CAT 2005 Question Paper with Answer Key PDF is available for download. CAT 2005 was held on November 20, 2005 and more than 1.5 lakh candidates appeared for the exam. A total of 90 questions constituted the question paper of CAT 2005. Each section carried 30 questions.
- The overall difficulty level of CAT 2005 question paper was rated moderate to tough. Data Interpretation and Logical Reasoning section was rated the toughest of all the sections.
Candidates preparing for CAT 2025 can download the CAT 2006 question paper with the solution PDF to get a better idea about the type of questions asked in the paper and their difficulty level.
Also Check:
CAT 2005 Question Paper with Answer Key PDFs
| CAT 2005 Question Paper with Answer Key | Download PDF | Check Solutions |

Question 1:
If \(x = (16^3 + 17^3 + 18^3 + 19^3)\), then \(x\) divided by \(70\) leaves a remainder of:
A chemical plant has four tanks (A, B, C, D), each containing \(1000\) litres. Chemical is pumped between tanks at the given rates:
A → B: 20 L/min,
C → A: 90 L/min,
A → D: 10 L/min,
C → D: 50 L/min,
B → C: 100 L/min,
D → B: 110 L/min.
Which tank empties first and how long does it take (minutes) after pumping starts?
Two identical circles intersect so that their centers and intersection points form a square of side 1 cm. The area in sq. cm of the portion common to both circles is:
A jogging park has two identical circular tracks touching each other, enclosed by a rectangular track tangent to both circles. A jogger A runs around rectangle, jogger B runs a figure eight along circles. How much faster must B run to finish together with A?
In a chess competition with boys and girls, each student plays exactly one game with each other student. Total 45 games were boy-boy, 190 games boy-girl. Number of girls = ?
At what time do Ram and Shyam first meet each other?
At what time does Shyam overtake Ram?
If \(R = \frac{30^{65} - 29^{65}}{30^{64} + 29^{64}}\), then:
What is the distance in cm between two parallel chords of lengths 32 cm and 24 cm in a circle of radius 20 cm?
View Solution
For which value of \(k\) does the pair of equations yield a unique positive \(x\) solution?
\[ x^2 - y^2 = 0 \] \[ (x - k)^2 + y^2 = 1 \]
Let \(n! = 1 \times 2 \times 3 \times \dots \times n\) for integer \(n \geq 1\). If \(p = 11! + (2 \times 2!) + (3 \times 3!) + \dots + (10 \times 10!)\), then \(p+2\) when divided by \(11!\) leaves a remainder of:
Consider a triangle on X–Y plane with vertices \((41,0)\), \((0,41)\), \((0,0)\). Number of integer-coordinate points strictly inside is:
Digits of 3-digit \(A\) reversed to make \(B\). If \(B>A\) and \(B-A\) divisible by 7, then:
If \(a_1=1\) and \(a_{n+1} - 3a_n + 2 = 4n\), find \(a_{100}\).
Set \(S\): five-digit numbers from digits 1–5 exactly once, exactly 2 odd positions have odd digits. Find sum of rightmost digits of all numbers in S.
Rightmost non-zero digits of \(30^{270}\) is:
Four points A,B,C,D on a line: AB=BC=CD, length AB=1m. Ant at A to reach sugar at D, but repellents at B and C: ant cannot come within 1m of repellents.
If \(x \geq y > 1\), the value of \(\log_x\left(\frac{x}{y}\right) + \log_y\left(\frac{y}{x}\right)\) can never be:
For a positive integer \(n\), let \(p_n\) be the product of the digits of \(n\) and \(s_n\) be the sum of the digits of \(n\). The number of integers between 10 and 1000 for which \(p_n + s_n = n\) is:
Rectangular tiles of size \(70\) cm × \(30\) cm to be placed on floor \(110\) cm × \(130\) cm, aligned to edges. Max tiles without overhanging?
In XY-plane, area bounded by \(|x+y| + |x-y| = 4\):
Circle diameter = 3 cm. AB and MN are diameters, perpendicular. CG ⟂ AB, AE:EB = 1:2, DF ⟂ MN, NL:LM = 1:2. Find DH in cm.
Consider the triangle \(ABC\) where \(BC = 12\) cm, \(DB = 9\) cm, \(CD = 6\) cm, and \(\angle BCD = \angle BAC\).
What is the ratio of the perimeter of \(\triangle ADC\) to that of \(\triangle BDC\)?
\(P, Q, S, R\) are points on a circle of radius \(r\), such that \(PQR\) is an equilateral triangle and \(PS\) is a diameter. What is the perimeter of quadrilateral \(PQSR\)?
Let \(S\) be a set of integers \(n\) with \(1000 \leq n \leq 1200\) and all digits odd. How many \(n \in S\) are divisible by 3?
Let \(x = \sqrt{4+\sqrt{4+\sqrt{4+\dots}}}\). Find \(x\).
Let \(g(x)\) be a function such that \(g(x+1)+g(x-1) = g(x)\) for all real \(x\). For what \(p\) does \(g(x+p) = g(x)\) hold for all \(x\)?
A telecom provider hires male and female operators to answer 1000 calls/day. Male can handle 40 calls/day, female 50. Fixed pay: Rs. 250 (male), Rs. 300 (female). Per call pay: Rs. 15 (male), Rs. 10 (female). Must employ more than 7 of the 12 females available. How many male operators minimize cost?
Three Englishmen and three Frenchmen each know one unique secret. Only one Englishman knows French, no Frenchman knows English. They exchange secrets via person-to-person calls so all know all secrets. What is minimum number of calls?
Square floor tiled with equal-size square tiles. Edge tiles are white, interior red. White tile count = red tile count. Possible number of tiles per edge?
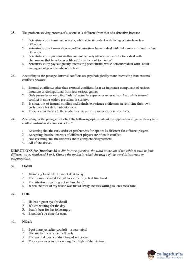
According to the passage, internal conflicts are psychologically more interesting than external conflicts because:
Which, according to the author, would qualify as interesting psychology?
According to the passage, which of the following options about the application of game theory to a conflict-of-interest situation is true?
The problem-solving process of a scientist is different from that of a detective because:
(3) Scientists study phenomena not actively altered, while detectives deal with phenomena deliberately influenced to mislead
View Solution
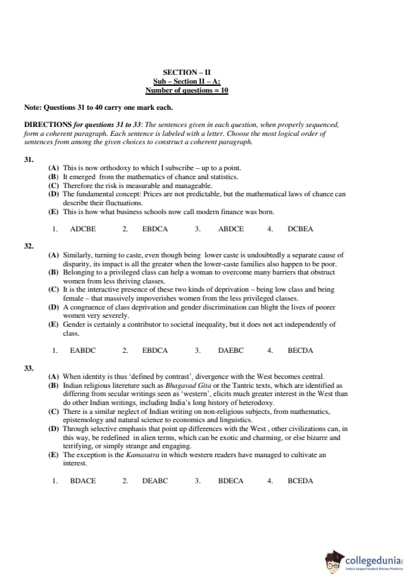
Arrange the sentences to form a coherent paragraph:
A. Similarly, turning to caste, even though being lower caste is undoubtedly a separate cause of disparity, its impact is all the greater when the lower-caste families also happen to be poor.
B. Belonging to a privileged class can help a woman to overcome many barriers that obstruct women from less thriving classes.
C. It is the interactive presence of these two kinds of deprivation – being low caste and being female – that massively impoverishes women from the less privileged classes.
D. A congruence of class deprivation and gender discrimination can blight the lives of poorer women very severely.
E. Gender is certainly a contributor to societal inequality, but it does not act independently of class.
Arrange the sentences to form a coherent paragraph:
A. What identity is thus ‘defined by contrast’, divergence with the West becomes central.
B. Indian religious literature such as the \textit{Bhagavad Gita or the Tantric texts, which are identified as differing from secular writings seen as ‘western’, elicits much greater interest in the West than do other Indian writings, including India’s long history of heterodoxy.
C. There is a similar neglect of Indian writing on non-religious subjects, from mathematics, epistemology and natural science to economics and linguistics.
D. Through selective emphasis that point up differences with the West, other civilizations can, in this way, be redefined in alien terms, which can be exotic and charming, or else bizarre and terrifying, or simply strange and engaging.
E. The exception is the \textit{Kamasutra in which western readers have managed to cultivate an interest.
Arrange the sentences to form a coherent paragraph:
A. This is now orthodoxy to which I subscribe – up to a point.
B. It emerged from the mathematics of chance and statistics.
C. Therefore the risk is measurable and manageable.
D. The fundamental concept: Prices are not predictable, but the mathematical laws of chance can describe their fluctuations.
E. This is how what business schools now call modern finance was born.
Word: \textbf{Near} — Choose the option where its usage is incorrect or inappropriate.
Word: \textbf{Hand} — Choose the option where its usage is incorrect or inappropriate.
Word: \textbf{For} — Choose the option where its usage is incorrect or inappropriate.
By the expression ‘Edwardian Summer’, the author refers to a period in which there is
What, according to the author, has resulted in a widespread belief in the resilience of modern capitalism?
(3) Continued growth of Western economies despite a rise in terrorism, an increase in oil prices and other similar shocks.
View Solution
Which of the following best represents the key argument made by the author?
What can be inferred about the author’s view when he states ‘As Tommy Cooper used to say “just like that”’?
According to the passage, Derrida believes that:
(4) We need to uncover the hidden meaning in a system of relations expressed by language.
View Solution
To Derrida, ‘logocentrism’ does not imply:
(3) Interdependence of the meanings of dichotomous terms.
View Solution
According to the passage, Derrida believes that the system of binary opposition:
Derrida rejects the idea of ‘definitive authority of the subject’ because:
The audiences for crosswords and sudoku, understandably, overlap greatly, but there are differences, too. A crossword attracts a more literary person, while sudoku appeals to a keenly logical mind. Some crossword enthusiasts turn up their noses at sudoku because they feel it lacks depth. A good crossword requires vocabulary, knowledge, mental flexibility and sometimes even a sense of humor to complete. It touches numerous areas of life and provides an “Aha!” or two along the way.
(1) Sudoku, on the other hand, is just a logical exercise, each one similar to the last.
View Solution
Most firms consider expert individuals to be too elitist, temperamental, egocentric, and difficult to work with. Force such people to collaborate on a high-stakes project and they might just come to fisticuffs. Even the very notion of managing such a group seems unimaginable. So most organizations fall into default mode, setting up project teams of people who get along nicely.
Federer’s fifth grand slam win prompted a reporter to ask whether he was the best ever. Federer is certainly not lacking in confidence, but he wasn’t about to proclaim himself the best ever. “The best player of this generation, yes”, he said. “But nowhere close to ever. Just look at the records that some guys have. I’m a minnow.”
(4) The difference between ‘the best of this generation’ and ‘the best ever’ is a matter of perception.
View Solution
Thus the end of knowledge and the closing of the frontier that it symbolizes is not a looming crisis at all, but merely one of many embarrassing fits of hubris in civilization’s long industry. In the end, it will pass away and be forgotten. Ours is not the first generation to struggle to understand the organizational laws of the frontier, deceive itself that it has succeeded, and go to its grave having failed.
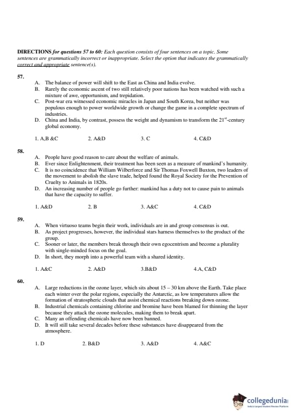
A.When virtuoso teams begin their work, individuals are in and group consensus is out.
B.As project progresses, however, the individual stars harness themselves to the product of the group.
C.Sooner or later, the members break through their own egocentrism and become a plurality with single-minded focus on the goal.
D.In short, they morph into a powerful team with a shared identity. Select the grammatically correct and appropriate sentence(s):
A.Large reductions in the ozone layer, which sits about 15–30 km above the Earth, take place each winter over the polar regions, especially the Antarctic, as low temperatures allow the formation of stratospheric clouds that assist chemical reactions breaking down ozone.
B.Industrial chemicals containing chlorine and bromine have been blamed for thinning the layer because they attack the ozone molecules, making them to break apart.
C.Many an offending chemicals have now been banned.
D.It will still take several decades before these substances have disappeared from the atmosphere. Select the grammatically correct and appropriate sentence(s):
A.The balance of power will shift to the East as China and India evolve.
B.Rarely the economic ascent of two still relatively poor nations has been watched with such a mixture of awe, opportunism, and trepidation.
C.Postwar era witnessed economic miracles in Japan and South Korea, but neither was populous enough to power worldwide growth or change the game in a complete spectrum of industries.
D.China and India, by contrast, posses the weight and dynamism to transform the 21st-century global economy. Select the grammatically correct and appropriate sentence(s):
A.People have good reason to care about the welfare of animals.
B.Ever since Enlightenment, their treatment has been seen as a measure of mankind’s humanity.
C.It is no coincidence that William Wilberforce and Sir Thomas Foxwell Buxton, two leaders of the movement to abolish the slave trade, helped found the Royal Society for the Prevention of Cruelty to Animals in 1820s.
D.An increasing number of people for figure: mankind has a duty not to cause pain to animals that have the capacity to suffer. Select the grammatically correct and appropriate sentence(s):
Intelligent design derives from an early 19th-century explanation of the natural world given by an English clergyman, William Paley. Paley was the populariser of the famous watchmaker analogy. Proponents of intelligent design are crupping Paley’s argument with a new gloss from molecular biology. Choose the most appropriate replacement for the italicized word.
Women squat, heads covered, beside huge piles of limp fodder and blunk oil lamps, and just about all the cows in the three towns converge upon this spot. Choose the most appropriate replacement for the italicized word.
It is klang to a sensitive traveler who walks through this great town, when he sees the streets, the roads and cabin doors crowded with beggars. Choose the most appropriate replacement for the italicized word.
Or there is the most fingummy diplomatic note on record: when Philip of Macedon wrote to the Spartans that, if he came within their borders, he would leave not one stone of their city, they wrote back the one word – “If”. Choose the most appropriate replacement for the italicized word.
From which area did the faculty member retire?
Professors Naresh and Devesh, two faculty members in the Marketing area, who have been with the Institute since inception, share a birthday on 20th November. One was born in 1947 and the other in 1950. On April 1, 2005, what was the age of the third faculty member, who has been in the same area since inception?
In which year did the new faculty member join the Finance area?
What was the age of the new faculty member, who joined the OM area, as on April 1, 2003?
Which two states account for the highest productivity of rice (tons produced per hectare of rice cultivation)?
How many states have a per capita production of rice (defined as total rice production divided by its population) greater than Gujarat?
An intensive rice producing state is defined as one whose annual rice production per million of population is at least 400,000 tons. How many states are intensive rice producing states?
Assuming that Parul and Hari are attending the workshop on Communication Skills (CS), then which of the following employees can possibly attend the CS workshop?
How many Executives (Exe) cannot attend more than one workshop?
Which of the following employees cannot attend any of the workshops?
If there are no upsets (a lower seeded player beating a higher seeded player) in the first round, and only match Nos. 6, 7, and 8 of the second round result in upsets, then who would meet Lindsay Davenport in quarter finals, in case Davenport reaches quarter finals?
If Elena Dementieva and Serena Williams lose in the second round, while Justine Henin and Nadia Petrova make it to the semi-finals, and there are no upsets in the second round, then who would play Maria Sharapova in the quarterfinals, in the event Sharapova reaches quarterfinals?
If, in the first round, all even numbered matches (and none of the odd numbered ones) result in upsets, and there are no upsets in the second round, then who could be the lowest seeded player facing Maria Sharapova in semi-finals?
If the top eight seeds make it to the quarterfinals, then who, amongst the players listed below, would definitely not play against Maria Sharapova in the final, in case Sharapova reaches the final?
What is the minimum average return Venkat would have earned during the year?
If Venkat earned a 35% return on average during the year, then which of these statements would necessarily be true?
I. Company A belonged either to Auto or to Steel Industry.
II. Company B did not announce extraordinarily good results.
III. Company A announced extraordinarily good results.
IV. Company D did not announce extraordinarily good results.
If Venkat earned a 38.75% return on average during the year, then which of these statements(s) would necessarily be true?
I. Company C belonged either to Auto or to Steel Industry.
II. Company D belonged either to Auto or to Steel Industry.
III. Company A announced extraordinarily good results.
IV. Company B did not announce extraordinarily good results.
If Company C belonged to the Cement or the IT industry and did announce extraordinarily good results, then which of these statement(s) would necessarily be true?
I. Venkat earned not more than 36.25% return on average.
II. Venkat earned not less than 33.75% return on average.
III. If Venkat earned 33.75% return on average, Company A announced extraordinarily good results.
IV. If Venkat earned 33.75% return on average, Company B belonged either to Auto or to Steel Industry.
What percentage of members from among those who voted for New York in round 1, voted for Beijing in round 2?
What is the number of votes cast for Paris in round 1?
What percentage of members from among those who voted for Beijing in round 2 and were eligible to vote in round 3, voted for London?
Which of the following statements must be true?
I. IOC member from New York must have voted for Paris in round 2.
II. IOC member from Beijing must have voted for London in round 3.
What can be said regarding the following two statements?
Statement 1: Profitable Ltd. has the lowest share in MP market.
Statement 2: Honest Ltd.’s total revenue is more than Profitable Ltd.
What can be said regarding the following two statements?
Statement 1: Aggressive Ltd.’s lowest revenues are from MP.
Statement 2: Honest Ltd.’s lowest revenues are from Bihar.
What can be said regarding the following two statements?
Statement 1: Honest Ltd. has the highest share in the UP market.
Statement 2: Aggressive Ltd. has the highest share in the Bihar market.
If Profitable Ltd.’s lowest revenue is from UP, then which of the following is true?
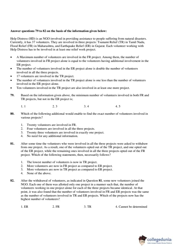
Based on the information given above, the minimum number of volunteers involved in both FR and TR projects, but not in the ER project is
(2) 3
View Solution
Which of the following additional information would enable to find the exact number of volunteers involved in various projects?
After some time, the volunteers who were involved in all the three projects were asked to withdraw from one project. As a result, one of the volunteers opted out of the TR project, and one opted out of the ER project, while the remaining ones involved in all the three projects opted out of the FR project. Which of the following statements, then, necessarily follows?
(3) More volunteers are now in TR project as compared to ER project.
View Solution
After the withdrawal of volunteers, some new volunteers joined the NGO. Each one of them was allotted only one project in such a way that, the number of volunteers working in one project alone for each of the three projects became identical. At that point, it was also found that the number of volunteers involved in FR and ER projects was the same as the number of volunteers involved in TR and ER projects. Which of the projects now has the highest number of volunteers?
Also Check:
CAT 2005 Paper Analysis
Please go through the below-mentioned points in order to get a detailed analysis of CAT 2005 question paper.
- The QA section interestingly carried 6-7 easy level questions carrying 1 mark and 5-6 easy questions carrying 2 marks.
- As per the score vs percentile analysis, a score of 24-25 in the QA section was required to get around 98 percentile.
- The VARC section was a little complex as compared to last year. A score of 26+ was required to attain a minimum 90 percentile.
- All the questions in the DILR section carrying 1 mark each were complex and time-consuming.
| Sections | Topics | Total Marks | No. Of Questions | Suggested Time | Good Attempts |
|---|---|---|---|---|---|
| 1-A | QA | 10 | 10 | 10 | 5+ |
| 1-B | QA | 40 | 20 | 30 | 14+ |
| 1-A | VARC | 10 | 10 | 10 | 8+ |
| 1-B | VARC | 40 | 20 | 30 | 26+ |
| 1-A | DILR | 10 | 10 | 12 | 6+ |
| 1-B | DILR | 40 | 20 | 28 | 12+ |
| Total | 150 | 90 | 120 | 71+ | |
CAT Question Papers of Other Years
| CAT 2024 Question Papers | CAT 2023 Question Papers |
| CAT 2022 Question Papers | CAT 2020 Question Papers |
| CAT 2019 Question Papers | CAT 2018 Question Papers |
| CAT 2017 Question Papers | CAT 2016 Question Papers |






Comments