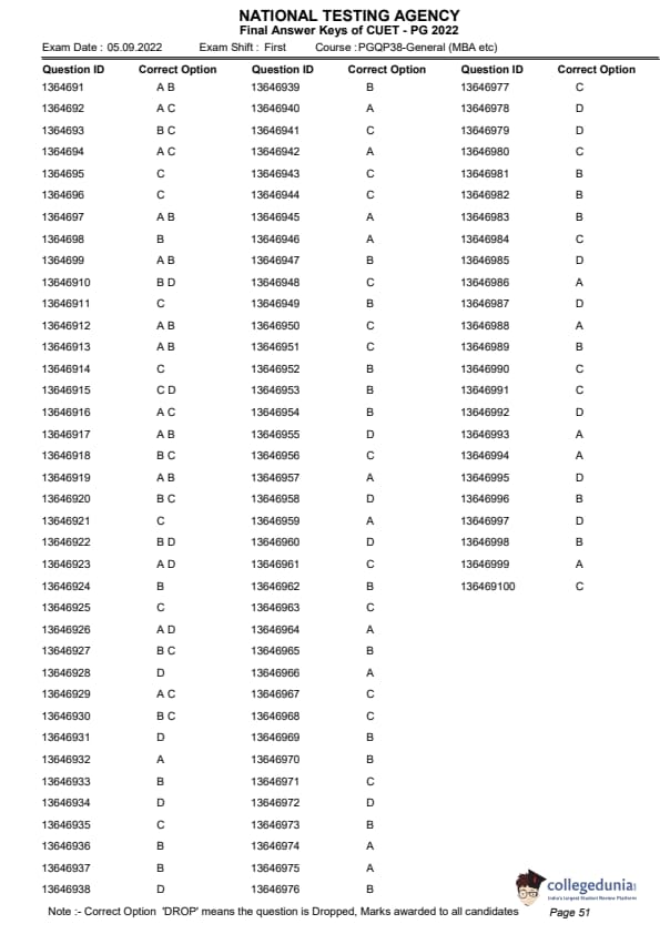
CUET PG General (MBA) Question Paper 2022 is available for download. CUET PG 2022 General (MBA) paper was conducted by National Testing Agency (NTA) on September 5, 2022 in Shift 1. The question paper comprised a total of 100 questions.
CUET PG 2022 General (MBA) Question Paper with Answer Key PDF
| CUET PG General (MBA) Question Paper PDF | CUET PG General (MBA) Answer Key PDF |
|---|---|
| Download PDF | Download PDF |







Comments