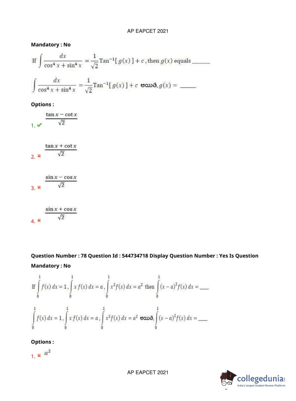
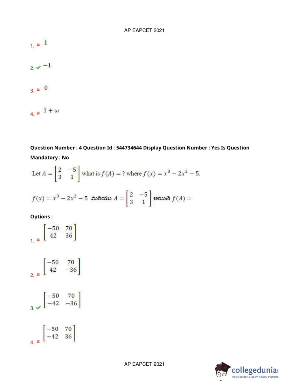
AP EAPCET 2021 Engineering Question paper with answer key pdf conducted on August 23, 2021 is available for download. The exam was successfully organized by Jawaharlal Nehru Technological University, Kakinada (JNTUK). In terms of difficulty level, AP EAPCET was of Moderate level. The question paper comprised a total of 160 questions divided among 3 sections.
AP EAPCET 2021 Engineering Question Paper with Answer Key PDFs
| AP EAPCET 2021 Engineering Question Paper PDF | AP EAPCET 2021 Engineering Answer Key PDF |
|---|---|
| Download PDF | Download PDF |







Comments