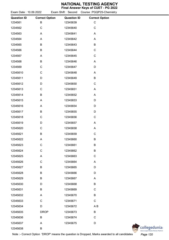
CUET PG Chemistry Question Paper 2022 is available for download. CUET PG 2022 Chemistry paper was conducted by National Testing Agency (NTA) on September 10, 2022 in Shift 2. The question paper comprised a total of 100 questions.
CUET PG 2022 Chemistry Question Paper with Answer Key PDF
| CUET PG Chemistry Question Paper PDF | CUET PG Chemistry Answer Key PDF |
|---|---|
| Download PDF | Download PDF |







Comments