The SNAP 2007 Question Paper is now available for download with answer key and detailed solutions PDF. SNAP is conducted as a computer‑based test and divided into three sections: General English, Quantitative, Data Interpretation & Logical Reasoning. There is no sectional time limit, and each correct answer is awarded one mark, while each incorrect answer incurs a penalty of 0.25 marks.
SNAP 2007 Question Paper with Solutions PDF
| SNAP 2007 Question Paper | Download PDF | Check Solutions |

SNAP 2007 Questions with Solutions
The leading brand of artificial sweetener in India, ‘Sugar Free’ is owned by
View Solution
Monsoon is caused by
View Solution
An Indian company manufacturing automobiles for Mitsubishi is
View Solution
The name “Koneru Humpy” is associated with which of the following sport?
View Solution
The new coin ‘Rupiya’ was issued for the first time by
View Solution
One of the following allows an individual to start and continue to share regularly any of his/her own personal experience, knowledge, opinion or thought with the internet community?
View Solution
Phishing is
View Solution
In the sports world, the sobriquet ‘Indo-Pak Express’ is applied to
View Solution
A film that has not been directed by Mira Nair is
View Solution
In banking terminology, CRR means
View Solution
Some of the large deals entered into by IT majors in India (all are billion dollar deals) are listed here as options. Which one is not?
View Solution
Suicide car bomb caused havoc in England in July 2007 at which airport?
View Solution
Pakistan has signed Free Trade Agreement (FTA) and a five-year investment package with
View Solution
Major oil finds in India have been reported in
View Solution
The propagation of radio signals is greatly influenced by
View Solution
According to Dun and Bradstreet which one of the following is the largest employer among Indian ITeS and BPO companies?
View Solution
“In God we trust, the rest have to bring data on the table.” This statement was made by the famous industrialist
View Solution
The runner-up in the recent Vice-Presidential election was
View Solution
Which of the following is not provided in the constitution?
View Solution
When did Governor General’s rule end in India?
View Solution
The newspaper which was recently voted as the largest selling newspaper in the world is
View Solution
Which of the following countries is the top source of FDI inflows into India at present?
View Solution
The human cell contains
View Solution
In year 2006, the three largest economies in the world were
View Solution
Identify an entry that is reversed in terms of the forex rates for US Dollar on a day recently.
View Solution
Starbucks, the coffee chain retailer’s name is inspired from which book?
View Solution
A major US toy manufacturer which suffered a breakdown in supply chain from China on account of legally unacceptable toxic substances in its products is
View Solution
Bollywood name has been granted as a trademark to which US-based Media and Entertainment company by Indian Trademark Registry?
View Solution
Lakshmi Mittal, the famous NRI industrialist, is partnering with Govt. of India for which of the following big projects?
View Solution
Tyeb Mehta, Nand Lal Bose and Majit Bewa are
View Solution
Zapak Digital Entertainment (a gaming venture) belongs to which business group?
View Solution
In August 2007, Chennai High Court passed a landmark judgment that may have far reaching consequences on pharmaceuticals industry, dismissing a writ petition filed by
View Solution
The busiest port in the world today is
View Solution
In recent months the monks of Myanmar marched the streets of Yangon in hundreds
View Solution
To recover the national loss suffered by small investors in the IPO allotment scam from the National Securities Depository Services Ltd, Central Depository Services Ltd, and eight depository participants, a second interim order was passed by
View Solution
Indian Broadcasting Service was renamed in 1936 as
View Solution
Which of the following is not a principal organ of the UNO?
View Solution
Who was the composer of the classical composition ‘Moonlight Sonata’?
View Solution
During the year 2006-07 Indian Railways earned a profit of approximately
View Solution
Egg is a rich source of nutrients except
View Solution
General English
Read the following passage and answer within its context.
The world dismisses curiosity by calling it idle, or mere idle curiosity - even though curious persons are seldom idle. Parents do their best to extinguish curiosity in their children because it makes life difficult to be faced every day with a string of answerable questions about what makes fire hot or why grass grows. Children whose curiosity survives parental discipline are invited to join our university. Within the university, they go on asking their questions and trying to find the answers. In the eyes of a scholar, that is mainly what a university is for. Some of the questions that scholars ask seem to the world to be scarcely worth asking let alone answering. They ask questions too minute and specialized for you and me to understand without years of explanation. If the world inquires of one of them why he wants to know the answer to a particular question he may say, especially if he is a scientist, that the answer will in some obscure way make possible a new machine or weapon or gadget. He talks that way because he knows that the world understands and respects utility. But to you who are now part of the university, he will say that he wants to know the answer simply because he does not know it. The way a mountain climber wants to climb a mountain simply because it is there. Similarly a historian when asked by outsiders why he studies history may come out with argument that he has learnt to repeat on such occasions. Something about knowledge of the past making it possible to understand the present and mould the future. But if you really want to know why a historian studies the past, the answer is much simpler: something happened, and he would like to know what. All this does not mean that the answers which scholars find to their questions have no consequences. They may have enormous consequences but these seldom form the reason for asking the question or pursuing the answers. It is true that scholars can be put to work answering questions for the sake of the consequences as thousands are working now, for example, in search of a cure for cancer. But this is not the primary function of the scholar, for the consequences are usually subordinate to the satisfaction of curiosity
Common people consider some of the questions asked by scholars as unimportant
View Solution
In the statement ‘that is mainly what a university is for’ ‘that’ refers to
View Solution
According to the passage the general public respects
View Solution
The writer compares the scientist to
View Solution
The primary function of a scholar is different from the search for a cure for cancer because
View Solution
Idle curiosity means
- A. curiosity is lazy.
- B. idle people are curious.
- C. curiosity is apt.
- D. casual curiosity.
View Solution
Find the correct match of definition/meaning with usage for the word: WOULD

View Solution
Choose the most appropriate passive construction of the sentence: ‘He is doing his job well.’
View Solution
There are three underlined words below, followed by their usages. Determine the sentences in which the use of words is correct or appropriate: Pray. Prey. Prying.
A. If you pray with faith, they say, it will be answered.
B. He has fallen a prey to cheats.
C. Prying into the affairs of others is bad.
View Solution
The following is an excerpt from a recent article by David Ewing Duncan. Read the passage and answer the questions within its context.
Eye surgeon Virendar Sangwan has perfected a procedure so cutting-edge that most who have tried it have failed. In an operating theatre in the central Indian city of Hyderabad, he surgically implants corneas grown in a petri dish from stem cells by his colleague Geeta Vemuganti in patients with damaged eyes. Together they perform about 80 corneal regeneration procedures a year, making the L.V. Prasad Eye Institute, where they work, one of the most prolific facilities in the world using stem cells to regenerate tissues of any kind. The Sangwan-Vemuganti team uses stem cells found in the tissues of living adults, not ones derived from embryos. Teams all over the world are working with adult stem cells, trying to coax them to regrow cells in hearts, brains, livers and other organs, but progress is slow. Besides corneas, scientists have had some success regrowing skin cells and bone tissues, but those procedures remain experimental. “A number of programs around the world have tried to perfect this treatment, but they have had bad outcomes,” says University of Cincinnati eye surgeon and stem cell specialist Edward Holland. “It is impressive what they are doing at Prasad.” In addition to the Hyderabad project, only Holland’s program and a half-dozen others in the world conduct operations using corneas grown from stem cells.The treatment uses stem cells harvested from the limbus, located where the cornea touches the white of the eye. For those with damaged corneas, these cells - called “limbic” and “conjunctiva” - are harvested from a patients good eye, if he has one, or from a close relative. They are placed in a petri dish and chemically tweaked to grow into the lower layer of a cornea, called epithelium. It is then transplanted into the eye of the patient where in most cases it takes hold and grows. In 56% of the cases at the Prasad Institute, patient could still see clearly after 40 months later
Indians are well known for reverse engineering, meaning they can deduce how drugs are made in order to produce generic versions. But in this case, Sangwan and Vemuganti, a pathologist, developed the technique on their own from reading papers and running experiments in the lab. Sangwan says he had a number of patients with burned eyes who could not helped with standard corneal transplants from cadavers, so he persuaded Vemuganti to try growing corneas in her lab. “You know how to grow cells, and I know how to do the transplant surgery.” Vemuganti recalls him saying. “Why don’t we work together?” She smiles and shakes her head. “I had no clue if this was going to work.” Vemuganti’s major innovation was developing a platform on which to grow corneas. First she designed a circular glass tube about the size of a stack of coins. Then she overlaid the glass with tissue from a human placenta which is “a good surface to grow corneas on.” She says. After that she placed stem cells in four places around a circle, added a growth medium, and watched the corneas begin to grow. Commercial interests among stem cell companies for the procedure has been scant because of the perceived small volume of patients, says venture capitalist Antoun Nabhan of ay Capital, who sits on the board of Cellerant, a leading stem cell company in San Carlos. Calif. But corneal stem cell treatment may have wider applications, say ophthalmologist Ivan Schwab of University of California at Davis. “These stem cells are similar to others in the body that make mucous membrane,” he say. “These techniques of growing stem cells might one day be used to treat mucous-membrane tissue in the sinuses, bladder, and other organs.”
According to the article Sangwan-Vemuganti team’s cutting-edge procedure of implanting cornea grown from stem cells is considered a major advancement by the experts because
- A. They derive stem cells from embryos.
- B. Their labs are customised to grow stem cells.
- C. They regrow cells in hearts, brains, livers with stem cells from tissues of living adults.
- D. They derive stem cells from tissues of living adults and grow cells in labs.
View Solution
Sangwan-Vemuganti procedure is carried out on
- A. Patients requiring any corneal transplant
- B. Patients with damaged corneas
- C. Patients with damaged eyes of any kind
- D. None of the above
View Solution
The world recognises this Indian innovation because Indian scientists are normally known
- A. To be good at analysing and finding out a method of how an existing drug is made.
- B. As they are good researchers of drugs.
- C. As they are good at carrying out experiments to create generic drugs.
- D. As they are able to carry out drug trials on large samples.
View Solution
The pathologist, Vemuganti, started growing cornea in a petri dish
- A. By following procedures published in research papers
- B. By inventing a totally new procedure
- C. By experimenting with procedures published in journals
- D. By following the instruction of the transplant surgeon
View Solution
In the context of the passage choose the correct set of meanings for the words: PLATFORM and GENERIC
- A. Lab table; related to genes
- B. Method; related to genes
- C. Lab experiments; without a brand name
- D. Methodology; without a brand name
View Solution
Choose the option which is closest in meaning to the word SUBTLE
- A. Innocent
- B. Elusive
- C. Dangerous
- D. Insidious
View Solution
The following sentence has a missing punctuation mark, choose the right answer.
My mother who is from the village is very superstitious.
- A. Brackets
- B. Comma
- C. Semicolon
- D. Apostrophe
View Solution
For the pair of sentences below choose the right option.
1. Those are them.
2. Those are they.
- A. The first sentence has an error.
- B. The second sentence is erroneous.
- C. Both sentences are incorrect.
- D. Both sentences are correct.
View Solution
Instructions [58 - 62 ]
Read the following passage and answer within its context.
TRIPs agreement provides a comprehensive set of global trade rules for the protection of copyright patents, trademarks, industrial designs, trade secrets, semiconductor lay out designs, and geographical indications, that apply to all the number-countries irrespective of their levels of development, natural and human endowments and history. Every member-country has been asked by the WTO to amend its national patent law to confirm to that universal globalized format for legislation relating to pharmaceutical, agrochemical, food, alloys, etc. Under Article 65, the developed countries have been asked to change their laws within another five years, and the less developed countries within an additional five years. The least developed countries have been asked to make those changes by 2005 AD. This attempt at global standardisation and uniformity by way of TRIP’s agreement is in conflict with the main thrust of the Rio Earth Summit of 1992 that set out the conditions for sustainable development. These two reveal two contrasting types of international approaches and norms. While the 1992 Earth Summit and the 1993 convention on biodiversity (CBD) focused on ‘diversity’ as being fundamental to sustain life and development, TRIPs and WTO are pushing for ‘conformity’ to international standardized norms on patents, services, labour, investment and what not irrespective of their history, ecology, level of economic development, etc. But despite their diametrically opposed viewpoints, 170 countries signed CBD upholding the need for diversity, and 50 countries signed the TRIPs agreement in 1994 claiming the urgency of uniformity, with a very large element of common names (130) in both. The convention on bio-diversity (CBD) in its Article 16.5 specifically asserts that intellectual property right must not be in conflict with conservation and sustainable use of bio-diversity, a provision that has been totally ignored by those who composed the TRIPs agreement. While in case of agriculture the higher yield of patented products induces the farmers to switch form a more varied production pattern, the resulting narrowing of genetic base makes the economy and society more vulnerable to plant disease and epidemics. It is true that the move towards cultivation of a smaller number of higher yielding varieties and the uniform spread of the same variety over a large space predates the present debate on patent, particularly since the introduction of the green revolution technology in the mid-sixties, but there can be no doubt that the latter has brought about a qualitative change in the scenario and has created possibility of a vast quantitative change too in that direction. So far no attempt has been made to reconcile the two conflicting approaches of CBD and TRIPs. If diversity is so important for sustaining life, how can WTO demand conformity to standardised global formats?
The author points out that intellectual property rights and their administration mechanism
- (A) is throttling the interest of global bio-diversity
- (B) is working to help sustain global bio-diversity
- (C) is being sustained by global bio-diversity
- (D) is what the global bio-diversity needs
View Solution
Which of the following has been said by the author in the passage?
- A. A high number of countries have signed both CBD and TRIPs, two conflicting treaties.
- B. A narrow genetic base, if stuck to for long, is fraught with danger.
- C. Although a nondiscriminatory approach has been followed in the applicability of TRIPs, there has been a confessional attitude in prescribing a time frame for Transition, as per needs of the respective countries.
- D. The author is supportive of international conventions and treaties such as TRIPs, CBD etc.
View Solution
Out of the countries that signed CBD, the percentage of those that signed the TRIPs also, is
- A. 76.5
- B. 74.5
- C. 78.5
- D. 80.2
View Solution
According to the author, a higher-yield seed variety is not always welcome as it also ultimately leads to
- A. diseases among the consumers.
- B. diseases among the plants.
- C. monopoly of developed countries.
- D. monopoly of developing countries.
View Solution
As per the TRIPs agreement not much differentiation is made between a developed country such as the USA and an undeveloped country such as Sudan. This is
- A. definitely true
- B. probably true
- C. probably false
- D. definitely false
View Solution
A single word equivalent for the statement ‘Speak falsely with deliberate intent’ is
View Solution
Identify the option with the correct spelling.
View Solution
Which two sentences in the following convey the same idea?
1. Wasn’t there any checking at the airport?
2. I want to know if there was any checking at the airport.
3. I wonder if there should have been any checking at the airport.
4. There should have been checking at the airport.
View Solution
Choose the grammatically correct sentence.
View Solution
Find the correct match of grammatical function with usage for the word: AFTER
Grammatical function – Usage
1) adjective – (6) It appears to be the after effect of the disease.
2) adverb – (8) He came soon after.
3) conjunction – (5) You may go after having your lunch.
4) preposition – (7) Many graduates are hankering after jobs.
View Solution
NEOPHYTE is the opposite of
- A. student
- B. clown
- C. veteran
- D. professional
View Solution
Find the maximum number of times that any one of the given words fits the set of sentences.
Words: disabled, flimsy, crippled, lame
- A. in all the four sentences
- B. in three sentences
- C. in two sentences
- D. in only one
View Solution
Which of the following does not make a sensible word/ phrase when added to the given word?
Word: FIRE
- A. fly
- B. engine
- C. stick
- D. escape
View Solution
Arrange the sentence 1,2,3,4 to form a logical sequence between sentences I and II. Choose the alternative where the four combinations make a meaningful sentence.
I. We all value having the freedom
1) which many of us fail to honour
2) to make the choices we want in our careers
3) but with great freedom comes great responsibility
4) so most companies fall prey to the policies which become rigid
II. and that’s probably one reason we find most companies not following what they preach
- A. 1, 3, 4, 2
- B. 2, 3, 1, 4
- C. 1, 4, 2, 3
- D. 3, 2, 1, 4
View Solution
Instructions [72 - 74 ]
Read the edited excerpt of an article by NELSON VINOD MOSES and answer the questions in this context.
A successful non-resident Indian employed in the United States returns to a backward Indian village and transforms the lives of the villagers. Sounds familiar? At 31, Ashwin Naik is pacing through the path Shah Rukh Khan traced in his off-bear Bollywood movie, Swades. Naik had just quit his cushy job in a genomics firm in the US to join MIT Sloan School of Business. With a month in hand, he headed home a travelled through the remote areas of Bagalkot district in Karnataka. The woeful social conditions he saw moved him. Naik chucked the MBA course and in six months set up Vaatsalya Healthcare, a rural healthcare delivery system. In February 2005, Vaatsalya’s first hospital opened in Hubli. Two more centres were opened in Gadag and Karwar to offer specialist services of surgeons and facilities such as physiotherapy for children suffering from cerebral palsy. “We introduced paediatric surgery for infants below six months,” says Naik. “Else, patients would have to be taken to distant cities of Hubli or Bangalore.” Naik plans 100 more units in five states in the next three years. Mere charity by an affluent, middle-class professional? Far from it. Vaatsalya is one among rapidly spreading ‘for profit’ social enterprises that serve the poor and bring in profit. Mumbai-based Ziqitza, an imbalance services company, is another. It never refuses a patient for money, and charges Rs. 50 to 200. Done fleetingly in India and elsewhere till now, entrepreneurial minds with a social conscience are methodically creating such models at a greater pace. “There has been a boom in the past two years,” says Varun Sahni, country director of Acumen Fund, a US based social fund that invests in companies that target low income communities. “Currently, there are about 1,000 in India.” The timing seems perfect. There is a wide market acceptance and funding has been coming in easily. These enterprises work across a swathe of areas including healthcare, education, rural energy, agriculture, arts and crafts, banking and more. ‘For profit’ entrepreneurs are obsessed with social and environmental impact in addition to the financial returns. Since they are answerable to the investors, they try expanding the business rapidly. SKS Microfinance, for instance, started in 1998 and has now over 900,000 customers, 440 branches and an outstanding loan disbursement of over Rs. 452 crores as of August 2007
Identify the appropriate business model of the kind of enterprise described by the author.
- A. Servicing societies at no profit
- B. Profiting from poor people
- C. Setting up enterprises for masses of low-income groups on experimental basis
- D. Setting up enterprises for social causes for profit and expand rapidly
View Solution
Which of the following companies does not illustrate the idea explained by the author?
- A. SKS Micro finance
- B. Acumen Fund
- C. Ziqitza
- D. Vaatsalya Healthcare
View Solution
According to the author, which of the following options describes ‘for profit’ entrepreneurs most appropriately?
- A. NRI’s paying back to their motherland
- B. Those affluent, middle-class professionals treating it as charity
- C. Those who work towards getting financial returns on social business by expanding quickly
- D. Those who have sympathetic investors for their business ideas for poor
View Solution
A contextual usage is provided for the word below. Pick the word that is most inappropriate.
MALINGER: The young man made it a point to malinger in spite of the assigned work load.
- A. Wander
- B. Laze
- C. Evade
- D. Argue
View Solution
The following is a scrambled sentence with the segments marked 1,2,3 and 4. Choose the alternative with the order of segments that best reconstructs the sentence.
1. For all the padre's rhetoric about the English as God's Chosen People, the padre had a whole tribe of Anglo-Indian first cousins.
2. Padre Rotton was an even more striking case.
3. By various Indian wives, all of whom were at that moment engaged in fighting on the rebel side in Avadh, where they took an active part in besieging the British Residency in Lucknow.
4. These included James Rotton who could not speak English and the twenty two Muslim sons of his convert cousin, Felix Rotton.
- A. 1, 2, 3, 4
- B. 2, 1, 4, 3
- C. 1, 4, 2, 3
- D. 2, 4, 1, 3
View Solution
Choose the sentence in which the given word is used correctly (grammatically and semantically). Word: ALMOST
- A. As I crossed the road a scooterist almost hit me.
- B. Crossing the road a scooterist hit me almost.
- C. A scooterist across the road almost hit me.
- D. A scooterist almost hit me crossing the road.
View Solution
In the following sentence choose the erroneous segment.
A. We took a taxi
B. so we would be on time for the meeting
C. ---
- A. Error in segment A
- B. Error in segment B
- C. Error in segment C
- D. No error
View Solution
Find the ODD one out from the group of words which are related in some way or the other.
- A. din
- B. cacophony
- C. racket
- D. cadence
View Solution
Fill in the blanks with the correct alternative.
Caw is to crows as ............... is to cows.
- A. bleat
- B. snort
- C. low
- D. bellow
View Solution
In 4 years, the SI on a certain sum of money is \(\tfrac{7}{25}\) of the principal. What is the annual rate of interest?
- A) 4%
- B) 4.5%
- C) 7%
- D) 9%
View Solution
Thirty days are in September, April, June and November. Some months are of thirty one days. A month is chosen at random. Then its probability of having exactly three days less than maximum of 31 is:
- A) \(\dfrac{15}{16}\)
- B) 1
- C) \(\dfrac{3}{48}\)
- D) None of these
View Solution
Two persons are climbing up on two moving escalators which have 120 steps. The ratio of 1st person’s speed to that of 1st escalator is 2:3. The ratio of 2nd person’s speed to that of 2nd escalator is 3:5. Find the total number of steps they both have taken together.
- A) 85
- B) 93
- C) 80
- D) 75
View Solution
The table below shows the noontime temperatures (in \(^\circ\)F) in a city over one week. If \(m\) is the median temperature, \(f\) is the temperature that occurs most often (mode), and \(a\) is the average (arithmetic mean) of the seven temperatures, which of the following is the correct order of \(m, f,\) and \(a\)?
View Solution
Inside a triangular park, a flower bed forms a similar triangle. Around the flower bed runs a uniform path so that the sides of the park are exactly double the corresponding sides of the flower bed. What is the ratio of the area of the path to the area of the flower bed?
View Solution
Consider the piecewise function

Evaluate \(f(-3)\).
View Solution
A special lottery is to be held to select a student who will live in the only deluxe room in a hostel. There are 100 Year-III, 150 Year-II, and 200 Year-I students who applied. Each Year-III's name is placed in the lottery 3 times; each Year-II's name, 2 times; and each Year-I's name, 1 time. What is the probability that a Year-III's name will be chosen?
- (A)\(\dfrac{1}{8}\)
- (B)\(\dfrac{2}{9}\)
- (C)\(\dfrac{2}{7}\)
- (D)\(\dfrac{3}{8}\)
View Solution
The average of nine numbers is \(M\) and the average of three of these is \(P\). If the average of the remaining numbers is \(N\), then
- A) M = N + P
- B) 2M = N + P
- C) 3M = 2N + P
- D) 3M = 2P + N
View Solution
The intersection of two cubes cannot be
- A) cube
- B) triangle
- C) rectangle
- D) none of these
View Solution
In a factory, the expected number of accidents per day is linearly related to the overtime hours \(x\). On a day with \(x=1000\) overtime hours there were \(8\) accidents; on a day with \(x=400\) hours there were \(5\) accidents. What is the expected number of accidents when no overtime is logged (\(x=0\))?
View Solution
A rainy day occurs once in every \(10\) days. Half of the rainy days produce rainbows. What percent of all days do not produce a rainbow?
View Solution
Bags I, II, and III contain at least one ball each and together have \(10\) balls. How many balls are in each bag? Decide whether the statements are sufficient.
(1) Bag I contains five balls more than Bag III.
(2) Bag II contains half as many balls as Bag I.
View Solution
Area of a square natural lake is 50 sq. kms. A diver wishing to cross the lake diagonally, will have to swim a distance of
- A) 10 miles
- B) 12 miles
- C) 15 miles
- D) None of these
View Solution
If \(n = 1 + x\), where \(x\) is the product of 4 consecutive positive integers, then which of the following is/are true?
1. \(n\) is odd
2. \(n\) is prime
3. \(n\) is a perfect square
- A) 1 and 3 only
- B) 1 and 2 only
- C) 1 only
- D) None of these
View Solution
How many arrangements can be formed out of the letters of the word EXAMINATION so that vowels always occupy odd places?
- A) 72,000
- B) 86,400
- C) 10,800
- D) 64,000
View Solution
In a school drill, a number of children are asked to stand in a circle. They are evenly spaced and the 6th child is diametrically opposite the 16th child. How many children are made to stand in the circle?
View Solution
A man purchased 40 fruits (apples and oranges) for Rs.~17. Had he purchased as many oranges as apples and as many apples as oranges (i.e., interchanged the counts), he would have paid Rs.~15. Find the cost of one pair consisting of one apple and one orange.
View Solution
The number \(311311311311311311311\) is
View Solution
A man earns 6% SI on his deposits in Bank A while he earns 8% simple interest on his deposits in Bank B. If the total interest he earns is Rs.\,1800 in three years on an investment of Rs.\,9000, what is the amount invested at 6%?
- A) 3000
- B) 6000
- C) 4000
- D) 4500
View Solution
Two identical trains A and B running in opposite directions at the same speed take 2 minutes to cross each other completely. The number of bogies of A are increased from 12 to 16. How much more time would they now require to cross each other?
- A) 40 s
- B) 50 s
- C) 60 s
- D) 20 s
View Solution
A ladder is lying against a wall which is 5 metres high. If the ladder slips 2 metres away from the wall, the top of the ladder touches the foot of the wall. The length of the ladder is
- A) 5 m
- B) 5.25 m
- C) 7.25 m
- D) 4 m
View Solution
Instructions [102 - 104 ]
The following line graph shows the ratio of the wheat production to rice production of a state in India over a period 7 years from 1999 - 2006. Answer the questions based on this data.

If the rice production in 2003 was 4 lac tons, what was its wheat production during 2003?
View Solution
In how many years was wheat production more than the rice production?
View Solution
If the total annual grain requirement (wheat + rice) of the state is 5 lac tons and the rice production during 2001 was 3 lac tons, how much grain had to be imported from other states to fulfill the requirement?
View Solution
The profits of Biscuits India Ltd soared by 32% in the year 2006–07 as compared to year 2005–06. By what % did Biscuits India’s Sales increase in 2006–07 compared to the previous year? (Assume: Profit = Sales – Expenses) Decide whether the information given in the two statements is sufficient to solve the problem.
Statement (1): Expenses in 2006–07 were Rs 1,400 crores, as compared to Rs 1,220 crores in 2005–06.
Statement (2): Sales in 2006–07 were Rs 4,300 crores.
A) Any one of the two statements (1) or (2) taken alone, is sufficient to answer the question.
B) Each of the statement (1) or (2) taken alone, is sufficient to answer the question.
C) Both statements, taken together, are sufficient to answer the question, but neither of them alone is sufficient.
D) Both the statements together are insufficient to answer the question.
View Solution
Instructions [106 - 108 ]
Use the table about the speed of a train over a 3-hour period. The time count does not begin from starting of train.

During the three-hour period shown in the table, the speed of the train increased by
A) 25%
B) 100%
C) 75%
D) 125%
View Solution
At time \(t\) (minutes) after the beginning, which formula fits the train’s speed according to the table (assume linear change over time)?
View Solution
How fast was the train travelling \(2\tfrac{1}{2}\) hours after the beginning of the time period?
- A) 50 km/h
- B) 55 km/h
- C) 60 km/h
- D) 65 km/h
View Solution
In March 2007, Computers Ltd. made a bundled offer of its laptops together with Deskjet printers to boost sales, though both were also available individually. What is the price of the printer, if purchased separately? Decide whether the information given in the two statements is sufficient to answer the question.
Statement (1): The bundled offer price was Rs 42,600.
Statement (2): The laptop, without the bundle offer, was priced at Rs 39,400.
View Solution
Instructions [110 - 113 ]
The following chart presents the data collected for an on-line job portal InfiniteJobs.com. For each Question, there are two Statements, each of which could be either True or False. Choose one of the following options as an answer:

Statement X: The percentage increase in number of Registrations from 2004 to 2005 is higher for Managerial candidates than for Technical candidates.
Statement Y: The overall Registrations have grown by more than 25%.
- A) Only [X] is True
- B) Only [Y] is True
- C) Both [X] and [Y] are True
- D) Neither [X] nor [Y] is True
View Solution
Statement X: The percentage of drop-outs (from Registration stage to posting CV’s) had decreased from 2004 to 2005 for Managerial category.
Statement Y: The percentage of drop-outs was higher for Technical than for Managerial category in 2005.
- A) Only [X] is True
- B) Only [Y] is True
- C) Both [X] and [Y] are True
- D) Neither [X] nor [Y] is True
View Solution
Statement X: The success rate of candidates getting short-listed based on CV’s is higher for Managerial category than for Technical category in 2005.
Statement Y: The success rate of candidates getting short-listed based on CV’s is better for Managerial category in 2005 than in 2004.
- A) Only [X] is True
- B) Only [Y] is True
- C) Both [X] and [Y] are True
- D) Neither [X] nor [Y] is True
View Solution
Statement X: In 2004, the number of candidates offered jobs as a proportion of the number of CV’s posted was higher for Technical than for Managerial candidates.
Statement Y: In 2004, among those short-listed by Employers, the Technical category had a higher success rate in securing jobs than the Managerial category.
- A) Only [X] is True
- B) Only [Y] is True
- C) Both [X] and [Y] are True
- D) Neither [X] nor [Y] is True
View Solution
Instructions [114 - 116 ]
The following table gives cost data of select stock prices on 3rd Dec 2003 in two markets, BSE of India and NQE of Kya Kya island. Closing stock refers to the price at the close of trading hours and opening stock to the price at the beginning of the day. The currency of Kya Kya is and the exchange rate is = Rs 11.

Which share and which market showed the highest % increase on 3rd Dec 2003?
- A) SIFY on BSE
- B) INFY on NQE
- C) WIPRO on NQE
- D) TCS on NQE
View Solution
Arbitrage means buying in one market and selling simultaneously in another market. If Mr. Ghosh Babu buys a share at the opening price on one exchange and sells it at the opening price on the other exchange, on which share does he make maximum % profit? (Exchange rate: # = Rs 11)
- A) SIFY
- B) INFY
- C) WIPRO
- D) TCS
View Solution
In an M\&A deal SIFY is purchased by its parent company SATYAM which purchases 15% of SIFY’s equity shares. Total SIFY equity shares are 1 million. How much does Satyam pay in rupees for the stake if 50% of its purchases were on BSE’s opening price and the balance on BSE’s closing price?
- A) 36 million
- B) 3.5 million
- C) 363 million
- D) 217 million
View Solution
The following pie-charts give the percentage distribution of employees in different Departments in XYZ Company Ltd. during the years 2005 and 2006. Answer the questions using this data.

If the average monthly salary of employees in Administration was Rs 12,000 in 2005, what was the approximate total salary expense of Administration in 2005?
- A) Rs. 57 lakhs
- B) Rs. 4.7 crores
- C) Rs. 66 crores
- D) Rs. 66 lakhs
View Solution
What is the percentage increase in the number of employees in Sales & Marketing from 2005 to 2006?
- A) 2%
- B) 2.34%
- C) 23.45%
- D) None of these
View Solution
In which department is the variation in strength (absolute change) the maximum in 2006 compared to 2005?
- A) A (Administration)
- B) B (Operations)
- C) D (Finance & Accounts)
- D) E (Corporate HQ)
View Solution
If 300 employees left Operations at the end of 2005, how many joined in 2006?
- A) 480
- B) 960
- C) 1360
- D) None of these
View Solution
You have three chests in front of you. The first chest is labeled “GOLD”, the second is labeled “SILVER” and the third is labeled “GOLD OR SILVER”. You have been told that all the labels are on the wrong chests and that one chest contains gold coins, one contains silver coins and one contains bronze coins. How many chests do you need to open to deduce which label goes on which chest?
- A) 0
- B) 1
- C) 2
- D) Cannot deduce
View Solution
How many minutes before 12 noon is it when it is 27 minutes past 10 am?
- A) 30
- B) 93
- C) 49
- D) 94
View Solution
Instructions [123 - 125 ]
Read the following passage and answer the questions.
An employee has been assigned the task of allotting offices to six of the staff members. The offices are numbered 1 - 6. The offices are arranged in a row and they are separated from each other by six foot high dividers. Hence voices, sounds and cigarette smoke flow easily from one office to another. Miss Ruby needs to use the telephone quite often throughout the day. Mr. Minhas and Mr. Brar need adjacent offices as they need to consult each other often while working. Miss Harsha is a senior employee and has to be allotted the office number 5, having the biggest window. Mr. Dongre requires silence in the offices next to his. Mr. Tanjore, Mr. Minhas and Mr. Dongre are all smokers. Miss Harsha finds tobacco smoke allergic and consequently the offices next to hers are to be occupied by non-smokers. Unless specifically stated all the employees maintain an atmosphere of silence during office hours.
The ideal candidate to occupy the office furthest from Mr. Brar would be
View Solution
The three employees who are smokers should be seated in the offices
View Solution
In the event of what occurrence, within a month of the assignment of the offices, would a request for a change in office be put forth by one or more employees?
View Solution
Shankar and Jwala are both members of a Youth club, though they are not speaking to each other and refuse to work with each other. Chaya, the club president, is appointing members to the fundraising committee, but she has resolved that she will not appoint anyone without his or her explicit consent. Shankar says, “I will not consent unless I know whether Jwala is to be a member.” Jwala says, “I will not consent unless I know whether Shankar is to be a member.” If all three stick to these resolutions, then:
- A) Neither of them can be appointed to the committee.
- B) They must either both be appointed or both left out.
- C) The committee may have one of them, both of them, or neither.
- D) Either one can be appointed, but not both.
View Solution
A bank customer had Rs. 100 in his account. He then made 6 withdrawals, totaling Rs. 100. He kept a record of these withdrawals, and the balance remaining in the account, as follows:

So, why are the totals not exactly right?
- A) There is a mistake in the total of withdrawals.
- B) There is a mistake in the total of the balance.
- C) The two totals need not be equal.
- D) The bank has cheated the customer.
View Solution
Which image from the bottom row should replace the question mark?

- A) 3
- B) 6
- C) 2
- D) 5
View Solution
Which pattern from the bottom line (A, B, C, D or E) is missing from the top line?

View Solution
Instructions [131 - 133 ]
During their school Silver Jubilee Reunion, four alumni were discussing their starting annual salaries back in 1981. The salaries in question were Rupees 40, 50, 60 and 70 thousand per year. Of course the present MD of a private company earned the most. Arvind earned more than Biswajeet, and the doctor earned more than Dhruv the engineer. Chinmay could not remember what he started on. Biswajeet the lawyer did not start on Rs.50,000, nor did Dhruv.
What is Chinmay's current profession?
View Solution
What was the Lawyer's starting salary?
View Solution
Who received the highest starting salary?
View Solution
A man has a job which requires him to work 8 straight days and rest on the ninth day. If he started work on a Monday, the 12th time he rests will be on what day of the week?
- A) Sunday
- B) Wednesday
- C) Tuesday
- D) Friday
View Solution
From the images below (1–7) find 3 odd ones out.

View Solution
Babloo and Bunty describe the result of a race among Snehal, Tanmay, and Waman.
Babloo: “Tanmay won; Waman was second.”
Bunty: “Snehal won; Tanmay came second.”
Each boy made exactly one true and one false statement. What was the correct finishing order (1st, 2nd, 3rd)?
View Solution
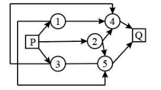
What is the number of routes from \(P\) to \(Q\) in the network shown?

- A) 5
- B) 6
- C) 9
- D) 12
View Solution
Find the circle that does not include a word using all its letters.

- A) A
- B) B
- C) C
- D) D
View Solution
Eight of the nine numbers \(2,3,4,5,7,10,11,12,13\) are to be placed in the empty cells of the \(3\times4\) array (with \(1,9,14,15\) already placed) so that the arithmetic average of the numbers in each row and each column is the same integer. Which one number must be left out?

- A) 4
- B) 10
- C) 15
- D) 7
View Solution
What number will replace the question mark?

View Solution
Where should the letter 'W' be placed?

View Solution
At a family reunion were the following people: one grandfather, one grandmother, two fathers, two mothers, four children, three grandchildren, one brother, two sisters, two sons, two daughters, one father-in-law, one mother-in-law, and one daughter-in-law. But not as many people attended as it sounds. How many people were there?
View Solution
On the counter are six squares marked 1, 2, 3, 4, 5, 6. Players are invited to place as much money as they wish on any one square. Three dice are then thrown.
1 If your number appears on one die only, you get your money back plus the same amount. 1 If two dice show your number, you get your money back plus twice the amount you placed on the square. 1 If your number appears on all three dice, you get your money back plus three times the amount. 1 If the number is not on any of the dice, the operator gets your money. For example, suppose that you bet one Rupee on square No. 6. If one die shows a 6, you get your Rupee back plus another Rupee. If two dice show 6, you get back your Rupee plus two Rupees. If three dice show 6, you get your Rupee back plus three Rupees. From a player’s point of view, the chance of his number showing on one die is 1/6, but since there are three dice, the chances must be 3/6 or 1/2, therefore the game is a fair one. Of course this is the way the operator of the game wants everyone to reason, for it is quite fallacious. What is the probable story?
View Solution
Jaideep was given some money by his mother on his birthday. Jaideep spent all of it in five stores. In each store he spent one rupee more than half of what he had when he came in. How much did he get from his mother?
View Solution
Consider the following two statements to be true if they seem to be at variance from commonly known facts. Then decide which of the given conclusions logically follows from two given statements. Select the correct alternative.
Statements:
All Lawyers are extrovert. Some wise men are extrovert.
Conclusions:
View Solution
Instructions [146 - 148 ]
Use the data given below to answer the questions. The following are the results of a survey conducted on a small cross-section of students from Symbiosis Group of institutes, to determine the readership of three magazines. This survey was conducted in Dec. 2006.
- Number of students who read only Business India was 40
- 60 students read only Outlook
- 110 students read only India Today
- 30 students read all three magazines
- 20 read Business India and India Today, but not Outlook
- 50 read Business India and Outlook, but not India Today
- 40 read Outlook and India Today, but not Business India
What was the total number of students surveyed?
- A) 210
- B) 350
- C) 390
- D) None of these
View Solution
How many students did not read Business India?
- A) 40
- B) 170
- C) 240
- D) None of these
View Solution
In May 2007, with the same students: all read India Today, 120 read Outlook, and none read Business India. How many students read only India Today?
- A) 60
- B) 110
- C) 230
- D) None of these
View Solution
An ingredient in coffee, known as RTC, has been found to inactivate common cold viruses in experiments. In previous experiments, researchers found that inactivated common cold viruses can convert healthy cells into cancer cells. It can be concluded that the use of coffee can cause cancer. Which one of the following, if true, most seriously weakens the argument?
- A) Several teams of scientists performed the various experiments, and all of the teams had similar results.
- B) The carcinogenic effect of RTC could be neutralized by the other ingredients found in coffee
- C) When RTC kills common cold viruses it weakens the immune system, and it might thus diminish the body’s ability to fight other viruses, including viruses linked to cancers.
- D) If chemists modify the structure of RTC, RTC can be safely incorporated into medications to prevent the common cold.
View Solution
A census taker approaches a house and asks the woman, “How many children do you have, and what are their ages?” Woman: “I have three children, the product of their ages is 36, the sum of their ages is equal to the address of the house next door.” The census taker checks, then says, “I need more information.” Woman: “My oldest child is sleeping upstairs.” What are the ages of the three children?
- A) 9, 2, 2
- B) 6, 6, 1
- C) 12, 3, 1
- D) 6, 3, 2
View Solution






Comments