CUET PG 2026 Chemistry Question Paper is available for download here. The National Testing Agency (NTA) conducted the CUET PG 2026 Chemistry (SCQP08) examination on March 11, 2026, during Shift 3 from 04:00 PM to 05:30 PM.
CUET PG 2026 Chemistry Question Paper with Solutions PDF
| CUET PG 2026 Chemistry Question Paper with Answer Key | Download PDF | Check Solutions |

The major product formed in the following reaction is p

View Solution
Step 1: Understanding the Concept:
The reaction sequence involves the syn-dihydroxylation of an alkene to form a cis-1,2-diol, the protection of this diol as a cyclic benzylidene acetal, and a final fragmentation step triggered by a strong base (\(n\)-BuLi).
Step 2: Key Formula or Approach:
1. Alkene + \(KMnO_4/OH^-\) (cold) \(\rightarrow\) \textit{cis-diol.
2. Diol + Aldehyde + \(H^+\) \(\rightarrow\) Cyclic Acetal.
3. Cyclic Acetal of \textit{cis-diol + \(n\)-BuLi \(\rightarrow\) Regenerated Alkene (Hines deoxygenation).
Step 3: Detailed Explanation:
1. Step 1: Cyclohexene reacts with cold, alkaline \(KMnO_4\) to undergo syn-hydroxylation, yielding \textit{cis-cyclohexane-1,2-diol.
2. Step 2: This \textit{cis-diol reacts with benzaldehyde (\(PhCHO\)) in the presence of an acid catalyst (\(H^+\)) to form a cyclic acetal (2-phenyl-hexahydro-1,3-benzodioxole).
3. Step 3: Treatment of the cyclic acetal with \(n\)-butyllithium leads to the deprotonation of the benzylic carbon. The resulting carbanion undergoes a concerted fragmentation (cyclofragmentation), eliminating lithium benzoate to regenerate the double bond. This overall process is a method for the stereospecific deoxygenation of diols back to alkenes.
Step 4: Final Answer:
The final product (P) is cyclohexene.
Quick Tip: This sequence is a classic "protection-deprotection" strategy used to temporarily mask an alkene or to purify it through a crystalline diol/acetal intermediate. The final step is known as the Hines fragmentation.
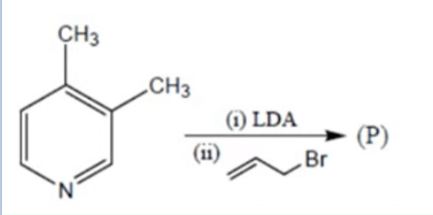
The major product P is

View Solution
Step 1: Understanding the Concept:
The acidity of alkyl groups on a pyridine ring depends on the position relative to the nitrogen atom. Benzylic-type carbanions at the 2- (\(\alpha\)) and 4- (\(\gamma\)) positions are stabilized by resonance involving the electronegative nitrogen.
Step 2: Key Formula or Approach:
Acidity order of methyl groups in pyridines: \(\gamma > \alpha \gg \beta\).
LDA (Lithium diisopropylamide) is a strong, hindered base used for kinetic deprotonation.
Step 3: Detailed Explanation:
1. Deprotonation: In 3,4-dimethylpyridine, the methyl group at the 4-position (\(\gamma\)) is significantly more acidic than the one at the 3-position (\(\beta\)). This is because the negative charge on the 4-picolyl carbanion can be delocalized directly onto the nitrogen atom, whereas the 3-picolyl carbanion cannot.
2. Reaction with LDA: LDA selectively removes a proton from the more acidic C4-methyl group to form a stabilized organolithium intermediate.
3. Alkylation: This nucleophilic carbanion then attacks allyl bromide (\(CH_2=CHCH_2Br\)) via an \(S_N2\) mechanism, attaching the allyl group to the C4 position.
Step 4: Final Answer:
The product P is 3-methyl-4-(but-3-enyl)pyridine.
Quick Tip: Methyl groups at the \(\beta\) position of pyridine behave much like those on toluene because they lack resonance stabilization from the ring nitrogen. Always target the \(\alpha\) or \(\gamma\) positions for regioselective functionalization.
Match the appropriate geometry on the right with each of the species on the left:
View Solution
Step 1: Understanding the Concept:
Xenon compound geometries are predicted using VSEPR theory, based on the steric number (bond pairs + lone pairs) of the central Xenon atom.
Step 2: Detailed Explanation:
1. (A) \(FXeO(OSO_2F)\): Xenon is in the +2 state, bonded to two electronegative groups. It has 2 bond pairs and 3 lone pairs (\(sp^3d\) hybridization). To minimize repulsion, lone pairs occupy equatorial positions, making the molecular geometry linear. \(\rightarrow\) (i)
2. (B) \(FXeN(SO_2F)_2\): Similarly, Xenon is in the +2 state with 2 bond pairs and 3 lone pairs. The geometry around Xe is linear. \(\rightarrow\) (i)
3. (C) \(XeO_3\): Xenon is in the +6 state. It has 3 double bonds to oxygen and 1 lone pair (\(sp^3\) hybridization). This results in a trigonal pyramidal geometry. \(\rightarrow\) (ii)
4. (D) \(XeOF_2\): Xenon is in the +4 state. It has 3 bonding pairs (1 \(Xe=O\), 2 \(Xe-F\)) and 2 lone pairs (\(sp^3d\) hybridization). In a TBP arrangement, lone pairs go to equatorial sites, leaving a T-shaped geometry. \(\rightarrow\) (iii)
Step 3: Final Answer:
The correct matching is (A)-(i), (B)-(i), (C)-(ii), (D)-(iii).
Quick Tip: In \(sp^3d\) systems with 3 lone pairs (like \(XeF_2\)), the geometry is always linear. With 2 lone pairs (like \(ClF_3\) or \(XeOF_2\)), the geometry is always T-shaped.
The correct polarity order among the following is?
View Solution
Step 1: Understanding the Concept:
Polarity in these isoelectronic cyclic molecules depends on the electronegativity difference (\(\Delta EN\)) between the alternating atoms in the ring.
Step 2: Detailed Explanation:
1. Benzene (\(C_6H_6\)): It is a non-polar hydrocarbon. The \(C-C\) and \(C-H\) bonds have negligible \(\Delta EN\), and its high symmetry (\(D_{6h}\)) ensures a net dipole moment of zero.
2. Borazine (\(B_3N_3H_6\)): Known as "inorganic benzene". The \(B-N\) bond is polar because \(EN(N) = 3.0\) and \(EN(B) = 2.0\), giving \(\Delta EN = 1.0\). While the symmetric ring has \(\mu = 0\), it has significant "local" bond polarity.
3. Boroxine (\(B_3O_3H_3\)): Contains alternating B and O atoms. Since Oxygen is more electronegative (\(EN=3.5\)) than Nitrogen (\(EN=3.0\)), the \(B-O\) bond (\(\Delta EN = 1.5\)) is much more polar than the \(B-N\) bond.
Higher \(\Delta EN\) leads to higher ionic character and higher polarity in the molecule's chemical behavior.
Step 3: Final Answer:
The polarity order is Boroxine \(>\) Borazine \(>\) Benzene.
Quick Tip: For isoelectronic aromatic rings, the reactivity and polar nature increase as the electronegativity difference between the ring atoms increases.
The total number of lone pairs in \(XeOF_4\) is
View Solution
Step 1: Understanding the Concept:
Total lone pairs in a molecule include those on the central atom and all the surrounding ligand atoms.
Step 2: Detailed Explanation:
1. Central Xenon (Xe): Xe has 8 valence electrons. In \(XeOF_4\), it uses 2 electrons for the \(Xe=O\) bond and 4 electrons for the four \(Xe-F\) bonds. Total used = 6. Remaining = 2 electrons = 1 lone pair.
2. Fluorine atoms (4F): Each F has 7 valence electrons. After forming 1 bond, each has 6 electrons left = 3 lone pairs per F. Total = \(4 \times 3 = 12\).
3. Oxygen atom (1O): Oxygen has 6 valence electrons. After forming a double bond, it has 4 electrons left = 2 lone pairs.
4. Grand Total: \(1 (Xe) + 12 (F) + 2 (O) = 15\).
Step 3: Final Answer:
The total number of lone pairs is 15.
Quick Tip: Don't forget to count the lone pairs on the terminal atoms unless the question specifically asks for "lone pairs on the central atom".
In the above compound, the number of \(^1H\) NMR signals is

View Solution
Step 1: Understanding the Concept:
Chemical equivalence in NMR is determined by the symmetry of the molecule. Each unique environment of protons produces one signal.
Step 2: Detailed Explanation:
The molecule is 1,1'-bi(cyclohex-1-en-1-yl). It has a \(C_2\) axis or a center of inversion, making both rings identical. We analyze unique protons in one ring:
1. Vinyl proton (C2-H): Adjacent to the connecting bond. (Signal 1)
2. Allylic protons (C3-\(H_2\)): Adjacent to the vinyl proton. (Signal 2)
3. Homoallylic protons (C4-\(H_2\)): (Signal 3)
4. Homoallylic protons (C5-\(H_2\)): In a different environment than C4. (Signal 4)
5. Allylic protons (C6-\(H_2\)): Adjacent to the quaternary carbon. (Signal 5)
Step 3: Final Answer:
The number of signals is 5.
Quick Tip: When dealing with bicyclic or symmetric molecules, find the symmetry elements first to simplify the problem to one repeating unit.
Consider the following reaction

The number of stereoisomer(s) formed during this reaction will be
View Solution
Step 1: Understanding the Concept:
Electrophilic addition of HCl to an alkene proceeds via a carbocation intermediate, following Markovnikov's rule.
Step 2: Detailed Explanation:
1. Mechanism: Protonation of the double bond gives a stable tertiary carbocation at one of the ring carbons.
2. Product: Chloride ion then attacks the carbocation, yielding 1-chloro-1,2-dimethylcyclopentane.
3. Stereocenters: The product has two chiral carbons: C1 (bonded to Cl, Me, C2, C5) and C2 (bonded to H, Me, C1, C3).
4. Counting Isomers: With 2 chiral centers and no plane of symmetry (due to Cl vs H at the two sites), the total number of stereoisomers is \(2^n = 2^2 = 4\). These comprise two pairs of enantiomers (RR/SS and RS/SR).
Step 3: Final Answer:
The number of stereoisomers formed is 4.
Quick Tip: Always check if the product can have a meso form. In this case, since the groups at C1 (Cl, Me) and C2 (H, Me) are different, no internal plane of symmetry exists, so there are no meso compounds.
The number of total valence electrons in the following complex is \([Os(N)Br_2(PMe_3)(NMe_2)]^-\)
View Solution
Step 1: Understanding the Concept:
The 18-electron rule is evaluated by counting valence electrons from the metal and those donated by ligands.
Step 2: Detailed Explanation:
Using the neutral atom counting method:
- Osmium (Os): Group 8 element \(\rightarrow\) 8e.
- Nitrido (N): Terminal triply bonded ligand \(\rightarrow\) 3e.
- Bromine (\(Br_2\)): 2 halogen atoms \(\rightarrow\) \(2 \times 1 = 2e\).
- Phosphine (\(PMe_3\)): Neutral 2-electron donor \(\rightarrow\) 2e.
- Amido (\(NMe_2\)): Radical amido ligand \(\rightarrow\) 1e.
- Negative charge: Adds 1e.
Total = \(8 + 3 + 2 + 2 + 1 + 1 = 17\) electrons.
Step 3: Final Answer:
The total valence electron count is 17.
Quick Tip: Be careful with the nitrido (\(N^{3-}\)) and amido (\(NR_2^-\)) ligands. In neutral counting, Nitrido is 3e and Amido is 1e.
The correct order of rate of solvolysis for the following compounds is

View Solution
Step 1: Understanding the Concept:
Solvolysis rate in \(S_N1\) reactions is governed by the stability of the intermediate carbocation.
Step 2: Detailed Explanation:
1. Compound II: Forms the tropylium cation, which is cyclic, planar, fully conjugated, and has \(6\pi\) electrons. It is aromatic and extremely stable.
2. Compound III: Forms the benzyl cation, which is stabilized by resonance with the phenyl ring. It is stable but less so than an aromatic cation.
3. Compound I: Forms the cyclopentadienyl cation. It has \(4\pi\) electrons in a cyclic planar system, making it anti-aromatic and highly unstable.
Step 3: Final Answer:
The order is II \(>\) III \(>\) I.
Quick Tip: Aromatic intermediates accelerate reactions, while anti-aromatic intermediates act as extreme barriers.
The following borate \([B_5O_6(OH)_4]^-\) belongs to which of the following class of borates?
View Solution
Step 1: Understanding the Concept:
Polyborates are classified based on the coordination number of the Boron atoms within their complex structure.
Step 2: Detailed Explanation:
The pentaborate anion \([B_5O_6(OH)_4]^-\) consists of a bicyclic structure. In this arrangement, one boron atom is 4-coordinated (\(sp^3\), tetrahedral \(BO_4\) unit) while the other four boron atoms are 3-coordinated (\(sp^2\), trigonal planar \(BO_3\) units). Because the structure contains boron atoms in different hybridization and coordination states, it is termed a "Mixed" borate.
Step 3: Final Answer:
The class of borate is Mixed.
Quick Tip: Most common polyborates found in minerals like borax are mixed borates containing both tetrahedral and trigonal planar boron centers.
Hybridizations of the atoms indicated with the asterisk (*) in the following compounds sequentially are
View Solution
Step 1: Understanding the Concept:
Hybridization depends on the number of sigma bonds and lone pairs. A lone pair that is delocalized via resonance is considered to be in a p-orbital, lowering the hybridization index.
Step 2: Detailed Explanation:
1. Phenyl acetate: The oxygen lone pair is in resonance with the carbonyl group. \(\rightarrow\) \(sp^2\).
2. Vinyl ether: The oxygen lone pair is in resonance with the adjacent double bond. \(\rightarrow\) \(sp^2\).
3. Dioxolane: The oxygen has two sigma bonds and two non-delocalized lone pairs in a saturated ring. \(\rightarrow\) \(sp^3\).
4. Furan: The oxygen is part of an aromatic ring and must contribute a lone pair to the \(\pi\) system. \(\rightarrow\) \(sp^2\).
Step 3: Final Answer:
The sequence is \(sp^2, sp^2, sp^3, sp^2\).
Quick Tip: If an atom with a lone pair is adjacent to a multiple bond or part of an aromatic ring, it typically adopts \(sp^2\) hybridization to enable resonance.
The light pink colour of \([Co(H_2O)_6]^{2+}\) and the deep blue colour of \([CoCl_4]^{2-}\) are due to:
View Solution
Step 1: Understanding the Concept:
Colors in transition metal complexes predominantly arise from d-d transitions or Charge Transfer transitions.
Step 2: Detailed Explanation:
1. Hexaaquacobalt(II): An octahedral complex where d-d transitions are Laporte-forbidden. This results in weak absorption and a pale pink color.
2. Tetrachlorocobaltate(II): A tetrahedral complex where the absence of a center of inversion relaxes the Laporte rule, making the d-d transitions much more intense and leading to a deep blue color.
Both colors are caused by the excitation of an electron between split d-orbitals.
Step 3: Final Answer:
The transitions are d-d in both complexes.
Quick Tip: Centrosymmetric complexes (like octahedral) have pale colors due to Laporte forbidden transitions. Non-centrosymmetric complexes (like tetrahedral) have intense colors.
The number of isomers having non-zero dipole moment for \(PCl_2F_3\) in the trigonal bipyramidal geometry is
View Solution
Step 1: Understanding the Concept:
Dipole moment depends on the vector sum of individual bond dipoles. In a symmetric geometry, these vectors can cancel out.
Step 2: Detailed Explanation:
There are 3 possible isomers for TBP \(PCl_2F_3\):
1. Cl axial, Cl axial: All axial dipoles cancel, and the three equatorial F atoms cancel each other out (\(D_{3h}\) symmetry). \(\mu = 0\).
2. Cl equatorial, Cl equatorial: One F is equatorial, and two F are axial. The axial F atoms cancel, but the equatorial \(P-F\) dipole is not balanced by the two \(P-Cl\) dipoles. \(\mu \neq 0\).
3. Cl axial, Cl equatorial: The asymmetry prevents total vector cancellation. \(\mu \neq 0\).
Step 3: Final Answer:
There are 2 isomers with a non-zero dipole moment.
Quick Tip: For TBP molecules of type \(AX_2Y_3\), the only non-polar isomer is the one with the \(X\) atoms in trans (axial) positions and the \(Y\) atoms in the equatorial plane.







Comments