AP EAPCET 2024 Question Paper May 22 Shift 1 is available for download here. Jawaharlal Nehru Technological University, KAKINADA on behalf of APSCHE conducted AP EAPCET 2024 on May 22 in Shift 1 from 9 AM to 12 PM. AP EAPCET 2024 MPC Question Paper consists of 160 MCQ-based questions in total, 80 from Mathematics, 40 from physics, and 40 from chemistry carrying 1 mark each to be attempted in the duration of 3 hours.
Download AP EAMCET 2025 Question Paper with Solution PDF
AP EAPCET 2024 Question Paper with Answer Key PDF May 22 Shift 1
| AP EAPCET 2024 May 22 Shift 1 Question Paper with Answer Key | Check Solution |
The domain of the real valued function \( f(x) = \sqrt{9 - \sqrt{x^2 - 144}} \) is
View Solution
If set A has 5 elements, set B has 7 elements, then the number of one-one functions that can be defined from A to B is
View Solution
Find the sum of the sequence: \( 2 + 3 + 5 + 6 + 8 + 9 + \dots + 2n \) terms.
View Solution
If the system of equations has a unique solution, find the values of \( a \) and \( b \).
View Solution
If \( P \) and \( Q \) are two \( 3 \times 3 \) matrices such that \( |PQ| = 1 \) and \( |P| = 9 \), then the determinant of adjoint of the matrix \( P . Adj \ 3Q \) is:
View Solution
If \( A = \begin{bmatrix} a & 1 & 2\\
1 & b & 3\\
c & 1 & 3 \end{bmatrix} \) and \( Adj A = \begin{bmatrix} 7 & -1 & -5\\
-3 & 9 & 5\\
1 & -3 & 5 \end{bmatrix} \), then \( a^2 + b^2 + c^2 = \) ?
View Solution
If \( Z \) is a complex number such that \( |Z| \leq 3 \) and \( -\frac{\pi}{2} \leq amp Z \leq \frac{\pi}{2} \), then the area of the region formed by the locus of \( Z \) is:
View Solution
The locus of the complex number \( Z \) such that \( \arg \left( \frac{Z - 1}{Z + 1} \right) = \frac{\pi}{4} \) is:
View Solution
All the values of \( (8i)^{\frac{1}{3}} \) are:
View Solution
If \( \alpha, \beta \) are the roots of the equation \( x^2 - 6x - 2 = 0 \), \( \alpha \(>\) \beta \), and \( a_n = \alpha^n - \beta^n, n \geq 1 \), then the value of \( \frac{a_{10} - 2 a_8}{2 a_9} \) is:
View Solution
If both the roots of the equation \( x^2 - 6ax + 2 - 2a + 9a^2 = 0 \) exceed 3, then:
View Solution
If \( \alpha \) and \( \beta \) are two distinct negative roots of the equation \( x^5 - 5x^3 + 5x^2 - 1 = 0 \), then the equation of least degree with integer coefficients having \( \sqrt{-\alpha} \) and \( \sqrt{-\beta} \) as its roots is:
View Solution
If the number of real roots of \( x^9 - x^5 + x^4 - 1 = 0 \) is \( n \), the number of complex roots having argument on imaginary axis is \( m \), and the number of complex roots having argument in the second quadrant is \( k \), then \( m.n.k \) is:
View Solution
The rank of the word "TABLE" counted from the rank of the word "BLATE" in dictionary order is:
View Solution
5 boys and 6 girls are arranged in all possible ways. Let \(X\) denote the number of linear arrangements in which no two boys sit together, and \(Y\) denote the number of linear arrangements in which no two girls sit together. If \(Z\) denotes the number of ways of arranging all of them around a circular table such that no two boys sit together, then \(X:Y:Z\) = ?
View Solution
The number of ways of distributing 15 apples to three persons A, B, C such that A and C each get at least 2 apples and B gets at most 5 apples is:
View Solution
If the \(2^{nd}\), \(3^{rd}\), and \(4^{th}\) terms in the expansion of \( (x + a)^n \) are 96, 216, and 216 respectively, and \( n \) is a positive integer, then \( a + x \) is:
View Solution
If \( |x| \(<\) 1 \), then the number of terms in the expansion of \( \left[ \frac{1}{2} (1.2 + 2.3x + 3.4x^2 + \dots) \right]^{-25} \) is:
View Solution
If \( |x| \(<\) 1 \), the coefficient of \( x^2 \) in the power series expansion of \( \frac{x^4}{(x+1)(x-2)} \) is:
View Solution
If \( M_1 \) and \( M_2 \) are the maximum values of \( \frac{1}{11 \cos 2x + 60 \sin 2x + 69} \) and \( 3 \cos^2 5x + 4\sin^2 5x \) respectively, then \( \frac{M_1}{M_2} = \):
View Solution
Evaluate the given trigonometric expression:
\[ 4 \cos \frac{\pi}{7} \cos \frac{\pi}{5} \cos \frac{2\pi}{7} \cos \frac{2\pi}{5} \cos \frac{4\pi}{7} = \]
View Solution
In a triangle \( ABC \), if \( A, B, C \) are in arithmetic progression and
\[ \cos A + \cos B + \cos C = \frac{1 + \sqrt{2} +\sqrt{3}}{2\sqrt{2}}, \]
then \( \tan A \) is:
View Solution
The general solution of the equation \( \tan x + \tan 2x - \tan 3x = 0 \) is:
View Solution
The value of \( x \) such that \( \sin \left( 2 \tan^{-1} \frac{3}{4} \right) = \cos \left( 2 \tan^{-1} x \right) \) is:
View Solution
If \( \tanh x = sech y = \frac{3}{5} \) and \( e^{x+y} \) is an integer, then \( e^{x+y} \) is:
View Solution
In \( \triangle ABC \), if \( b + c : c + a : a + b = 7:8:9 \), then the smallest angle (in radians) of that triangle is:
View Solution
In \( \triangle ABC \), if \( (a+c)^2 = b^2 + 3ca \), then \( \frac{a+c}{2R} \) is:
View Solution
In \( \triangle ABC \), if \( A, B, C \) are in arithmetic progression, \( \Delta = \frac{\sqrt{3}}{2} \) and \( r_1 r_2 = r_3 r \), then \( R \) is:
View Solution
Let \( \mathbf{a} = 3\hat{i} + 4\hat{j} - 5\hat{k} \), \( \mathbf{b} = 2\hat{i} + \hat{j} - 2\hat{k} \). The projection of the sum of the vectors \( \mathbf{a}, \mathbf{b} \) on the vector perpendicular to the plane of \( \mathbf{a}, \mathbf{b} \) is:
View Solution
In \( \triangle PQR \), \((4\overline{i} + 3\overline{j} + 6\overline{k} )\) and \((3\overline{i} + \overline{j} + 3\overline{k} )\) are the position vectors of the vertices P, Q, R respectively. Then the position vector of the point of intersection of the angle bisector of \( P \) with \( QR \).
View Solution
If \( \vec{f} = i + j + k \) and \( \vec{g} = 2i - j + 3k \), then the projection vector of \( \vec{f} \) on \( \vec{g} \) is:
View Solution
If \( \theta \) is the angle between \( \vec{f} = i + 2j - 3k \) and \( \vec{g} = 2i - 3j + ak \) and \( \sin \theta = \frac{\sqrt{24}}{28} \), then \( 7a^2 + 24a = \) ?
View Solution
The distance of a point \( (2,3,-5) \) from the plane \( \vec{r} \cdot (4i - 3j + 2k) = 4 \) is:
View Solution
If \( x_1, x_2, x_3, \dots, x_n \) are \( n \) observations such that \( \sum (x_i + 2)^2 = 28n \) and \( \sum (x_i - 2)^2 = 12n \), then the variance is:
View Solution
Three numbers are chosen at random from 1 to 20. The probability that their sum is divisible by 3 is:
View Solution
Two persons A and B throw three unbiased dice one after the other. If A gets the sum 13, then the probability that B gets a higher sum is:
View Solution
8 teachers and 4 students are sitting around a circular table at random. The probability that no two students sit together is:
View Solution
A bag contains 6 balls. If three balls are drawn at a time and all of them are found to be green, then the probability that exactly 5 of the balls in the bag are green is:
View Solution
In a Binomial distribution, the difference between the mean and standard deviation is 3, and the difference between their squares is 21. Then, the ratio \( P(x = 1) : P(x = 2) \) is:
View Solution
When an unfair dice is thrown, the probability of getting a number \( k \) on it is \( P(X = k) = k^2 P \), where \( k = 1, 2, 3, 4, 5, 6 \) and \( X \) is the random variable denoting a number on the dice. Then, the mean of \( X \) is:
View Solution
The equation of the locus of points which are equidistant from the points \( (2,3) \) and \( (4,5) \) is:
View Solution
The transformed equation of \( x^2 - y^2 + 2x + 4y = 0 \) when the origin is shifted to the point \( (-1,2) \) is:
View Solution
The equation of the side of an equilateral triangle is \( x + y = 2 \) and one vertex is \( (2,-1) \). The length of the side is:
View Solution
The orthocentre of the triangle formed by lines \( x + y + 1 = 0 \), \( x - y - 1 = 0 \) and \( 3x + 4y + 5 = 0 \) is:
View Solution
If the slope of one of the pair of lines represented by \( 2x^2 + 3xy + Ky^2 = 0 \) is 2, then the angle between the pair of lines is:
View Solution
The length of x-intercept made by the pair of lines \( 2x^2 + xy - 6y^2 - 2x + 17y - 12 = 0 \) is:
View Solution
From a point \( (1,0) \) on the circle \( x^2 + y^2 - 2x + 2y + 1 = 0 \), if chords are drawn to this circle, then locus of the poles of these chords with respect to the circle \( x^2 + y^2 = 4 \) is:
View Solution
If A and B are the centres of similitude with respect to the circles \( x^2 + y^2 - 14x + 6y + 33 = 0 \) and \( x^2 + y^2 + 30x - 2y + 1 = 0 \), then midpoint of \( AB \) is:
View Solution
\( C_1 \) is the circle with centre at \( (0,0) \) and radius 4, \( C_2 \) is a variable circle with centre at \( (\alpha, \beta) \) and radius 5. If the common chord of \( C_1 \) and \( C_2 \) has slope \( \frac{3}{4} \) and of maximum length, then one of the possible values of \( \alpha + \beta \) is:
View Solution
If the pair of tangents drawn to the circle \( x^2 + y^2 = a^2 \) from the point \( (10, 4) \) are perpendicular, then \( a \) is:
View Solution
If \( x - 4 = 0 \) is the radical axis of two orthogonal circles out of which one is \( x^2 + y^2 = 36 \), then the centre of the other circle is:
View Solution
If the normal chord drawn at \( (2a,2a\sqrt{2}) \) on the parabola \( y^2 = 4ax \) subtends an angle \( \theta \) at its vertex, then \( \theta \) is:
View Solution
If the ellipse \(4x^2 + 9y^2 = 36\) is confocal with a hyperbola whose length of the transverse axis is 2, then the points of intersection of the ellipse and hyperbola lie on the circle:
View Solution
If the eccentricity of the hyperbola \( \frac{x^2}{a^2} - \frac{y^2}{b^2} = 1 \) is \( \sec \alpha \), then the area of the triangle formed by the asymptotes of the hyperbola with any of its tangent is:
View Solution
If \( e_1 \) and \( e_2 \) are respectively the eccentricities of the hyperbola \( \frac{x^2}{a^2} - \frac{y^2}{b^2} = 1 \) and its conjugate hyperbola, then the line \( \frac{x}{2e_1} + \frac{y}{2e_2} = 1 \) touches the circle having center at the origin, then its radius is:
View Solution
The orthocentre of triangle formed by points: \( (2,1,5) \), \( (3,2,3) \) and \( (4,0,4) \) is:
View Solution
If \( P = (0,1,2) \), \( Q = (4,-2,-1) \) and \( O = (0,0,0) \), then \( \angle POQ \) is:
View Solution
If the perpendicular distance from \( (1,2,4) \) to the plane \( 2x + 2y - z + k = 0 \) is 3, then \( k \) is:
View Solution
Evaluate: \[ \lim_{x \to 0} \left[ \frac{1}{x} - \frac{1}{e^x - 1} \right] \]
View Solution
Let \( f(x) \) be defined as: \[ f(x) = \begin{cases} 0, & x = 0
2 - x, & 0 \(<\) x \(<\) 1
2, & x = 1
1 - x, & 1 \(<\) x \(<\) 2
-\frac{3}{2}, & x \geq 2 \end{cases} \]
Then which of the following is true?
View Solution
If \( f(x) = \left(\frac{1+x}{1-x}\right)^{\frac{1}{x}} \) is continuous at \( x = 0 \), then \( f(0) \) is:
View Solution
The function \( f(x) = |x - 24| \) is:
View Solution
If \( y = \sqrt{\sin x + \sqrt{\sin x + \sqrt{\sin x + \cdots \infty}}} \), then the value of \( \frac{d^2y}{dx^2} \) at the point \( (\pi,1) \) is:
View Solution
If \( f(0) = 0 \), \( f'(0) = 3 \), then the derivative of \( y = f(f(f(f(f(x))))) \) at \( x = 0 \) is:
View Solution
The value \( c \) of Lagrange’s Mean Value Theorem for \( f(x) = e^x + 24 \) in \( [0,1] \) is:
View Solution
Equation of the normal to the curve \( y = x^2 + x \) at the point \( (1,2) \) is:
View Solution
Displacement \( s \) of a particle at time \( t \) is expressed as \( s = 2t^3 - 9t \). Find the acceleration at the time when the velocity vanishes.
View Solution
If a running track of 500 ft. is to be laid out enclosing a playground, the shape of which is a rectangle with a semicircle at each end, then the length of the rectangular portion such that the area of the rectangular portion is maximum is (in feet).
View Solution
Evaluate the integral: \[ \int \frac{x^2 - 1}{x^3\sqrt{2x^4 - 2x^2 + 1}} \,dx. \]
View Solution
Evaluate the integral: \[ \int \frac{x^3 \tan^{-1}(x^4)}{1 + x^8} \,dx. \]
View Solution
Evaluate the integral: \[ I = \int \frac{2}{1 + x + x^2} \,dx. \]
View Solution
Evaluate the integral: \[ I = \int \frac{1}{x^2\sqrt{1 + x^2}} \,dx. \]
View Solution
Evaluate the integral: \[ I = \int \frac{\sin 7x}{\sin 2x \sin 5x} \,dx. \]
View Solution
Evaluate the integral: \[ I = \int_0^{\frac{\pi}{4}} \log(1 + \tan x) \,dx. \]
View Solution
Evaluate the limit: \[ \lim_{n \to \infty} \left( \frac{1}{\sqrt{n^2}} + \frac{1}{\sqrt{n^2 - 1}} + \dots + \frac{1}{\sqrt{n^2 - (n-1)^2}} \right). \]
View Solution
The area (in square units) bounded by the curves \( x = y^2 \) and \( x = 3 - 2y^2 \) is:
View Solution
Evaluate the integral: \[ I = \int_{-\pi}^{\pi} \frac{x \sin x}{1 + \cos^2 x} \,dx. \]
View Solution
The general solution of the differential equation: \[ (1 + \tan y) (dx - dy) + 2x \, dy = 0. \]
View Solution
The general solution of the differential equation: \[ x \, dy - y \, dx = \sqrt{x^2 + y^2} \, dx. \]
View Solution
The sum of the order and degree of the differential equation: \[ x \left( \frac{d^2 y}{dx^2} \right)^{1/2} = \left( 1 + \frac{dy}{dx} \right)^{4/3} \]
is:
View Solution
The potential difference across the ends of a conductor is \( (30 \pm 0.3) V \) and the current through the conductor is \( (5 \pm 0.1) A \). The error in the determination of the resistance of the conductor is:
View Solution
A body thrown vertically upwards reaches a maximum height \( H \). The ratio of the velocities of the body at heights \( \frac{3H}{4} \) and \( \frac{8H}{9} \) from the ground is:
View Solution
The angle made by the resultant vector of two vectors \( 2\hat{i} + 3\hat{j} + 4\hat{k} \) and \( 2\hat{i} - 7\hat{j} - 4\hat{k} \) with the x-axis is:
View Solution
The equation of projectile motion is given by \( y = 3x - 0.8x^2 \). The time of flight of the projectile is (Acceleration due to gravity \( g = 10 \) m/s²):
View Solution
A 100 kg gun fires a ball of 1 kg horizontally from a cliff of height 500 m. It falls on the ground at a distance of 400 m from the bottom of the cliff. The recoil velocity of the gun is (Acceleration due to gravity \( g = 10 \) ms\(^{-2}\)):
View Solution
A block of mass 5 kg is placed on a rough horizontal surface with a coefficient of friction 0.5. If a horizontal force of 60 N is acting on it, then the acceleration of the block is (Acceleration due to gravity \( g = 10 \) ms\(^{-2}\)):
View Solution
The average power generated by a 90 kg mountain climber who climbs a summit of height 600 m in 90 minutes is (Acceleration due to gravity = 10 m/s\(^2\)):
View Solution
A boy weighing 50 kg finished a long jump at a distance of 8 m. Considering that he moved along a parabolic path and his angle of jump is \( 45^\circ \), his initial kinetic energy is:
View Solution
The moment of inertia of a rod about an axis passing through its centre and perpendicular to its length is \( \frac{1}{12} ML^2 \), where \( M \) is the mass and \( L \) is the length of the rod. The rod is bent in the middle so that the two halves make an angle of \( 60^\circ \). The moment of inertia of the bent rod about the same axis would be:
View Solution
We are tasked with finding the moment of inertia of a bent rod about an axis passing through its center and perpendicular to its length.
Step 1: Original Moment of Inertia
The given moment of inertia for a straight rod of length \(L\) and mass \(M\) about its center is:
\[ I = \frac{1}{12} ML^2 \]
Step 2: Understand the Bent Rod Configuration
When the rod is bent in the middle to form an angle of \( 60^\circ \), each half of the rod has length \( \frac{L}{2} \) and mass \( \frac{M}{2} \).
Step 3: Moment of Inertia of Each Half
For each half-rod, the moment of inertia about its own center (perpendicular to the rod) is:
\[ I_{half} = \frac{1}{12} \left(\frac{M}{2}\right)\left(\frac{L}{2}\right)^2 = \frac{1}{12} \times \frac{M}{2} \times \frac{L^2}{4} = \frac{1}{96} ML^2 \]
Step 4: Distance of Each Half's Centre from the Axis
Since the halves make an angle of \( 60^\circ \), the distance from the axis to the center of each half is:
\[ d = \frac{L}{4} \cos 30^\circ = \frac{L}{4} \times \frac{\sqrt{3}}{2} = \frac{L\sqrt{3}}{8} \]
Step 5: Applying the Parallel Axis Theorem
Using the parallel axis theorem, the total moment of inertia is:
\[ I = 2 \left( I_{half} + \frac{M}{2} d^2 \right) \]
Substituting the known values:
\[ I = 2 \left( \frac{1}{96} ML^2 + \frac{M}{2} \left(\frac{L\sqrt{3}}{8}\right)^2 \right) \]
\[ I = 2 \left( \frac{1}{96} ML^2 + \frac{M}{2} \times \frac{3L^2}{64} \right) \]
\[ I = 2 \left( \frac{1}{96} ML^2 + \frac{3}{128} ML^2 \right) \]
Taking a common denominator:
\[ I = 2 \left( \frac{4}{384} ML^2 + \frac{9}{384} ML^2 \right) \]
\[ I = 2 \left( \frac{13}{384} ML^2 \right) \]
\[ I = \frac{26}{384} ML^2 = \frac{1}{12} ML^2 \]
Step 6: Final Answer \[ \textbf{Correct Answer:} (2) \ \frac{1}{12} ML^2 \] Quick Tip: When a rod is bent symmetrically, its moment of inertia does not necessarily decrease. The perpendicular components of inertia contribute to maintaining the original value.
A uniform rod of length \( 2L \) is placed with one end in contact with the earth and is then inclined at an angle \( \alpha \) to the horizontal and allowed to fall without slipping at the contact point. When it becomes horizontal, its angular velocity will be:
View Solution
Two simple harmonic motions are represented by \(y_1 = 5 \left[ \sin 2\pi t + \sqrt{3} \cos 2\pi t \right] \) and \(y_2 = 5 \sin \left[ 2\pi t + \frac{\pi}{4} \right] \). The ratio of their amplitudes is:
View Solution
When a mass \( m \) is connected individually to the springs \( s_1 \) and \( s_2 \), the oscillation frequencies are \( v_1 \) and \( v_2 \). If the same mass is attached to the two springs as shown in the figure, the oscillation frequency would be:
View Solution
A satellite moving around the Earth in a circular orbit has kinetic energy \( E \). Then, the minimum amount of energy to be added so that it escapes from the Earth is:
View Solution
The elongation of a copper wire of cross-sectional area \( 3.5 \) mm\(^2\), in the figure shown, is \[ (Y_{copper} = 10 \times 10^{10} Nm^{-2} and g = 10 m/s^2) \]
View Solution
Water is flowing in a streamline manner in a horizontal pipe. If the pressure at a point where cross-sectional area is \( 10 \) cm\(^2\) and velocity \( 1 \) m/s is \( 2000 \) Pa, then the pressure of water at another point where the cross-sectional area is \( 5 \) cm\(^2\) is:
View Solution
A metal ball of mass 100 g at \( 20^\circ C \) is dropped in 200 ml of water at \( 80^\circ C \). If the resultant temperature is \( 70^\circ C \), then the ratio of specific heat of the metal to that of water is:
View Solution
The efficiency of a heat engine that works between the temperatures where Celsius-Fahrenheit scales coincide and Kelvin-Fahrenheit scales coincide is (approximately):
View Solution
Initially the pressure of 1 mole of an ideal gas is \( 10^5 \) Nm\(^2\) and its volume is 16 liters. When it is adiabatically compressed, its final volume is 2 liters. Work done on the gas is (molar specific heat at constant volume \( C_V = \frac{3R}{2} \)):
View Solution
An ideal gas is taken around ABCA as shown in the P-V diagram. The work done during a cycle is:
View Solution
The ratio of kinetic energy of a diatomic gas molecule at a high temperature to that of NTP is:
View Solution
The vibrations of four air columns are shown below. The ratio of frequencies is:
View Solution
A person can see objects clearly when they lie between 40 cm and 400 cm from his eye. In order to increase the maximum distance of distant vision to infinity, the type of lens and power of correction lens required respectively are:
View Solution
If a slit of width \( x \) was illuminated by red light having wavelength \( 6500 \) Å, the first minima was obtained at \( \theta = 30^\circ \). Then the value of \( x \) is:
View Solution
A neutral ammonia (NH\(_3\)) molecule in its vapour state has an electric dipole moment of magnitude \( 5 \times 10^{-30} \) C·m. How far apart are the molecule's centers of positive and negative charge?
View Solution
If four charges \( q_1 = +1 \times 10^{-8} C \), \( q_2 = -2 \times 10^{-8} C \), \( q_3 = +3 \times 10^{-8} C \), and \( q_4 = +2 \times 10^{-8} C \) are kept at the four corners of a square of side 1 m, then the electric potential at the centre of the square is:
View Solution
Eight capacitors each of capacity \( 2 \) µF are arranged as shown in the figure. The effective capacitance between A and B is:
View Solution
If \( E_1 = 4V \) and \( E_2 = 12V \), the current in the circuit and potential difference between the points P and Q respectively are:
View Solution
Two identical cells gave the same current through an external resistance of \( 2 \)\(\omega\) regardless of whether the cells are grouped in series or parallel. The internal resistance of the cells is:
View Solution
Two toroids with number of turns 400 and 200 have average radii respectively 30 cm and 60 cm.
If they carry the same current, the ratio of magnetic fields in these two toroids is:
View Solution
Three rings, each with equal radius \( r \), are placed mutually perpendicular to each other and each having centre at the origin of the coordinate system. If \( I \) is the current passing through each ring, the magnetic field value at the common centre is:
View Solution
One bar magnet is in simple harmonic motion with time period \( T \) in an earth’s magnetic field. If its mass is increased by 9 times, the time period becomes:
View Solution
A coil of inductance \( L \) is divided into 6 equal parts. All these parts are connected in parallel. The resultant inductance of this combination is:
View Solution
A 50 Hz AC circuit has a 10 mH inductor and a 2 \(\omega\) resistor in series. The value of capacitance to be placed in series in the circuit to make the circuit power factor unity is:
View Solution
The structure of solids is investigated by using:
View Solution
The surface of a metal is first illuminated with a light of wavelength 300 nm and later illuminated by another light of wavelength 500 nm. It is observed that the ratio of maximum velocities of photoelectrons in two cases is 3. The work function of the metal value is close to:
View Solution
The ratio of the minimum wavelength of the Balmer series to the maximum wavelength in the Brackett series in the hydrogen spectrum is:
View Solution
The half-life period of a radioactive element A is 62 years. It decays into another stable element B. An archaeologist found a sample in which A and B are in 1 : 15 ratio. The age of the sample is:
View Solution
The current gain of a transistor in a common emitter configuration is 80. The resistances in collector and base sides of the circuit are 5 k\(\omega\) and 1 k\(\omega\) respectively. If the input voltage is 2 mV, the output voltage is:
View Solution
Four logic gates are connected as shown in the figure. If the inputs are \( A = 0, B = 1, C = 1 \), then the values of \( y_1 \) and \( y_2 \) respectively are:
View Solution
The maximum distance between the transmitting and receiving antennas for satisfactory
communication in line of sight mode is 57.6 km. If the height of the receiving antenna is 80 m, the
height of the transmitting antenna is (Radius of Earth = \( 6.4 \times 10^6 \) m):
View Solution
If the longest wavelength of the spectral line of the Paschen series of \( Li^{2+} \) ion spectrum is \( x \) Å, then the longest wavelength (in Å) of the Lyman series of the hydrogen spectrum is:
View Solution
If \( v_0 \) is the threshold frequency of a metal X, the correct relation between de Broglie wavelength \( \lambda \) associated with photoelectron and frequency \( v \) of the incident radiation is:
View Solution
In which of the following sets, elements are not correctly arranged with the property shown in brackets?
View Solution
In which of the following cases, there is no change in hybridization of the central atom?
View Solution
In which of the following sets, the sum of bond orders of three species is maximum?
View Solution
At 240.55 K, for one mole of an ideal gas, a graph of \( P \) (on y-axis) and \( V^{-1} \) (on x-axis) gave a straight line passing through the origin. Its slope (m) is 2000 J mol\(^{-1}\). What is the kinetic energy (in J mol\(^{-1}\)) of the ideal gas?
View Solution
At STP, a closed vessel contains 1 mole each of He and CH\(_4\). Through a small hole, 2L of He and 1L of CH\(_4\) escaped from the vessel in \( t \) minutes. What are the mole fractions of He and CH\(_4\) respectively remaining in the vessel? (Assume He and CH\(_4\) as ideal gases. At STP one mole of an ideal gas occupies 22.4 L of volume).
View Solution
10 g of a metal (M) reacts with oxygen to form 11.6 g of oxide. What is the equivalent weight of \( M \)?
View Solution
What is the enthalpy change (in J) for converting 9 g of H\(_2\)O (l) at \( +10^\circ C \) to H\(_2\)O (l) at \( +20^\circ C \)? Given \( C_p \) of water = 75 J/mol K and density of water = 1 g/mL.
View Solution
A, B, C and D are some compounds. The enthalpy of formation of A(g), B(g), C(g) and D(g) is 9.7, -110, 81 and -393 kJ mol\(^{-1}\) respectively. What is \( \Delta H \) (in kJ mol\(^{-1}\)) for the given reaction?
\[ A(g) + 3B(g) \rightarrow C(g) + 3D(g) \]
View Solution
At equilibrium for the reaction \[ A_2 (g) + B_2 (g) \rightleftharpoons 2AB (g) \]
The concentrations of \( A_2 \), \( B_2 \), and \( AB \) respectively are \( 1.5 \times 10^{-3}M \), \( 2.1 \times 10^{-3}M \), and \( 1.4 \times 10^{-3}M \). What will be \( K_p \) for the decomposition of AB at the same temperature?
View Solution
Which of the following when added to 20 mL of a 0.01 M solution of HCl would decrease its pH?
View Solution
Identify the incorrect statement:
View Solution
Which one of the following alkaline earth metals does not form hydride when it is heated with hydrogen directly?
View Solution
In the given structure of Diborane, \( \theta_1, \theta_2 \) are respectively:
\begin{figure
\centering
\end{figure
View Solution
In which of the following sets, allotropes of carbon are correctly matched with their uses?
(i) Graphite - Crucibles
(ii) Activated Charcoal - Water filters
(iii) Carbon Black - Fuel
View Solution
Which of the following is/are estimated by titrating polluted water with potassium dichromate solution in acidic medium?
View Solution
The number of isomers possible for a dibromo derivative (Molecular weight = 186 u) of an alkene is (Br = 80 u):
View Solution
In Kolbe's electrolysis of sodium propanoate, products formed at anode and cathode are respectively:
View Solution
Zinc oxide (white) is heated to high temperature for some time. Observe the following statement regarding above process:
I. Zinc oxide colour changes to pale yellow
II. The type of defect formed is ‘metal deficiency’
III. Some \( Zn^{2+} \) and \( e^- \) are present in interstitial places
View Solution
Benzoic acid undergoes dimerization in benzene. \( x \) g of benzoic acid (molar mass 122 g mol\(^{-1}\)) is dissolved in 49 g of benzene. The depression in freezing point is 1.12 K. If degree of association of acid is 88%, what is the value of \( x \)? (K\(_f\) for benzene = 4.9 K kg mol\(^{-1}\))
View Solution
At \( T(K) \), two liquids A and B form an ideal solution. The vapour pressures of pure liquids A and B at that temperature are 400 and 600 mm Hg respectively. If the mole fraction of liquid B is 0.3 in the mixture, the mole fractions of A and B in vapour phase respectively are:
View Solution
In which of the following Galvanic cells, emf is maximum?
(Given: \( E^\circ_{Mg} = -2.36 \, V \) and \( E^\circ_{Cl_2/Cl^-} = +1.36 \, V \))
View Solution
Isomerisation of gaseous cyclobutane to butadiene is a first-order reaction. At \( T(K) \), the rate constant of the reaction is \( 3.3 \times 10^{-4} \, s^{-1} \). What is the time required (in min) to complete 90% of the reaction at the same temperature? (log 2 = 0.3)
View Solution
Match List-I with List-II:
View Solution
The following data is obtained for coagulating a positively charged sol in 2 hours:
\begin{figure
\centering
\end{figure
What is the coagulating value of electrolyte for this sol?
View Solution
In which of the following metals extraction, impurities are removed as slag?
(i) Al \hspace{1cm (ii) Fe \hspace{1cm (iii) Cu \hspace{1cm (iv) Zn
View Solution
Two of the products formed by the reaction of \(X\) with HCl are gases. What is \(X\)?
HCl with \(X\) forms gaseous products, two of which are identified.
View Solution
The correct order of oxidizing power of the given ions is
Given: \( E^{\circ}_{Mg^{2+}/Mg} = -2.36 \, V \) and \( E^{\circ}_{Cl_2/Cl^-} = +1.36 \, V\)
View Solution
Match the complexes in list-I with their hybridization in list-II.
View Solution
Match the following:
View Solution
Which of the following is not an essential amino acid?
View Solution
Which one of the following is NOT a disaccharide?
View Solution
Which of the following molecules contain sulfur atom in their structures?
I. Morphine
II. Heroin
III. Penicillin
IV. Terpinenol
V. Cimetidine
View Solution
In Wurtz-Fitting reaction, a compound X reacts with alkyl halide. What is X?
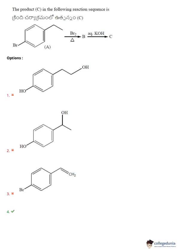
The product (C) in the following reaction sequence is:
An organic compound (X) has an empirical formula C\(_4\)H\(_8\)O. This gives a pale yellow precipitate with iodine in NaOH solution. What is X?
View Solution
Arrange the following in the correct order of their acidic strength:
I. \( C_6 H_4 (OH) \) (I)
II. \( C_6 H_5 (OH) \) (II)
III. \( C_6 H_4 (NO_2)(OH) \) (III)
IV. \( C_6 H_4 (NO_2)(OH) \) (IV)
View Solution
What is ‘Y’ in the given reaction sequence?
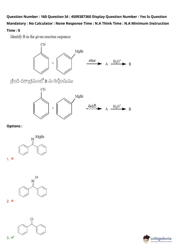
Identify B in the given reaction sequence:
View Solution
AP EAPCET Previous Year Question Paper with Answer Key PDFs
| AP EAPCET Question Paper 2023 | AP EAPCET Question Paper 2022 | AP EAPCET Question Paper 2021 |
| AP EAPCET Question Paper 2020 | AP EAPCET Question Paper 2019 | AP EAPCET Question Paper 2018 |







Comments