UP Board Class 12 Mathematics Question Paper 2025 PDF (Code 324 JB) is available for download here. The Mathematics exam was conducted on March 3, 2025 in the Morning Shift from 8:30 AM to 11:45 AM. The total marks for the theory paper are 100. Students reported the paper to be easy to moderate.
UP Board Class 12 Mathematics Question Paper 2025 (Code 324 JB) with Solutions
| UP Board Class Mathematics Question Paper with Answer Key | Check Solutions |

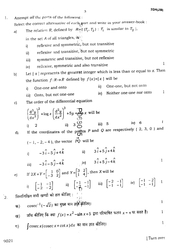
The relation R, defined by R = { (\(T_1\), \(T_2\)) : \(T_1\) is similar to \(T_2\) \, in the set A of all triangles, is
Let [x] represents the greatest integer which is less than or equal to x. Then the function \(f: \mathbb{R} \to \mathbb{R}\) defined by \(f(x) = [x]\) will be
The order of the differential equation \( \left( \frac{d^3y}{dx^3} \right)^2 + \log x \left( \frac{d^2y}{dx^2} \right)^3 + 5y = \cos x \) will be
If the coordinates of the points P and Q are respectively (2, 3, 0) and (–1, –2, –4), the vector \( \vec{PQ} \) will be
If \( 2X + Y = \begin{bmatrix} 1 & 0
-3 & 2 \end{bmatrix} \) and \( Y = \begin{bmatrix} 3 & 2
1 & 4 \end{bmatrix} \), then X will be
Find the principal value of \( cosec^{-1}(-\sqrt{2}) \).
Test whether the function defined by \( f(x) = x^2 - \sin(x) + 5 \) is continuous at \( x = \pi \).
Evaluate: \( \int cosec\,x(cosec\,x + \cot x) \,dx \).
If \( 2P(A) = P(B) = \frac{5}{13} \) and \( P(A/B) = \frac{2}{5} \), then find \( P(A \cup B) \).
Find the direction-cosines of the y-axis.
Differentiate \(x^{\sin x}\) with respect to \(x\), while \(x > 0\).
Evaluate : \(\int \frac{dx}{\sqrt{x^2 - a^2}}\).
Let a relation R be defined in the set \(\mathbb{N} \times \mathbb{N}\) as follows: \((a, b) R (c, d)\) if and only if \(a + d = b + c\). Prove that R is an equivalence relation.
Find the projection of the vector \(\vec{a} = 2\hat{i} + 3\hat{j} + 2\hat{k}\) on the vector \(\vec{b} = \hat{i} + 2\hat{j} + \hat{k}\).
Evaluate : \( \int \frac{dx}{(x+1)(x+2)} \).
In a leap year, selected at random, find the probability that there are 53 Tuesdays.
If \( A = \begin{bmatrix} \cos \alpha & \sin \alpha
-\sin \alpha & \cos \alpha \end{bmatrix} \), verify that \( A'A=I \).
Show that the given function \( f, f(x) = x^3 - 3x^2 + 4x, x \in \mathbb{R} \) is an increasing function in \( \mathbb{R} \).
Find the value of the determinant \( \begin{vmatrix} a^2+1 & ab & ac
ab & b^2+1 & bc
ca & cb & c^2+1 \end{vmatrix} \).
If \(y=(\tan^{-1} x)^2\), show that \((x^2+1)^2 \frac{d^2y}{dx^2} + 2x(x^2+1)\frac{dy}{dx} = 2\).
Find the shortest distance between the lines whose vector equations are \(\vec{r}=(\hat{i}+2\hat{j}+3\hat{k})+\lambda(\hat{i}-3\hat{j}+2\hat{k})\) and \(\vec{r}=(4\hat{i}+5\hat{j}+6\hat{k})+\mu(2\hat{i}+3\hat{j}+\hat{k})\).
Prove that \(\tan^{-1}\left(\frac{\sqrt{1+x} - \sqrt{1-x}}{\sqrt{1+x} + \sqrt{1-x}}\right) = \frac{\pi}{4} - \frac{1}{2}\cos^{-1}x\), where \(-\frac{1}{\sqrt{2}} \leq x \leq 1\).
Find the general solution of the differential equation \(x\frac{dy}{dx} + 2y = x^2\) (\(x \neq 0\)).
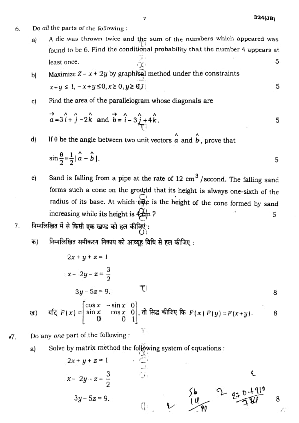
A die was thrown twice and the sum of the numbers which appeared was found to be 6. Find the conditional probability that the number 4 appears at least once.
Maximize \(Z = x + 2y\) by graphical method under the constraints \(x+y \le 1, -x+y \le 0, x \ge 0, y \ge 0\).
Find the area of the parallelogram whose diagonals are \( \vec{a} = 3\hat{i} + \hat{j} - 2\hat{k} \) and \( \vec{b} = \hat{i} - 3\hat{j} + 4\hat{k} \).
If \( \theta \) be the angle between two unit vectors \( \hat{a} \) and \( \hat{b} \), prove that \( \sin\frac{\theta}{2} = \frac{1}{2} |\hat{a} - \hat{b}| \).
Sand is falling from a pipe at the rate of 12 cm\(^3\)/second. The falling sand forms such a cone on the ground that its height is always one-sixth of the radius of its base. At which rate is the height of the cone formed by sand increasing while its height is 4 cm?
Solve by matrix method the following system of equations:
\(2x + y + z = 1\)
\(x - 2y - z = \frac{3}{2}\)
\(3y - 5z = 9\)
If \( F(x) = \begin{bmatrix} \cos x & -\sin x & 0
\sin x & \cos x & 0
0 & 0 & 1 \end{bmatrix} \), prove that \(F(x)F(y) = F(x+y)\).
Prove that the semi-vertical angle of the cone of given slant height and maximum volume is tan\(^{-1}\) \(\sqrt{2}\).
Prove that \(\int_{0}^{\pi/4} \log(1 + \tan x) dx = \frac{\pi}{8} \log 2\).
Find the area of the region bounded by the ellipse \(\frac{x^2}{a^2} + \frac{y^2}{b^2} = 1\).
Find the general solution of the differential equation \(y - x \frac{dy}{dx} = x + y \frac{dy}{dx}\).



Comments