MHT CET 2018 Maths Question paper with answer key pdf conducted on May 10, 2018 is available for download. The exam was successfully organized by State Common Entrance Test Cell. In terms of difficulty level, MHT CET was of Moderate level. The question paper comprised a total of 50 questions.
MHT CET 2018 Maths Question Paper with Answer Key PDF for
| MHT CET 2018 Maths Question Paper PDF | MHT CET 2018 Maths Answer Key PDF |
|---|---|
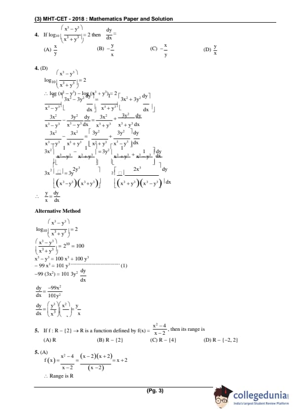
| Download PDF | Download PDF |
MHT CET Previous Year Question Paper with Answer Key PDFs
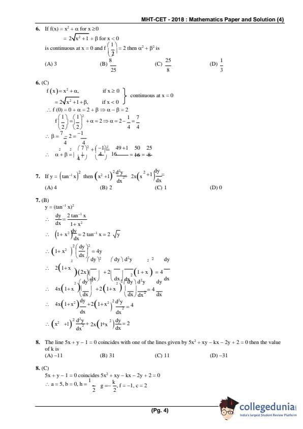
Collegedunia has provided MHT CET Previous Year Question paper pdf with answer key in the links given below:



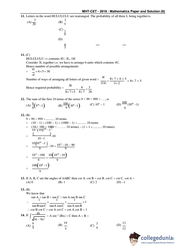
Comments