KCET 2014 Biology Question Paper with Answer Key pdf is available for download. The exam was conducted by Karnataka Examination Authority (KEA) on May 1, 2014 in the Morning Session 10:30 AM to 11:50 AM. The question paper comprised a total of 60 questions.
KCET 2014 Biology Question Paper with Answer Key PDF
| KCET 2014 Biology Question Paper 2014 PDF | KCET 2014 Biology Answer Key 2014 PDF |
|---|---|
| Download PDF | Download PDF |
KCET Previous Year Question Paper with Answer Key PDFs
| KCET 2022 Question Paper | KCET 2021 Question Paper | KCET 2020 Question Paper |
| KCET 2019 Question Paper | KCET 2018 Question Paper | KCET 2017 Question Paper |







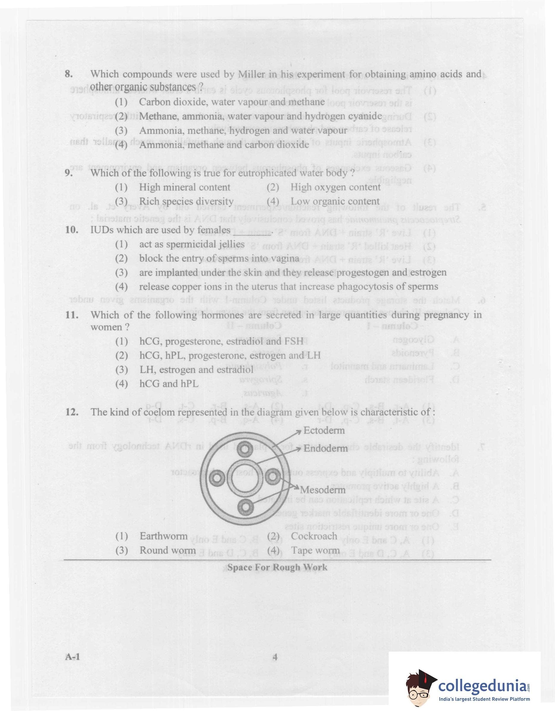
Comments