands and collaterial glands.
Match List I with List II.
List I \hspace{3cm List II
A. Mast cells \hspace{2cm I. Ciliated epithelium
B. Inner surface of bronchiole \hspace{0.5cm II. Areolar connective tissue
C. Blood \hspace{2.4cm III. Cuboidal epithelium
D. Tubular parts of nephron \hspace{0.2cm IV. specialised connective tissue
Choose the correct answer from the options give below:
View Solution
Step 1: Understanding the Question:
The question requires matching the items in List I (structures/cells) with their correct description or type in List II (tissue types).
Step 2: Detailed Explanation:
A. Mast cells: Mast cells are component cells of connective tissue, specifically found in abundance in areolar connective tissue. They are involved in inflammatory and allergic reactions. So, A matches with II (Areolar connective tissue).
B. Inner surface of bronchiole: The inner lining of smaller bronchioles is made of ciliated cuboidal or columnar epithelium. The cilia help in moving mucus and trapped particles out of the respiratory tract. So, B matches with I (Ciliated epithelium).
C. Blood: Blood is a fluid connective tissue that consists of plasma, red blood cells, white blood cells, and platelets. It is considered a specialised connective tissue because it has a matrix (plasma) and originates from mesoderm. So, C matches with IV (specialised connective tissue).
D. Tubular parts of nephron: The tubular parts of a nephron, such as the Proximal Convoluted Tubule (PCT) and Distal Convoluted Tubule (DCT), are lined with cuboidal epithelium. The PCT has cuboidal epithelium with microvilli. So, D matches with III (Cuboidal epithelium).
Step 3: Final Answer:
The correct matching is: A-II, B-I, C-IV, D-III. This corresponds to option (4).
Quick Tip: For "Match the Following" questions on tissues, focus on the location and function. Epithelium is for lining/covering, connective tissue for support/transport, muscular for movement, and nervous for control. Knowing the sub-types and their specific locations (e.g., ciliated epithelium in bronchioles, cuboidal in nephron tubules) is key.
Which of the following statements are correct regarding skeletal muscle?
A. Muscle bundles are held together by collagenous connective tissue layer called fascicle.
B. Sarcoplasmic reticulum of muscle fibre is a store house of calcium ions.
C. Striated appearance of skeletal muscle fibre is due to distribution pattern of actin and myosin proteins.
D. M line is considered as functional unit of contraction called sarcomere.
Choose the most appropriate answer from the options given below:
View Solution
Step 1: Understanding the Question:
The question asks to identify the correct statements about the structure and function of skeletal muscle.
Step 2: Detailed Explanation:
A. Muscle bundles are held together by collagenous connective tissue layer called fascicle.
This statement is incorrect. A muscle bundle itself is called a fascicle. The connective tissue layer that surrounds a fascicle is called the perimysium. The statement wrongly identifies the connective tissue as the fascicle.
B. Sarcoplasmic reticulum of muscle fibre is a store house of calcium ions.
This statement is correct. The sarcoplasmic reticulum, the endoplasmic reticulum of muscle cells, plays a crucial role in muscle contraction by storing and releasing calcium ions (\(Ca^{2+}\)).
C. Striated appearance of skeletal muscle fibre is due to distribution pattern of actin and myosin proteins.
This statement is correct. The characteristic light (I-bands) and dark (A-bands) striations of skeletal muscle are due to the highly organized, repeating arrangement of thin (actin) and thick (myosin) myofilaments.
D. M line is considered as functional unit of contraction called sarcomere.
This statement is incorrect. The functional unit of muscle contraction is the sarcomere, which is defined as the region of a myofibril between two successive Z-lines. The M-line is a protein structure that runs down the center of the thick filament (myosin) in the middle of the A-band.
Step 3: Final Answer:
Based on the analysis, only statements B and C are correct. Therefore, the correct option is (3).
Quick Tip: To avoid confusion in muscle structure: A muscle fiber (cell) contains myofibrils. A bundle of muscle fibers is a fascicle. A bundle of fascicles forms the whole muscle. The functional unit is the sarcomere (Z-line to Z-line). The M-line is just the middle of the sarcomere.
NEET Previous Year Question Papers with Answer Keys
| NEET 2022 Question Papers | NEET 2021 Question Papers | NEET 2020 Question Papers |
| NEET 2019 Question Papers | NEET 2018 Question Papers | NEET 2017 Question Papers |



Comments