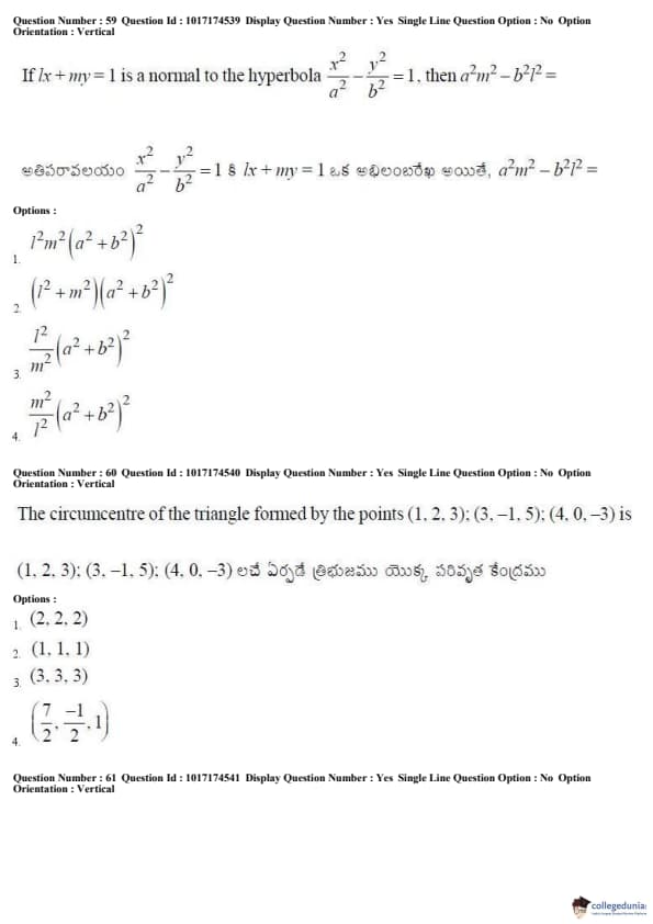
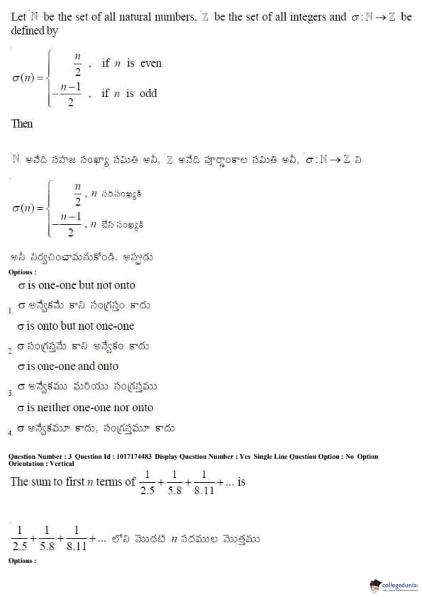
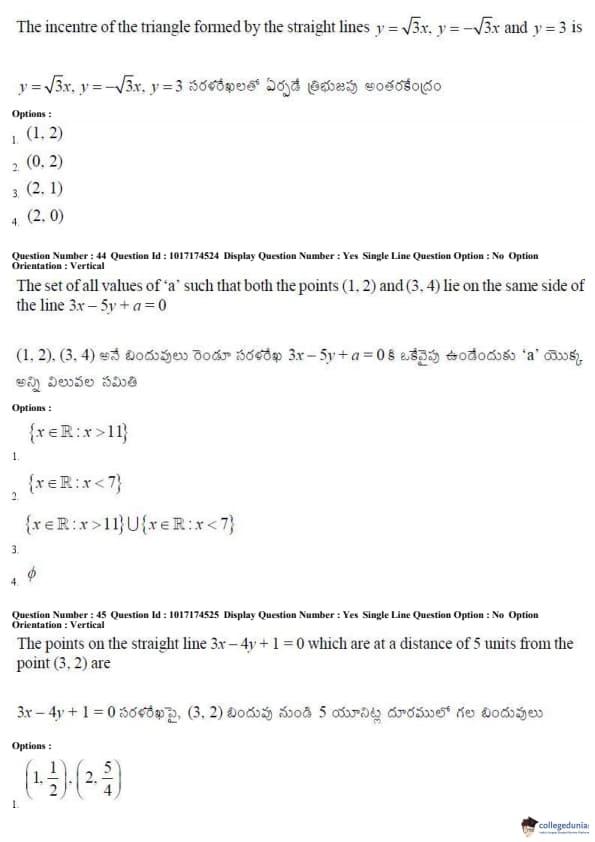
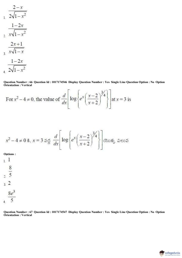
AP EAPCET 2017 Engineering Question paper with answer key pdf conducted on April 26, 2017 in Forenoon Session 10 AM to 1 PM is available for download. The exam was successfully organized by Jawaharlal Nehru Technological University, Kakinada (JNTUK). The question paper comprised a total of 160 questions divided among 3 sections.
AP EAPCET 2017 Engineering Question Paper with Answer Key PDFs Forenoon Session
| AP EAPCET 2017 Engineering Question Paper PDF | AP EAPCET 2017 Engineering Answer Key PDF |
|---|---|
| Download PDF | Download PDF |







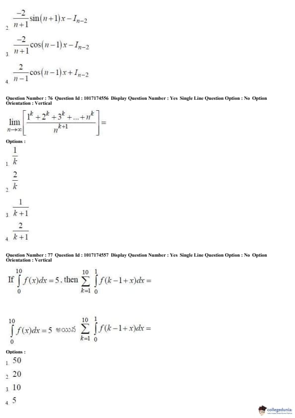
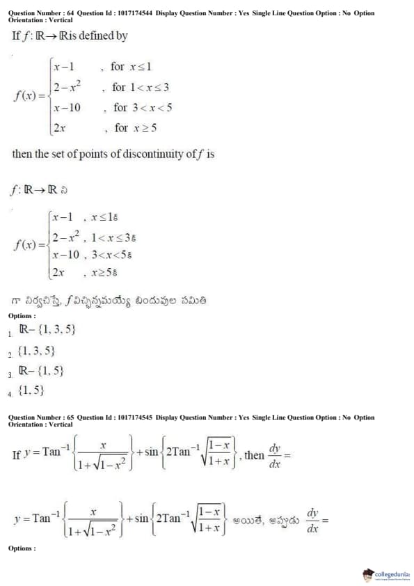
Comments