AP EAPCET 2021 Engineering Question paper with answer key pdf conducted on August 24, 2021 in Afternoon Session 3 PM to 6 PM is available for download. The exam was successfully organized by Jawaharlal Nehru Technological University, Kakinada (JNTUK). In terms of difficulty level, AP EAPCET was of Moderate level. The question paper comprised a total of 160 questions divided among 3 sections.
AP EAPCET 2021 Engineering Question Paper with Answer Key PDFs Afternoon Session
| AP EAPCET 2021 Engineering Question Paper PDF | AP EAPCET 2021 Engineering Answer Key PDF |
|---|---|
| Download PDF | Download PDF |







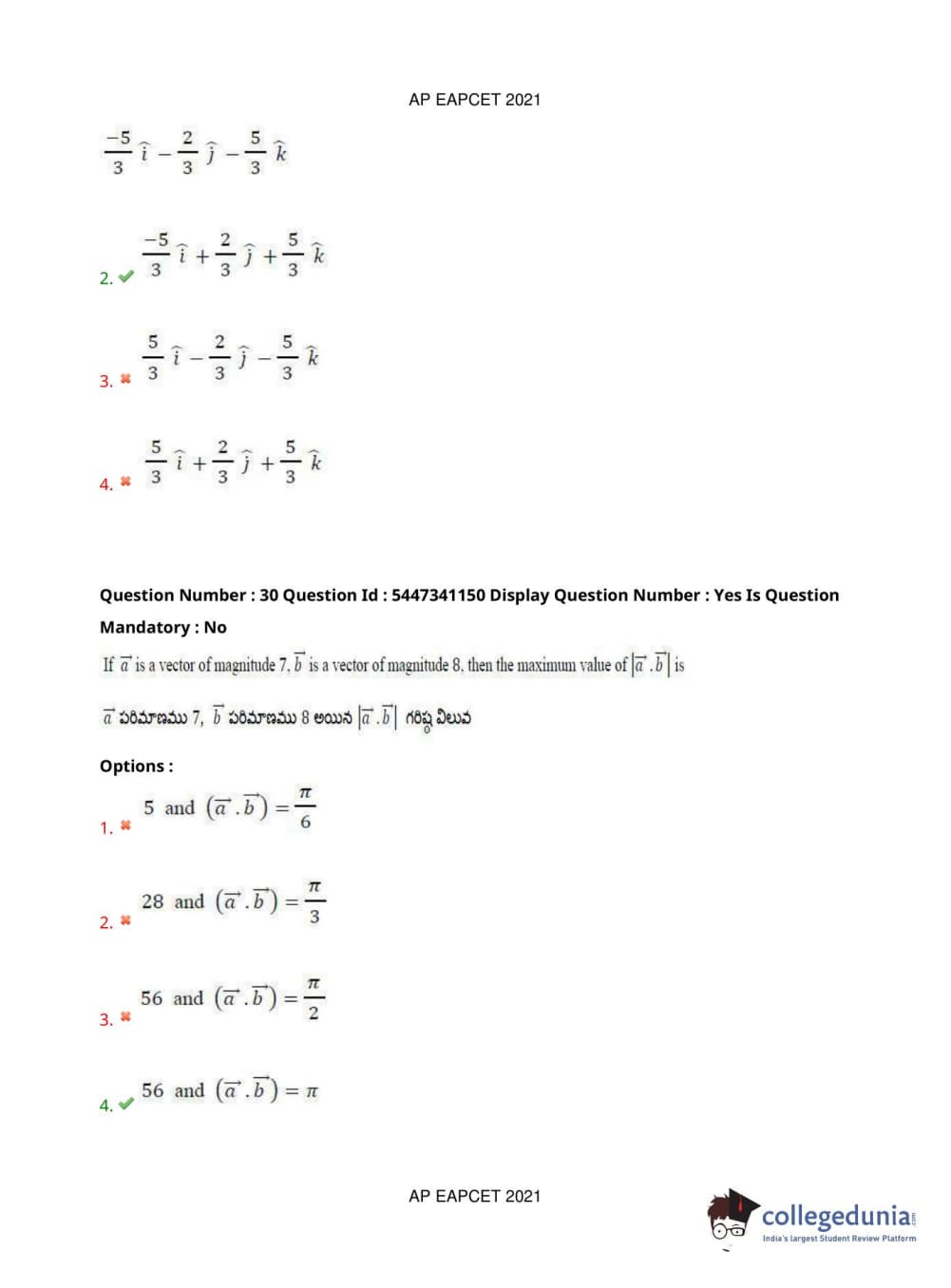
Comments