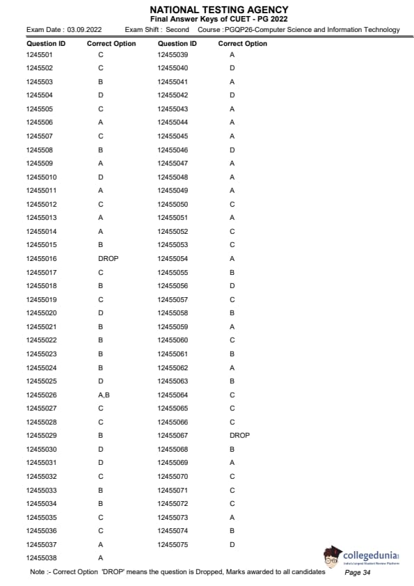
CUET PG Computer Science and Information Technology Question Paper 2022 is available for download. CUET PG 2022 Computer Science and Information Technology paper was conducted by National Testing Agency (NTA) on September 3, 2022 in Shift 2. The question paper comprised a total of 100 questions.
CUET PG 2022 Computer Science and IT Question Paper with Answer Key PDF
| CUET PG Computer Science and IT Question Paper PDF | CUET PG Computer Science and IT Answer Key PDF |
|---|---|
| Download PDF | Download PDF |







Comments