AP EAPCET 2020 Engineering Question paper with answer key pdf conducted on September 17, 2020 is available for download. The exam was successfully organized by Jawaharlal Nehru Technological University, Kakinada (JNTUK). In terms of difficulty level, AP EAPCET was of Moderate level. The question paper comprised a total of 160 questions divided among 3 sections.
AP EAPCET 2020 Engineering Question Paper with Answer Key PDFs
| AP EAPCET 2020 Engineering Question Paper PDF | AP EAPCET 2020 Engineering Answer Key PDF |
|---|---|
| Download PDF | Download PDF |







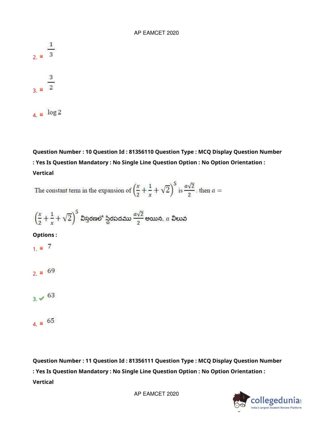
Comments