AILET 2017 PhD Question paper with answer key pdf conducted on May 7, 2017 in Afternoon Session (3 PM to 4:30 PM) is available for download. The exam was successfully organized by Delhi National Law University. The question paper comprised a total of 100 questions.
AILET 2017 PhD Question Paper with Answer Key PDFs Afternoon Session
| AILET 2017 PhD Question Paper PDF | AILET 2017 PhD Answer Key PDF |
|---|---|
| Download PDF | Available Soon |



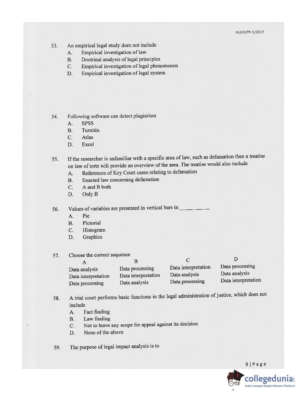
Comments