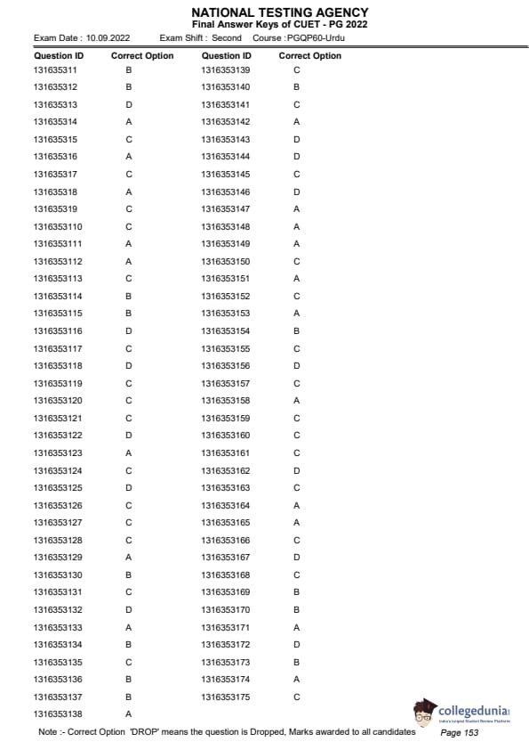
CUET PG Urdu Question Paper 2022 is available for download. CUET PG 2022 Urdu paper was conducted by National Testing Agency (NTA) on September 10, 2022 in Shift 2. The question paper comprised a total of 100 questions.
CUET PG 2022 Urdu Question Paper with Answer Key PDF
| CUET PG Urdu Question Paper PDF | CUET PG Urdu Answer Key PDF |
|---|---|
| Download PDF | Download PDF |







Comments