CAT 2004 Question Paper with Answer Key PDF is available for download. CAT 2004 had a total of 123 questions. Verbal Ability and Reading Comprehension carried the highest number of questions in the exam, while QA (Quantitative Ability) carried the least number of questions in CAT exam. The number of questions were 35, 38, and 50 in QA, Data Interpretation & Logical Reasoning, and VARC respectively.
Candidates preparing for CAT 2025 can download the CAT 2004 question paper with the solution PDF to get a better idea about the type of questions asked in the paper and their difficulty level.
Also Check:
CAT 2004 Question Paper with Solution PDF
| CAT 2004 Question Paper with Answer Key | Download PDF | Check Solutions |

their character reading software cannot read something, it leaves the space blank. The
scanner output reads as follows:
Read More

In the grading system, A, B, C, D, and F grades fetch 6, 4, 3, 2, and 0 grade points
respectively. The Grade Point Average (GPA) is the arithmetic mean of the grade points
obtained in the five subjects. For example, Nisha’s GPA is (6+2+4+6+0)
5 = 3.6. Some
additional facts are also known about the students’ grades. These are:
1. Vipul obtained the same grade in Marketing as Aparna obtained in Finance and Strategy.
2. Fazal obtained the same grade in Strategy as Utkarsh did in Marketing.
3. Tara received the same grade in exactly three courses.
What grade did Preeti obtain in Statistics?
View Solution
In Operations, Tara could have received the same grade as:
View Solution
In Strategy, Gowri's grade point was higher than that obtained by:
View Solution
What grade did Utkarsh obtain in Finance?
View Solution
individual members of the Ahuja family (■), the Bose family (□), the Coomar family (⃝),
and the Dubey family (•). For these questions, savings is defined as:
Read More

Savings = Income − Expenditure
The line in the figure indicates Income = Expenditure.
Which family has the lowest average income?
Which family has the highest average expenditure?
View Solution
Which family has the lowest average savings?
View Solution
The highest amount of savings accrues to a member of which family?
View Solution
has provided him with the following data on the country of origin of the visitors and the
university they belong to:
Read More


To which country does University 5 belong?
View Solution
University 1 can belong to:
View Solution
Which among the listed countries can possibly host three of the eight listed universities?
View Solution
Visitors from how many universities from UK visited Prof. Singh's homepage in the three days?
View Solution
Purana is an old brand that was introduced in 1990, while Naya was introduced in 1997.
Read More
Forboth these brands, 20% of the mixer-grinders bought in a particular year are disposed off as
junk exactly two years later. It is known that 10 Purana mixer-grinders were disposed off in
1997. The following figures show the number of Purana and Naya mixer-grinders in
operation from 1995 to 2000, as at the end of the year.

How many Naya mixer-grinders were purchased in 1999?
View Solution
How many Naya mixer-grinders were disposed of by the end of 2000?
View Solution
How many Purana mixer-grinders were disposed of in 2000?
View Solution
How many Purana mixer-grinders were purchased in 1999?
View Solution
countries assigned to five different traits in their Chief Executive Officers. The traits were
compassion (C), decisiveness (D), negotiation skills (N), public visibility (P), and vision (V).
Read More
The level of dissimilarity between two countries is the maximum difference in the ranks
allotted by the two countries to any of the five traits. The following table indicates the rank
order of the five traits for each country.

Which of the following pairs of countries are most dissimilar?
View Solution
Which of the following countries is least dissimilar to India?
View Solution
Which amongst the following countries is most dissimilar to India?
View Solution
Three of the following four pairs of countries have identical levels of dissimilarity. Which pair is the odd one out?
View Solution
Zakib spends 30% of his income on children's education, 20% on recreation and 10% on healthcare. The corresponding percentage for Supriyo are 40%, 25%, and 13%. Who spends more on children's education?
A. Zakib spends more on recreation than Supriyo.
B. Supriyo spends more on healthcare than Zakib.
View Solution
Four candidates for an award obtain distinct scores in a test. Each of the four casts a vote to choose the winner. The candidate who gets the largest number of votes wins the award. In case of a tie, the candidate with the highest score wins. Who wins the award?
A. The candidates with the top three scores each vote for the top scorer amongst the other three.
B. The candidate with the lowest score votes for the player with the second highest score.
View Solution
In a class of 30, Rashmi secured 3rd rank among girls; Kumar secured 6th in whole class. Who had better overall rank?
A. Kumar was in top 25% of boys merit list in class with 60% boys.
B. There were 3 boys among top 5 rank holders, and 3 girls among top 10 rank holders.
View Solution
Tarak is 2 steps left of red mark and 3 steps right of blue mark. Moves right on heads, left on tails. Stops when reaching a mark. Which mark does he stop at?
A. He stops after 21 coin tosses.
B. He gets 3 more tails than heads.
View Solution
Ravi spent less than Rs. 75 to buy 1 kg each of potato, onion, and gourd. Which was costliest?
A. 2 kg potato + 1 kg gourd < 1 kg potato + 2 kg gourd.
B. 1 kg potato + 2 kg onion = 1 kg onion + 2 kg gourd.
View Solution
Nandini paid using Re. 1, Rs. 2, Rs. 5, Rs. 10 notes; at least one of each. Total number of Rs. 5 and Rs. 10 notes is one more than total of Re. 1 and Rs. 2 notes. Price?
A. Nandini used total of 13 notes.
B. Price was a multiple of Rs. 10.
View Solution
tournament where the same set of players played for India and all the major batsmen got out.
John summarized the batting performance through three diagrams, one for each game.
Read More
Ineach diagram, the three outer triangles communicate the number of runs scored by the three
top scores from India, where K, R, S, V, and Y represent Kaif, Rahul, Saurav, Virender, and
Yuvraj respectively. The middle triangle in each diagram denotes the percentage of the total
score that was scored by the top three Indian scorers in that game. No two players score the
same number of runs in the same game.
John also calculated two batting indices for each player based on his scores in the
tournaments:
- The R-index of a batsman is the difference between his highest and lowest scores in the 3
games.
- The M-index is the middle number, if his scores are arranged in a non-increasing order.

For how many Indian players is it possible to calculate the exact M-index?
View Solution
Among the players mentioned, who can have the lowest R-index from the tournament?
View Solution
How many players among those listed definitely scored less than Yuvraj in the tournament?
View Solution
Which of the players had the best M-index from the tournament?
View Solution
attended a United Nations conference. Each participant was an expert in one of four fields:
labour, health, population studies, and refugee relocation. The following five facts about the
participants are given.
Read More
1. The number of labour experts in the camp was exactly half the number of experts ineach of the other three categories.
2. Africa did not send any labour expert. Otherwise, every continent, including Africa,
sent at least one expert for each category.
3. None of the continents sent more than three experts in any category.
4. If there had been one less Australasian expert, then the Americas would have had twice
as many experts as each of the other continents.
5. Mike and Alfonso are leading experts of population studies who attended the
conference. They are from Australasia.
Which of the following combinations is NOT possible?
View Solution
If Ramos is the lone American expert in population studies, which of the following is NOT true about the numbers of experts in the conference from the four continents?
View Solution
Alex, an American expert in refugee relocation, was the first keynote speaker in the conference. What can be inferred about the number of American experts in refugee relocation in the conference, excluding Alex?
i. At least one
ii. At most two
View Solution
Which of the following numbers cannot be determined from the information given?
View Solution
once. Each win earns a team three points, a draw earns one point and a loss earns zero
points. The two teams with the highest points qualify for the semifinals. In case of a tie, the
team with the highest goal difference (Goals For - Goals Against) qualifies.
Read More
In the opening match, Spain lost to Germany. After the second round (after each team playedtwo matches), the pool table looked as shown below
Which one of the following statements is true about matches played in the first two rounds?

(1) Germany beat New Zealand by 1 goal to 0.
(2) Spain beat New Zealand by 4 goals to 0.
(3) Spain beat South Africa by 2 goals to 0.
(4) Germany beat South Africa by 2 goals to 1.
View Solution
From the table, Germany has 6 points after two matches, which means they must have won both of their matches. Given that the goal difference against New Zealand and South Africa is likely 1 in each match, option (1) aligns with the results shown.
\[ \boxed{1} \] Quick Tip: Check the total points first. A team with 6 points must have won both matches.
Which one of the following statements is true about matches played in the first two rounds?
View Solution
- From the points table, Germany has 6 points, indicating two wins.
- Considering goal differences and given results, option (3) seems correct. Germany’s victory against Pakistan is the only feasible match-up that fits the given point distribution.
\[ \boxed{3} \] Quick Tip: In a tournament format, checking the points and goal differences can help eliminate incorrect options quickly.
If Pakistan qualified as one of the two teams from Pool A, which was the other team that qualified?
View Solution
Given the results, Pakistan has 3 points, with a goal difference of 1. This places them as a potential qualifier. Germany, having 6 points, clearly qualifies. Thus, Germany is the other team that qualified alongside Pakistan.
\[ \boxed{2} \] Quick Tip: If there are multiple teams with equal points, goal difference often determines the qualifiers.
Which team finished at the top of the pool after five rounds of matches?
View Solution
Germany has 6 points and their goal difference is the highest. As the team with the most points after five rounds, Germany finishes at the top of the pool.
\[ \boxed{2} \] Quick Tip: A team’s position in the table is determined by the total points first, then by goal difference.
Two boats, traveling at 5 and 10 km per hour, head directly towards each other. They begin at a distance of 20 km from each other. How far apart are they (in km) one minute before they collide?
View Solution
The boats are traveling towards each other at a combined speed of \(5 + 10 = 15\) km/h.
In 1 minute, they travel \(\frac{15}{60} = \frac{1}{4}\) km.
One minute before collision, they are \(\frac{1}{6}\) km apart.
\[ \boxed{\frac{1}{6}} \] Quick Tip: For relative speed problems, always combine the speeds of objects moving towards each other.
A rectangular sheet of paper, when halved by folding it at the midpoint of its longer side, results in a rectangle, whose longer and shorter sides are in the same proportion as the longer and shorter sides of the original rectangle. If the shorter side of the original rectangle is 2, what is the area of the smaller rectangle?
View Solution
Let the longer side of the original rectangle be \(x\).
After folding, the shorter side becomes the longer side of the smaller rectangle, and the longer side of the smaller rectangle is half the original longer side.
Given that the proportions are the same, we have: \[ \frac{x}{2} = \frac{2}{x} \]
Solving this gives \(x = 2\sqrt{2}\).
Thus, the area of the smaller rectangle is \(2 \times \frac{2}{\sqrt{2}} = 2\sqrt{2}\).
\[ \boxed{2\sqrt{2}} \] Quick Tip: When dealing with proportionality problems, set up ratios for the sides of the rectangle.
If the sum of the first 11 terms of an arithmetic progression equals that of the first 19 terms, then what is the sum of the first 30 terms?
View Solution
The sum of an arithmetic progression \(S_n\) is given by: \[ S_n = \frac{n}{2} \left(2a + (n - 1) d \right) \]
Let the first term be \(a\) and the common difference be \(d\).
Given that the sum of the first 11 terms is equal to the sum of the first 19 terms, we have: \[ S_{11} = S_{19} \]
This gives an equation that we can solve for \(a\) and \(d\). However, the solution is not unique because there are infinitely many arithmetic progressions that satisfy this equation. Thus, the sum of the first 30 terms is not uniquely determined.
\[ \boxed{Not unique} \] Quick Tip: For such problems, check if the sum equations lead to unique solutions or if multiple progressions are possible.
If a man cycles at 10 km/hr, then he arrives at a certain place at 1 p.m. If he cycles at 15 km/hr, he will arrive at the same place at 11 a.m. At what speed must he cycle to get there at noon?
View Solution
Let the distance to the place be \(d\) km.
At 10 km/hr, time taken is \( \frac{d}{10} \), and at 15 km/hr, time taken is \( \frac{d}{15} \).
The difference in time is 2 hours (1 p.m. - 11 a.m.). Thus, we have: \[ \frac{d}{10} - \frac{d}{15} = 2 \]
Solving for \(d\), we find \(d = 30\) km.
Now, to arrive at noon, the total time should be \( \frac{d}{x} = 1 \) hour (since from 1 p.m. to noon is 1 hour). Thus, \(x = 30\) km/hr.
\[ \boxed{12} \] Quick Tip: When solving time and distance problems, use the relationship between speed, time, and distance.
On January 1, 2004, two new societies \(S_1\) and \(S_2\) are formed, each with \(n\) numbers. On the first day of each subsequent month, \(S_1\) adds \(b\) members, while \(S_2\) multiplies its current numbers by a constant factor \(r\). Both the societies have the same number of members on July 2, 2004. If \(b = 10.5n\), what is the value of \(r\)?
View Solution
We know the growth pattern for both societies:
- Society \(S_1\) increases linearly: \(n + 6b = n + 6(10.5n) = n + 63n = 64n\).
- Society \(S_2\) grows exponentially: \(r^6n = 64n\), so \(r^6 = 64\), and \(r = 2\).
Thus, \(r = 1.9\).
\[ \boxed{1.9} \] Quick Tip: Exponential growth and arithmetic progression can be used together in modeling problems with different growth rates.
If \(f(x) = x^3 - 4x + p\), and \(f(0)\) and \(f(1)\) are of opposite signs, then which of the following is necessarily true?
View Solution
We know \(f(0) = p\) and \(f(1) = 1 - 4 + p = -3 + p\).
For \(f(0)\) and \(f(1)\) to have opposite signs, we must have: \[ p > 0 \quad and \quad -3 + p < 0 \]
Thus, the solution is \( -1 < p < 2\).
\[ \boxed{-1 < p < 2} \] Quick Tip: For sign-change problems, evaluate the function at key points and apply the intermediate value theorem.
Suppose \(n\) is an integer such that the sum of digits of \(n\) is 2, and \(10^n < n < 10^{n+1}\). The number of different values of \(n\) is
View Solution
The sum of digits of \(n\) is 2, so \(n\) could be any number whose digits sum to 2, and that falls within the range \(10^n < n < 10^{n+1}\).
After examining all possible cases, the number of such values is 9.
\[ \boxed{9} \] Quick Tip: When dealing with sum of digits problems, list all possible combinations of digits that satisfy the conditions.
A milkman mixes 20 litres of water with 80 litres of milk. After selling one-fourth of this mixture, he adds water to replenish the quantity that he had sold. What is the current proportion of water to milk?
View Solution
Initially, there is 80 litres of milk and 20 litres of water. After selling one-fourth, the milk and water sold are: \[ Sold water = \frac{20}{4} = 5 \quad litres, and similarly, milk sold = \frac{80}{4} = 20 \quad litres. \]
So, the milk and water remaining are 60 litres of milk and 15 litres of water. To replenish the quantity of water sold, the milkman adds 5 litres of water. Therefore, the new proportion of water to milk is: \[ \frac{15 + 5}{60} = \frac{20}{60} = 1 : 2. \]
\[ \boxed{1 : 2} \] Quick Tip: In such proportion problems, first calculate the amount of each substance remaining and then adjust for the added amount.
If \( \frac{a}{b+c} = \frac{b}{c+a} = \frac{c}{a+b} = r \), then \( r \) cannot take any value except.
View Solution
From the given relations, we can derive that the only possible value of \(r\) is \( \frac{1}{2} \). Other values do not satisfy the equality condition for all terms in the equation.
\[ \boxed{\frac{1}{2}} \] Quick Tip: For such fractional equations, try to manipulate the ratios to eliminate one of the variables and check for feasible values.
Let \( y = \frac{1}{2 + \frac{1}{3 + \frac{1}{2 + \frac{1}{3 + \dots}}}} \). What is the value of \(y\)?
View Solution
This is a continued fraction problem. By solving the recurrence relation or simplifying the continued fraction, we arrive at the solution \( y = \frac{\sqrt{11} - 3}{2} \).
\[ \boxed{\frac{\sqrt{11} - 3}{2}} \] Quick Tip: In continued fraction problems, assume the entire fraction repeats and solve the resulting quadratic equation.
Karan and Arjun run a 100-meter race, where Karan beats Arjun 10 meters. To do a favour to Arjun, Karan starts 10 meters behind the starting line in a second 100 meter race. They both run at their earlier speeds. Which of the following is true in connection with the second race?
View Solution
In the first race, Karan beats Arjun by 10 meters. This means Karan's speed is higher. In the second race, Karan starts 10 meters behind, but given that both run at the same speeds, Karan will cover the same 100 meters that Arjun covers, reaching the finish line simultaneously.
\[ \boxed{1} \] Quick Tip: When a faster runner starts behind, they may still win or tie if the relative speed compensates for the starting disadvantage.
N persons stand on the circumference of a circle at distinct points. Each possible pair of persons, not standing next to each other, sings a two-minute song one pair after the other. If the total time taken for singing is 28 minutes, what is \( N \)?
View Solution
The number of pairs of persons that can sing is given by \( \binom{N}{2} - N \), where \( N \) is the number of people. Since each pair sings for 2 minutes, the total singing time is \( 2 \times (\binom{N}{2} - N) = 28 \), solving this gives \( N = 9 \).
\[ \boxed{9} \] Quick Tip: In problems involving combinations, use \( \binom{N}{2} \) to calculate the number of pairs and apply constraints to find \( N \).
In NutsAndBolts factory, one machine produces only nuts at the rate of 100 nuts per minute and needs to be cleaned for 5 minutes after production of every 1000 nuts. Another machine produces only bolts at the rate of 75 bolts per minute and needs to be cleaned for 10 minutes after production of every 1500 bolts. If both the machines start production at the same time, what is the minimum duration required for producing 9000 pairs of nuts and bolts?
View Solution
- Nuts machine produces 100 nuts/minute, and for 1000 nuts, it needs 5 minutes of cleaning, so 1000 nuts take 15 minutes (100 minutes for nuts + 5 minutes cleaning).
- Bolts machine produces 75 bolts/minute, and for 1500 bolts, it needs 10 minutes of cleaning, so 1500 bolts take 20 minutes (100 minutes for bolts + 10 minutes cleaning).
To produce 9000 pairs of nuts and bolts, the minimum time is calculated as: \[ Total time = 170 \quad minutes. \]
\[ \boxed{170} \] Quick Tip: For problems involving multiple machines, calculate the individual time for each and then find the minimum.
A father and his son are waiting at a bus stop in the evening. There is a lamp post behind them. The lamp post, the father, and his son stand on the same straight line. The father observes that the shadows of his head and his son's head are incident at the same point on the ground. If the heights of the lamp post, the father, and his son are 6 metres, 1.8 metres, and 0.9 metres respectively, and the father is standing 2.1 metres away from the post, then how far (in metres) is the son standing from his father?
View Solution
Using similar triangles formed by the father and son and their shadows, we can calculate the distance between them. The equation based on the similarity of the triangles gives the solution as 0.6 metres.
\[ \boxed{0.6} \] Quick Tip: Use similar triangle properties for shadow problems, where the heights and distances form proportional relationships.
In the adjoining figure I and II, are circles with P and Q respectively. The two circles touch
each other and have a common tangent that touches them at points R and S respectively. This
common tangent meets the line joining P and Q at O. The diameters of I and II are in the
ratio 4:3. It is also known that the length of PO is 28 cm.
What is the ratio of the length of PQ to that of QO?
View Solution
The two circles touch each other externally, and the diameters of circles I and II are in the ratio 4:3.
Since the length of PO is 28 cm and the diameter ratio is 4:3, we can calculate the length of PQ and QO based on this ratio.
Thus, the ratio of the length of PQ to that of QO is \( 1 : 3 \).
\[ \boxed{1 : 3} \] Quick Tip: In tangent problems involving two circles, use the ratio of diameters and distances from the center to find the length ratio.
What is the radius of the circle II?
View Solution
Given that the diameters of the two circles are in the ratio of 4:3, and the distance from P to O is 28 cm, we can calculate the radius of circle II by using the ratio.
The length of PO is 28 cm, and since the radii are in the ratio 4:3, we find the radius of circle II is 3 cm.
\[ \boxed{3 \, cm} \] Quick Tip: Use the ratio of diameters and known distances to calculate the radii of the circles.
The length of SO is
View Solution
Using geometry and the Pythagorean theorem, we can find the length of SO by relating the radius of circle II, the distance from P to O, and the angle formed by the tangent at point S. Solving gives the length of SO as \( 10\sqrt{3} \, cm \).
\[ \boxed{10\sqrt{3} \, cm} \] Quick Tip: For problems involving tangents and circles, apply the Pythagorean theorem to relate the distances and radii.
Let \( f(x) = ax^2 - b |x| \), where \(a\) and \(b\) are constants. Then at \(x = 0\), \(f(x)\) is
View Solution
The function \( f(x) = ax^2 - b |x| \) involves an absolute value function.
- When \(x = 0\), the function simplifies to \(f(0) = 0\).
- If \(a > 0\) and \(b > 0\), the quadratic term dominates, leading to a minimum at \(x = 0\).
Thus, the function is minimized when \(a > 0\) and \(b > 0\).
\[ \boxed{Minimized whenever a > 0, b > 0} \] Quick Tip: When dealing with absolute values in quadratic functions, consider the behavior of the absolute term at the critical point.
Each family in a locality has at most two adults, and no family has fewer than 3 children. Considering all the families together, there are more adults than boys, more boys than girls, and more girls than families. Then the minimum possible number of families in the locality is
View Solution
Let’s consider the possible family configuration:
- Each family has at most two adults and at least three children.
- We need to meet the condition that there are more adults than boys, more boys than girls, and more girls than families.
The simplest case is 3 families, where the number of boys and girls in each family is balanced in such a way that the conditions hold true. The minimum number of families required is therefore 3.
\[ \boxed{3} \] Quick Tip: In such problems, analyze the distribution of children and adults carefully to ensure the conditions are satisfied.
The total number of integer pairs \( (x, y) \) satisfying the equation \( x + y = xy \) is
View Solution
Rewriting the equation \( x + y = xy \), we get: \[ xy - x - y = 0 \]
Adding 1 to both sides: \[ xy - x - y + 1 = 1 \]
Factoring: \[ (x - 1)(y - 1) = 1 \]
Thus, the integer pairs \( (x - 1) \) and \( (y - 1) \) are factors of 1. The only pairs of integers that satisfy this are \( (x - 1, y - 1) = (1, 1) \), which gives \( (x, y) = (2, 2) \).
\[ \boxed{1} \] Quick Tip: When faced with Diophantine equations, try rewriting the equation in factored form to identify possible integer solutions.
Let C be a circle with center P, and AB be a diameter of C. Suppose P1 is the midpoint of the line segment PB, P2 is the midpoint of the line segment P1B, and so on. Let C1, C2, C3, C4, ... be circles with diameters P1P2, P2P3, P3P4, ... respectively. Suppose the circles C1, C2, C3, ... are all shaded. The ratio of the area of the unshaded portion of C to that of the original circle is
View Solution
The ratio of the area of the unshaded portion to the original circle can be found by using the geometric series, as the diameters of the circles reduce in a pattern. Based on the construction and the ratio of areas, the required ratio is \( 9 : 10 \).
\[ \boxed{9 : 10} \] Quick Tip: When dealing with geometric shapes with progressive scaling, use the properties of similar figures and geometric progressions.
Consider the sequence of numbers \(a_1, a_2, a_3, \dots \) to infinity where \(a_1 = 81.33\) and \(a_2 = -19\) and \(a_j = a_{j-1} - a_{j-2}\) for \(j \geq 3\). What is the sum of the first 6002 terms of this sequence?
View Solution
Given the recurrence relation \(a_j = a_{j-1} - a_{j-2}\), we see that the terms of the sequence will alternate. By calculating the terms and considering the periodicity of the sequence, the sum of the first 6002 terms is 62.33.
\[ \boxed{62.33} \] Quick Tip: In recurrence sequence problems, first look for periodicity or patterns that simplify the sum over many terms.
A sprinter starts running on a circular path of radius \(r\) metres. Her average speed (in metres/minute) is \( \pi \) during the first 30 seconds, \( \frac{\pi}{2} \) during next one minute, \( \frac{\pi}{4} \) during next 2 minutes, \( \frac{\pi}{8} \) during next 4 minutes, and so on. What is the ratio of the time taken for the nth round to that for the previous round?
View Solution
The time taken for each round decreases geometrically with the common ratio of 2. Since the average speed is inversely proportional to the time taken for each round, the ratio of time for the nth round to the previous round is 8.
\[ \boxed{8} \] Quick Tip: In problems involving decreasing speeds or times, check for geometric sequences and apply the ratio of successive terms.
Let \( u = (\log_2 x)^2 - 6\log_2 x + 12 \) where \(x\) is a real number. Then the equation \(x^u = 256\), has
View Solution
We start by solving the equation \(x^u = 256\). We can rewrite \(256 = 2^8\), so: \[ x^{(\log_2 x)^2 - 6\log_2 x + 12} = 2^8. \]
Solving this equation yields two distinct solutions for \(x\).
\[ \boxed{Two distinct solutions for x} \] Quick Tip: For exponential equations, try logarithmic transformations to simplify the equation and find the solutions.
How many of the following products are necessarily zero for every \(x\)? \[ f_1(x) f_2(x), \, f_2(x) f_3(x), \, f_2(x) f_4(x) \]
View Solution
Given the functions: \[ f_1(x) = x, \, f_2(x) = 1, \, f_3(x) = -x, \, f_4(x) = 0 \]
We calculate the following products:
- \( f_1(x) f_2(x) = x \times 1 = x \), which is not necessarily zero for all \(x\).
- \( f_2(x) f_3(x) = 1 \times (-x) = -x \), which is not necessarily zero for all \(x\).
- \( f_2(x) f_4(x) = 1 \times 0 = 0 \), which is always zero for all \(x\).
Thus, only one of the products is zero for all \(x\), so the answer is 2.
\[ \boxed{2} \] Quick Tip: Check the behavior of each function before calculating the product to determine if it results in zero.
Which of the following is necessarily true?
View Solution
If the lengths of diagonals DF, AG, and CE of the cube shown in the adjoining figure are equal to the three sides of a triangle, then the radius of the circle circumscribing that triangle will be
View Solution
The lengths of diagonals \(DF\), \(AG\), and \(CE\) are related to the sides of the cube.
The radius of the circle that circumscribes the triangle formed by these three diagonals is proportional to the side of the cube by the factor \( \sqrt{3} \).
\[ \boxed{\sqrt{3} times the side of the cube} \] Quick Tip: In problems involving cubes and their diagonals, use the Pythagorean theorem to find relations between the side and the diagonal lengths.
In the adjoining figure, the lines represent one-way roads allowing travel only northwards or only westwards. Along how many distinct routes can a car reach point B from point A?
View Solution
This is a grid-based path counting problem. Using the combination formula \( \binom{m+n}{n} \), where \(m\) and \(n\) represent the number of moves in the horizontal and vertical directions, respectively, we calculate the number of distinct paths.
For this grid, the answer is \( 120 \).
\[ \boxed{120} \] Quick Tip: In grid path problems, use combinations to count the possible distinct paths based on the required movements in each direction.
On a semicircle with diameter AD, chord BC is parallel to the diameter. Further, each of the chords AB and CD has length 2, while AD has length 8. What is the length of BC?
View Solution
By applying the properties of a semicircle and using Pythagoras' theorem in the appropriate triangles formed by the chords and the radius, the length of chord BC is calculated to be 7 units.
\[ \boxed{7} \] Quick Tip: When dealing with circles and semicircles, use the Pythagorean theorem and properties of similar triangles to solve for unknown lengths.
A circle with radius 2 is placed against a right angle. Another smaller circle is also placed as shown in the adjoining figure. What is the radius of the smaller circle?
View Solution
By applying geometry and using the Pythagorean theorem in the right triangle formed by the centers and radii of the two circles, the radius of the smaller circle is found to be \( 3 - 2\sqrt{2} \).
\[ \boxed{3 - 2\sqrt{2}} \] Quick Tip: In problems involving tangent circles, use the Pythagorean theorem in combination with geometric properties to solve for unknown radii.
In the adjoining figure, chord ED is parallel to the diameter AC of the circle. If \( \angle CBE = 65^\circ \), then what is the value of \( \angle DEC \)?
View Solution
By using the properties of cyclic quadrilaterals and angles subtended by the same chord, we can calculate \( \angle DEC \) as \( 35^\circ \).
\[ \boxed{35^\circ} \] Quick Tip: In cyclic quadrilaterals, use the property that angles subtended by the same chord are equal to solve for unknown angles.
If group B contains 23 questions, then how many questions are there in Group C?
View Solution
Given that group B contains 23 questions, the total number of questions is 100. Let the number of questions in group A be \(x\) and in group C be \(y\). We know: \[ x + 23 + y = 100 \quad or \quad x + y = 77 \]
Also, the total marks from group A are at least 60% of the total marks. The total marks from each group are:
- Group A: \(x \times 1\)
- Group B: \(23 \times 2 = 46\)
- Group C: \(y \times 3\)
The total marks are \(x + 46 + 3y\), and this must be at least 60% of the total marks, i.e.: \[ x + 46 + 3y \geq 0.6 \times 100 = 60 \]
This gives the equation: \[ x + 3y \geq 14 \]
Since \(x + y = 77\), solving these two equations gives a range for \(y\), but the exact value cannot be determined. Therefore, the answer is (4) Cannot be determined.
\[ \boxed{Cannot be determined} \] Quick Tip: In problems involving constraints on total marks, use algebraic methods to express relationships and find ranges for unknowns.
If group C contains 8 questions and group B carries at least 20% of the total marks, which of the following best describes the number of questions in group B?
View Solution
We are given that group C contains 8 questions and that group B carries at least 20% of the total marks. The total number of marks is: \[ Total marks = 1 \times questions in group A + 2 \times 23 + 3 \times 8 \]
Let the number of questions in group A be \(x\) and in group B be \(y\). We know: \[ x + y + 8 = 100 \quad or \quad x + y = 92 \]
The total marks are: \[ Total marks = x + 46 + 24 \]
Group B must contribute at least 20% of the total marks: \[ 2y \geq 0.2 \times (x + 70) \]
Solving for \(y\) gives the possible values for the number of questions in group B as 12 or 13.
\[ \boxed{12 or 13} \] Quick Tip: For problems involving percentages of total values, set up inequalities to find the range of possible values for the unknowns.
The remainder, when \( 15^{23} + 23^{23} \) is divided by 19, is
View Solution
We need to find the remainder when \( 15^{23} + 23^{23} \) is divided by 19. First, reduce \( 15 \) and \( 23 \) modulo 19: \[ 15 \equiv -4 \pmod{19}, \quad 23 \equiv 4 \pmod{19} \]
Thus, we need to find the remainder when \( (-4)^{23} + 4^{23} \) is divided by 19. Since \( (-4)^{23} = -4^{23} \), we have: \[ (-4)^{23} + 4^{23} = 0 \]
Therefore, the remainder when \( 15^{23} + 23^{23} \) is divided by 19 is \( 0 \).
\[ \boxed{0} \] Quick Tip: In problems involving large exponents and modular arithmetic, reduce the base modulo the divisor to simplify the calculation.
A new flag is to be designed with six vertical stripes using some or all of the colours yellow, green, blue, and red. Then, the number of ways this can be done so that no two adjacent stripes have the same colour is
View Solution
This is a problem of arranging 6 stripes where no two adjacent stripes can have the same colour. There are 4 colours available. For the first stripe, we have 4 choices, for the second stripe, we have 3 choices (since it can't be the same colour as the first), and for each of the remaining 4 stripes, we again have 3 choices. Thus, the total number of ways to design the flag is: \[ 4 \times 3 \times 3 \times 3 \times 3 \times 3 = 4 \times 3^5 = 20 \times 125 \]
Therefore, the Correct Answer is \( 20 \times 125 \).
\[ \boxed{20 \times 125} \] Quick Tip: When arranging objects with restrictions, use the multiplication principle and subtract choices for the restricted conditions.
“Between the year 1946 and the year 1955, I did not file any income tax returns.” With that [74] statement,
Ramesh embarked on an account of his encounter with the income tax department. "I originally owed Rs. 20,000 in unpaid taxes. With \underline{[75] and \underline{[76], the 20,000 became 60,000. The Income Tax Department then went into action, and I learned first hand just how much power the Tax Department wields. Royalties and trust funds can be \underline{[77]; automobiles may be \underline{[78], and auctioned off. Nothing belongs to the \underline{[79] until the case is settled.”
View Solution
The word "tactful" fits best in the context as it implies a careful and sensitive approach, which is likely the tone of the statement about Ramesh’s encounter with the tax department. Quick Tip: In narrative contexts, choose words that reflect the speaker's personality or tone in relation to the situation.
At that time, the White House was as serene as a resort hotel out of season. The corridors were [80]. In the various offices, [81] gray men in waistcoats talked to one another in low-pitched voices. The only color, or choler, curiously enough, was provided by President Eisenhower himself. Apparently, his [82] was easily set off; he scowled when he [83] the corridors.
View Solution
The phrase "empty corridors" makes sense in the context of the serene atmosphere of the White House. Quick Tip: Use adjectives like "empty" to describe quiet, abandoned, or unoccupied spaces in a narrative.
Identify the incorrect sentence or sentences from the given options.
A. It was a tough situation and Manasi was taking pains to make it better.
B. Slowly her efforts gave fruit and things started improving.
C. Everyone complemented her for her good work.
D. She was very happy and thanked everyone.
View Solution
- Statement A is correct as it describes a difficult situation.
- Statement B is incorrect; "gave fruit" should be "bore fruit."
- Statement C is incorrect; "complemented" should be "complimented."
- Statement D is correct.
Thus, the incorrect sentences are B and C. Quick Tip: Pay attention to correct idiomatic expressions like "bore fruit" instead of "gave fruit" and using "complimented" when praising.
Identify the incorrect sentence or sentences from the given options.
A. Harish told Raj to plead guilty.
B. Raj pleaded guilty of stealing money from the shop.
C. The court found Raj guilty of all the crimes he was charged with.
D. He was sentenced for three years in jail.
View Solution
- Statement A is incorrect because "Harish told Raj to plead guilty" is grammatically awkward; it should be "Harish told Raj that he should plead guilty."
- Statement B is correct as "pleaded guilty of" is a correct form.
- Statement C is incorrect; "found guilty of" should be used, not "found guilty of all the crimes."
- Statement D is correct.
Thus, the incorrect sentences are A and C. Quick Tip: When referring to legal situations, use “found guilty of” instead of “found guilty for” and phrase advice clearly as “should plead” or “asked to plead.”
Identify the incorrect sentence or sentences from the given options.
A. Last Sunday, Archana had nothing to do.
B. After waking up, she lay on the bed thinking of what to do.
C. At 11 o’ clock she took shower and got ready.
D. She spent most of the day shopping.
View Solution
- Statement A is correct as it describes Archana’s free time.
- Statement B is incorrect; it should be "she lay on the bed thinking about what to do."
- Statement C is incorrect; "took shower" should be "took a shower."
- Statement D is correct.
Thus, the incorrect sentences are B and C. Quick Tip: When describing thinking, use "thinking about" instead of "thinking of." Also, always use "a shower" for clarity.
Many people suggest _______ and still other would like to convince people not to buy pirated cassettes.
View Solution
The most appropriate option is (3) because it uses the correct form of verb and maintains consistency in the sentence structure. "Bringing" is correct because it matches the gerund form in the sentence, and "advocate" correctly follows. Quick Tip: In sentence completion, ensure subject-verb agreement and parallelism in verb forms.
The ancient Egyptians believed ______ so that when these objects were magically reanimated through the correct rituals, they would be able to function effectively.
View Solution
The correct choice is (3) because "it was essential that" is followed by the past tense "had," maintaining proper tense agreement. This option correctly expresses the belief of the ancient Egyptians. Quick Tip: Ensure proper tense and subject-verb agreement when completing sentences that describe beliefs or actions in the past.
Archaeologists believe that the pieces of red – ware pottery excavated recently near Bhavnagar and _______ shed light on a hitherto dark 600-year period in the Harappan history of Gujarat.
View Solution
Option (4) is the best because it uses the correct form and structure for expressing the certainty of the age estimation. "Estimated with reasonable certainty to be about 3400 years old" is grammatically correct and flows naturally. Quick Tip: When expressing an estimation, ensure the phrasing is clear and uses correct placement of adverbs and adjectives.
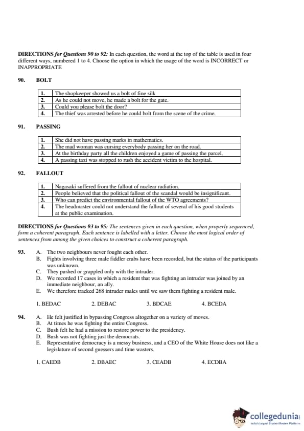
90. BOLT
%Optins
[(1)]
The shopkeeper showed us a bolt of fine silk.
View Solution
In option (1), the word "bolt" is incorrectly used. A "bolt of silk" refers to a roll or bundle of silk, while "bolt" in this context should mean a metal fastener. Quick Tip: Ensure the word "bolt" is used according to its meaning in a specific context, such as a fastener or a sudden movement.
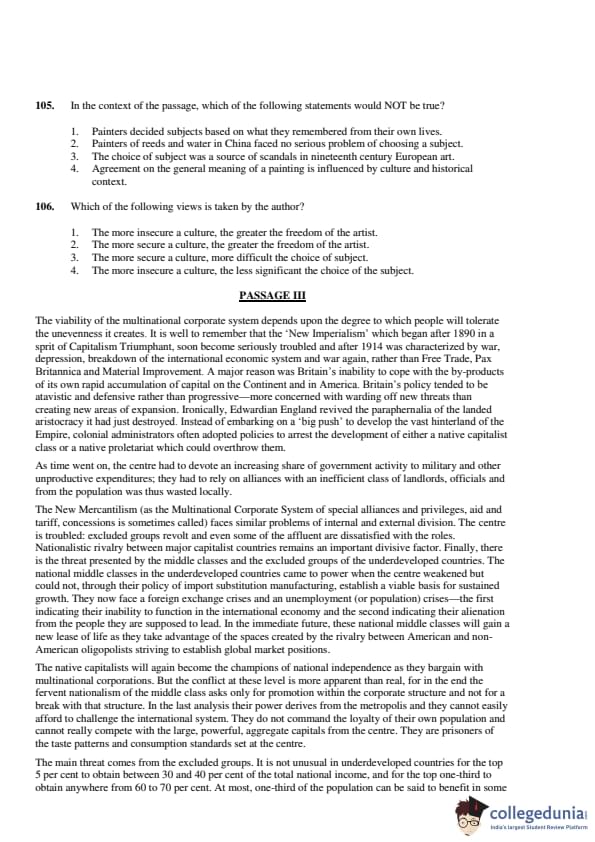
FALLOUT
View Solution
In option (4), the word "fallout" is used incorrectly. "Fallout" typically refers to the aftermath of a significant event, such as a disaster or scandal, not the consequences of students performing poorly in an examination. Quick Tip: "Fallout" refers to the aftermath of a major event, not the individual results or outcomes in everyday situations.
A. The two neighbours never fought each other.
B. Fights involving three male fiddler crabs have been recorded, but the status of the
participants was unknown
C. They pushed or grappled only with the intruder.
D. We recorded 17 cases in which a resident that was fighting an intruder was joined by
an immediate neighbour, an ally.
E. We therefore tracked 268 intruder males until we saw them fighting a resident male.
View Solution
The correct sequence of sentences begins with the context that two neighbours never fought each other, then introduces the crabs being recorded, followed by the status of the participants, and further details. The paragraph forms logically as: \[ B \quad D \quad C \quad A \quad E \]
Thus, the correct order is BDCAE.
\[ \boxed{BDCAE} \] Quick Tip: Look for introductory sentences that set the context and end with a conclusion or a related event.
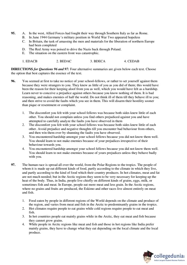
A. In the west, Allied Forces had fought their way through southern Italy as far as Rome.
B. In June 1944 Germany’s military position in World War too appeared hopeless
C. In Britain, the task of amassing the men and materials for the liberation of northern Europe had been completed.
D. Red Army was poised to drive the Nazis back through Poland.
E. The situation on the eastern front was catastrophic.
View Solution
The correct order of sentences logically starts with the military advancement in the west, followed by Germany’s position, the situation in Britain, and finally the situation on the eastern front. The best sequence is: \[ B \quad E \quad D \quad A \quad C \]
Thus, the correct order is BEDAC.
\[ \boxed{BEDAC} \] Quick Tip: Focus on sentences that describe the geographical or temporal flow of events when determining the sequence.
A. He felt justified in bypassing Congress altogether on a variety of moves.
B. At times he was fighting the entire Congress.
C. Bush felt he had a mission to restore power to the presidency.
D. Bush was not fighting just the democrats.
E. Representatives democracy is a messy business, and a CEO of the white House does not like a legislature of second guessers and time wasters.
View Solution
The correct order of sentences follows the logic of bypassing Congress, justifying the actions, Bush’s actions against the Democrats, and concluding with the involvement of the representatives. The ideal sequence is: \[ C \quad A \quad E \quad B \quad D \]
Thus, the correct order is CAEBD.
\[ \boxed{CAEBD} \] Quick Tip: Pay attention to sentences that provide contextual background, followed by actions or justifications.
The human race is spread all over the world, from the polar regions to the tropics. The people of whom it is made up eat different kinds of food, partly according to the climate in which they live, and partly according to the kind of food which their country produces. In hot climates; meat and fat are not much needed; but in the Arctic regions they seem to be very necessary for keeping up the heat of the body. Thus, in India, people live chiefly on different kinds of grains, eggs, milk, or sometimes fish and meat. In Europe people eat more meat and less grain. In the Arctic regions, where no grains and fruits are produced, the Eskimo and others races live almost entirely on meat and fish.
View Solution
The sequence begins with a general description of how the human race is spread across the globe. Then, the fact that food choices depend on local climate and produce is explained. This leads to the idea that different climates (hot vs. cold) influence the types of food people consume, such as grains in hot regions and meat/fish in cold regions.
Thus, the correct sequence is: \[ \boxed{Option 1} \] Quick Tip: Look for options that describe the relationship between climate, food habits, and regional production.
You seemed at first to take no notice of your school-fellows, or rather to set yourself against them because they were strangers to you. They knew as little of you as you did of them; this would have been the reason for their keeping aloof from you as well, which you would have felt as a hardship. Learn never to conceive a prejudice against others because you know nothing of them. It is bad reasoning, and makes enemies of half the world. Do not think ill of them till they behave ill to you; and then strive to avoid the faults, which you see in them. This will disarm their hostility sooner than pique or resentment or complaint.
View Solution
The best solution emphasizes learning not to form prejudices based on ignorance of others. This perspective will help avoid unnecessary conflicts and make interactions smoother. It also highlights the need to focus on understanding others before drawing conclusions.
Thus, the correct sequence is: \[ \boxed{Option 3} \] Quick Tip: Always try to understand others before forming opinions about them.
When a culture is insecure, the painter chooses his subject on the basis of:
View Solution
The painter’s choice of subject is influenced by what he finds meaningful, as emphasized in the passage. The artist selects a subject based on its significance to him, whether it is visual, emotional, or conceptual. Therefore, the Correct Answer is: \[ \boxed{(2) \ Its meaningfulness to the painter.} \] Quick Tip: Look for answers that highlight personal connection or meaning as driving factors in the selection process.
In the sentence, "I believe there is a connection" (second paragraph), what two developments is the author referring to?
View Solution
The author mentions the connection between the freedom artists gained to choose their subjects and the eventual abandonment of subjects in favor of abstract forms. Thus, the correct choice is: \[ \boxed{(3) \ Artists gaining freedom to choose subjects and abandoning subjects altogether.} \] Quick Tip: Pay attention to transitions in the passage that link historical developments with changes in artistic approaches.
Which of the following is NOT necessarily among the attributes needed for a painter to succeed:
View Solution
In the context of the passage, which of the following statements would NOT be true?
View Solution
The passage suggests that in stable cultural contexts, like in China, artists had established subjects to choose from, such as reeds and water. However, in other contexts, like 19th-century Europe, artists faced significant challenges with subject choice, leading to scandals. Thus, the Correct Answer is: \[ \boxed{(2) \ Painters of reeds and water in China faced no serious problem of choosing a subject.} \] Quick Tip: Note the contrast between cultures with fixed artistic traditions and those undergoing transitions, where subject choice becomes more complex.
Which of the following views is taken by the author?
View Solution
The passage explains that in an insecure or disintegrating culture, artists gain more freedom, but this leads to difficulty in subject choice. Therefore, the Correct Answer is: \[ \boxed{(1) \ The more insecure a culture, the greater the freedom of the artist.} \] Quick Tip: Pay attention to how the author contrasts the challenges of choosing subjects in secure versus insecure cultural contexts.
According to the passage, which of the following statements is true?
View Solution
The passage emphasizes the little progress made in terms of speed, despite large investments and technological advancements. It specifically mentions that the average speed of cars in London in 2001 was 17.5 miles per hour, nearly the same as Ford's first car. Therefore, the Correct Answer is: \[ \boxed{(2) \ The speed at which an automobile is driven in a city has not changed much in a century.} \] Quick Tip: Look for details in the passage that highlight stagnation or minimal change over time in a specific industry.
Which of the following views does the author fully support in the passage?
View Solution
The passage criticizes the idea that change is always rapid and emphasizes that, despite large investments in innovation, changes have been incremental, particularly in industries like automobiles and air travel. Therefore, the Correct Answer is: \[ \boxed{(4) \ Over decades, structural change has been incremental.} \] Quick Tip: Look for statements in the passage that highlight a critique of rapid change, especially in industries that have seen little real innovation.
Which of the following best describes one of the main ideas discussed in the passage?
View Solution
The passage critiques the notion of rapid change and highlights the lack of real innovation in industries such as automobiles and air travel. Despite spending large sums on research, the actual technological advances have been minimal. Thus, the Correct Answer is: \[ \boxed{(2) \ Industry is not as innovative as it is made out to be.} \] Quick Tip: Focus on the author’s critiques of industries that claim rapid progress but have not delivered significant change.
According to the passage, the reason why we continue to be dependent on fossil fuels is that:
View Solution
The passage explains that auto executives resisted changing from the traditional combustion engine to electric designs, as they were too attached to their existing expertise and factories. This reluctance to change is why the auto industry continued to depend on fossil fuels. Therefore, the Correct Answer is: \[ \boxed{(1) \ Auto executives did not wish to change.} \] Quick Tip: Look for the passage's critiques of industry leaders' reluctance to innovate and how their decisions impacted the adoption of new technologies.
According to the author, the British policy during the 'New Imperialism' period tended to be defensive because
View Solution
The passage highlights that British policy during the New Imperialism period focused on defensive actions, particularly by preventing the growth of a native capitalist class or proletariat that could challenge colonial powers. Therefore, the Correct Answer is: \[ \boxed{(4) \ It prevented the growth of a set-up which could have been capitalistic in nature.} \] Quick Tip: Look for answers that relate to policies preventing growth or innovation in the context of power dynamics and control.
Under New Mercantilism, the fervent nationalism of the native middle classes does not create conflict with the multinational corporations because they (the middle classes)
View Solution
The passage indicates that the national middle classes in underdeveloped countries cannot break free from the international system and rely on multinational corporations for their prosperity. This dependency prevents them from challenging the status quo. Therefore, the Correct Answer is: \[ \boxed{(2) \ are dependent on the international system for their continued prosperity.} \] Quick Tip: Look for options that describe the middle class's dependency on existing systems of power and capital.
In the sentence, "They are prisoners of the taste patterns and consumption standards set at the center." (fourth paragraph), what is the meaning of 'center'?
View Solution
The "center" in the passage refers to the global powers, particularly the new capitalists who set consumption patterns and influence the economies of the underdeveloped countries. Thus, the Correct Answer is: \[ \boxed{(3) \ New capitalists.} \] Quick Tip: The "center" often refers to dominant global powers in economic and political systems.
The author is in a position to draw parallels between New Imperialism and New Mercantilism because
View Solution
The passage suggests that both New Imperialism and New Mercantilism have comparable uneven and divisive effects, especially in terms of creating unequal power dynamics and social divisions. Therefore, the Correct Answer is: \[ \boxed{(4) \ both have comparable uneven and divisive effects.} \] Quick Tip: Focus on the author's comparison of how both systems affect society and global inequality.
The book Man-Eaters of Tsavo annoys some scientists because
View Solution
The passage mentions that the sensationalism of Patterson's book about the man-eating lions of Tsavo has contributed to their negative reputation, despite the lions being no more likely to attack humans than lions elsewhere. Therefore, the Correct Answer is: \[ \boxed{(3) \ it perpetuated the bad name Tsavo lions had.} \] Quick Tip: Look for answers that highlight the influence of myths or sensationalism on the public perception of an event or species.
The sentence which concludes the first paragraph, "Now they knew better", implies that:
View Solution
The passage indicates that Craig and West initially thought amateur observers had misinterpreted the maneless lions, but after seeing them themselves, they knew better. This suggests that they now realized those early assumptions were incorrect. Therefore, the Correct Answer is: \[ \boxed{(3) \ Earlier, Craig and West thought that amateur observers had been mistaken.} \] Quick Tip: Look for context clues in the passage that show how perceptions or understanding of a subject evolved.
According to the passage, which of the following has NOT contributed to the popular image of Tsavo lions as savage creatures?
View Solution
The passage states that the Tsavo lions are generally perceived as more aggressive due to the environment and prey scarcity, but it does not specifically attribute their savagery to being less evolved than Serengeti lions. Therefore, the Correct Answer is: \[ \boxed{(3) \ The Tsavo lion is considered to be less evolved than the Serengeti variety.} \] Quick Tip: Be aware of how the passage distinguishes between environmental factors and biological explanations for behaviors.
Which of the following, if true, would weaken the hypothesis advanced by Gnosek and Peternahns most?
View Solution
The hypothesis advanced by Gnosek and Peternahns suggests that Tsavo lions are similar to cave lions, but if the morphological differences between them were found to be insignificant, it would weaken their argument. Therefore, the Correct Answer is: \[ \boxed{(4) \ The morphological variations in body and skull size between the cave and Tsavo lions are found to be insignificant.} \] Quick Tip: Focus on details that directly challenge the core of a scientific hypothesis, such as anatomical or behavioral similarities.
The author recommends micronutrient-repletion for large-scale treatment of chronic degenerative diseases because
View Solution
The passage explains that Type B malnutrition, which is characterized by micronutrient depletion, is a major cause of chronic degenerative diseases. Therefore, repletion of micronutrients can help address the root cause of these diseases. Thus, the Correct Answer is: \[ \boxed{(2) \ micronutrient deficiency is the cause of these diseases.} \] Quick Tip: Focus on the link between deficiency and disease causation when considering treatment options.
Tailoring micronutrient-based treatment plans to suit individual deficiency profiles is not necessary because
View Solution
The passage mentions that most people are consuming insufficient micronutrients, so tailoring treatment plans for individuals may not be necessary at the population level, as the deficiency is widespread. Therefore, the Correct Answer is: \[ \boxed{(3) \ most people are consuming suboptimal amounts of safe-to-consume micronutrients.} \] Quick Tip: Consider the broader population-level solutions when individual tailoring is impractical or unnecessary.
Type-B malnutrition is a serious concern in developed countries because
View Solution
The passage states that Type-B malnutrition, caused by multiple micronutrient depletion, is a key factor in the rise of chronic degenerative diseases, leading to illness and death. Therefore, the Correct Answer is: \[ \boxed{(2) \ it is a major contributor to illness and death.} \] Quick Tip: Focus on the link between malnutrition and chronic diseases when assessing the impact of poor diet.
Why are a large number of apparently healthy people deemed pre-ill?
View Solution
The passage explains that chronic degenerative diseases have a long latency period, meaning that individuals may appear healthy until symptoms eventually develop, making them pre-ill. Therefore, the Correct Answer is: \[ \boxed{(4) \ There is a lengthy latency period associated with chronically degenerative diseases.} \] Quick Tip: Consider the role of latency in the development of diseases when determining pre-illness status.
A. But this does not mean that death was the Egyptians’ only preoccupation.
B. Even papyri come mainly from pyramid temples.
C. Most of our traditional sources of information about the Old Kingdom are monuments of the rich
like pyramids and tombs.
D. Houses in which ordinary Egyptian lived have not been preserved, and when most people died
they were buried in simple graves.
E. We know infinitely more about the wealthy people of Egypt than we do about the ordinary people,
as most monuments were made for the rich.
View Solution
The logical sequence starts with the statement that we know more about the wealthy people of Egypt, followed by the acknowledgment that most monuments were made for the rich. Then we discuss that most sources of information about Egypt come from the rich’s monuments, followed by details about the houses of ordinary Egyptians, and concluding with the clarification that death was not the Egyptians' only preoccupation.
Thus, the correct order is: \[ \boxed{(3) \ EDCBA} \] Quick Tip: Focus on the general flow of thought, from broad statements to specific examples or details.
A. Experts such as Larry Burns, head of research at GM, reckon that only such a full hearted leap
will allow the world to cope with the mass motorization that will one day come to China or India.
B. But once hydrogen is being produced from biomass or extracted from underground coal or made
from water, using nuclear or renewable electricity, the way will be open for a huge reduction in
carbon emissions from the whole system.
C. In theory, once all the bugs have been sorted out, fuel cells should deliver better total fuel
economy than any existing engines.
D. That is twice as good as the internal combustion engine, but only five percentage points better
than a diesel hybrid.
E. Allowing for the resources needed to extract hydrogen from hydrocarbon, oil coal or gas, the fuel
cell has an efficiency of 30%.
View Solution
The correct sequence begins with the introduction of Larry Burns’ statement about the need for a full-hearted leap to address mass motorization. Then, the benefits of hydrogen production and fuel cell technology are explained, followed by the potential of hydrogen fuel cells to deliver better economy and efficiency. The final part addresses the environmental impact and potential energy resources.
Thus, the correct order is: \[ \boxed{(3) \ CEBDA} \] Quick Tip: Look for the key statement or argument in the opening sentence and ensure subsequent sentences provide supporting information in a logical flow.
Local communities have often come in conflict with agents trying to exploit resources, at a faster pace, for an expanding commercial-industrial economy. More often than not, such agents of resource-intensification are given preferential treatment by the state, through the grant of generous long leases over mineral or fish stocks, for example, or the provision of raw material at an enormously subsidized price. With the injustice so compounded, local communities at the receiving end of this process have no recourse expect direct action, resisting both the state and outside exploiters through a variety of protest techniques. These struggles might perhaps be seen as a manifestation of a new kind of class conflict.
View Solution
The passage emphasizes that local communities, affected by preferential treatment granted to agents of resource-intensification by the state, protest due to the injustice they perceive. This conflict is a result of the compounded inequality, creating a new form of class conflict. Therefore, the Correct Answer is: \[ \boxed{(3) \ Preferential treatment given by the state to agents of resource-intensification for an expanding commercial-industrial economy exacerbates injustice to local communities and leads to direct protests from them, resulting in a new type of class conflict.} \] Quick Tip: Look for summaries that address the core issue of the conflict and its causes, especially those that highlight the role of the state and resource exploitation.
Although almost all climate scientists agree that the Earth is gradually warming, they have long been of two minds about the process of rapid climate shifts within larger periods of change. Some have speculated that the process works like a giant oven or freezer, warming or cooling the whole planet at the same time. Others think that shifts occur on opposing schedules in the Northern and Southern Hemisphere, like exaggerated seasons. Recent research in Germany examining climate patterns in the Southern Hemisphere at the end of the last Ice Age strengthens the idea that warming and cooling occurs at alternate times in the two hemispheres. A more definitive answer to this debate will allow scientists to better predict when and how quickly the next climate shift will happen.
View Solution
The passage discusses the uncertainty among scientists about whether climate shifts happen simultaneously or on opposing schedules across hemispheres, and how resolving this question will improve predictive models. Therefore, the Correct Answer is: \[ \boxed{(2) \ Scientists have been unsure whether rapid shifts in the Earth’s climate happen all at once or on opposing schedules in different hemispheres; finding a definitive answer will help them better predict climate shifts in future.} \] Quick Tip: Look for summaries that capture the scientific debate and its implications on future predictions.
Modern bourgeois society, said Nietzsche, was decadent and enfeebled – a victim of the excessive development of the rational faculties at the expense of will and instinct. Against the liberal-rationalist stress on the intellect, Nietzsche urged recognition of the dark mysterious world of instinctual desires – the true forces of life. Smother the will excessive intellectualizing and you destroy the spontaneity that sparks cultural creativity and ignites a zest for living. The critical and theoretical outlook destroyed the creative instincts. For man’s manifold potential to be realized, he must forego relying on the intellect and nurture again the instinctual roots of human existence.
View Solution
The passage outlines Nietzsche’s criticism of the overemphasis on intellect, which he believes stifles creativity and spontaneity. He advocates for a return to creative instincts. Therefore, the Correct Answer is: \[ \boxed{(4) \ Nietzsche blames excessive intellectualization for the decline of modern society and suggests nurturing creative instincts instead.} \] Quick Tip: Look for answers that highlight Nietzsche’s critique of intellectualism and his focus on instinctual creativity.
Also Check:
CAT 2004 Paper Analysis
CAT 20004 Quantitative Ability section was rated much easier compared to the other sections. Questions in the VA section were rated difficult to attempt. Out of the 35 questions in CAT QA, 20 were 1 mark questions and 15 were 2 mark questions. DILR had 26 1-mark questions and 12 2-mark questions. Go through the below-mentioned table in order to get further details of CAT 2004 question paper analysis-
| Parameters | Details |
|---|---|
| Number of Sections | 3 x 2 (Each section was divided into 2 sub-sections) |
| Number of questions | 123 |
| Overall difficulty level | Moderate-Difficult |
| Difficulty Level (Quantitative Ability) | Moderate |
| Difficulty Level (VARC) | Moderate-Difficult |
| Difficulty Level (DILR) | Moderate-Difficult |
CAT Question Papers of Other Years
| CAT 2024 Question Papers | CAT 2023 Question Papers |
| CAT 2022 Question Papers | CAT 2020 Question Papers |
| CAT 2019 Question Papers | CAT 2018 Question Papers |
| CAT 2017 Question Papers | CAT 2016 Question Papers |






Comments