IIT JAM 2023 Mathematics (MA) Question Paper with Answer Key pdf is available for download. IIT JAM 2023 MA exam was conducted by IIT Guwahati in shift 1 on February 12, 2023. In terms of difficulty level, IIT JAM 2023 Mathematics (MA) paper was of easy to moderate level. IIT JAM 2023 question paper for MA comprised a total of 60 questions.
IIT JAM 2023 Mathematics (MA) Question Paper with Answer Key PDFs
| IIT JAM 2023 Mathematics (MA) Question Paper with Answer Key PDFs | Download PDF | Check Solutions |
Let \( G \) be a finite group. Then \( G \) is necessarily a cyclic group if the order of \( G \) is
Let \( v_1, \ldots, v_9 \) be the column vectors of a non-zero \(9 \times 9\) real matrix \( A \). Let \( a_1, \ldots, a_9 \in \mathbb{R} \), not all zero, such that \( \sum_{i=1}^{9} a_i v_i = 0 \). Then the system \( A x = \sum_{i=1}^{9} v_i \) has
Which of the following is a subspace of the real vector space \( \mathbb{R}^3 \)?
Consider the initial value problem \( \frac{dy}{dx} + \alpha y = 0, \; y(0) = 1 \), where \( \alpha \in \mathbb{R} \). Then
Let \( p(x) = x^{57} + 3x^{10} - 21x^3 + x^2 + 21 \) and \( q(x) = p(x) + \sum_{j=1}^{57} p^{(j)}(x) \), where \( p^{(j)}(x) \) is the \( j^{th} \) derivative of \( p(x) \). Then the function \( q(x) \) admits
Evaluate the limit \[ \lim_{a \to 0} ( \frac{\int_0^a \sin(x^2) \, dx}{\int_0^a (\ln(x+1))^2 \, dx }) \]
The value of \[ \int_0^1 \int_0^{1-x} \cos(x^3 + y^2) \, dy \, dx - \int_0^1 \int_0^{1-y} \cos(x^3 + y^2) \, dx \, dy \]
is
Let \( f : \mathbb{R}^2 \to \mathbb{R}^2 \) be defined by \( f(x, y) = (e^x \cos y, e^x \sin y) \). Then the number of points in \( \mathbb{R}^2 \) that do NOT lie in the range of \( f \) is
Let \( a_n = \left(1 + \frac{1}{n}\right)^n \) and \( b_n = n \cos\left(\frac{n!\pi}{2^{10}}\right) \) for \( n \in \mathbb{N} \). Then
Let \( (a_n) \) be a sequence defined by

and let \( b_n = \frac{a_n}{n} \). Then
Let \( a_n = \sin\left(\frac{1}{n^3}\right) \) and \( b_n = \sin\left(\frac{1}{n}\right) \) for \( n \in \mathbb{N} \). Then
Consider the following statements:
I. There exists a linear transformation from \( \mathbb{R}^3 \) to itself such that its range space and null space are the same.
II. There exists a linear transformation from \( \mathbb{R}^2 \) to itself such that its range space and null space are the same.
Then
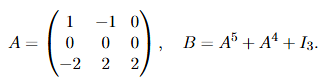
Let 
Which of the following is NOT an eigenvalue of \( B \)?
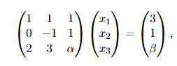
The system of linear equations in \( x_1, x_2, x_3 \)

where \( \alpha, \beta \in \mathbb{R} \), has:
Let \( S \) and \( T \) be non-empty subsets of \( \mathbb{R}^2 \), and \( W \) be a non-zero proper subspace of \( \mathbb{R}^2 \). Consider the following statements:
I. If \( span(S) = \mathbb{R}^2 \), then \( span(S \cap W) = W \).
II. \( span(S \cup T) = span(S) \cup span(T) \).
Then
Let \( f(x, y) = e^{x^2 + y^2} \) for \( (x, y) \in \mathbb{R}^2 \), and \( a_n \) be the determinant of the matrix

evaluated at \( (\cos n, \sin n) \). Then the limit \( \lim_{n \to \infty} a_n \) is
Let \( f(x, y) = \ln(1 + x^2 + y^2) \). Define
\[ P = \frac{\partial^2 f}{\partial x^2}\Big|_{(0,0)}, \quad Q = \frac{\partial^2 f}{\partial x \partial y}\Big|_{(0,0)}, \quad R = \frac{\partial^2 f}{\partial y \partial x}\Big|_{(0,0)}, \quad S = \frac{\partial^2 f}{\partial y^2}\Big|_{(0,0)}. \]
Then
The area of the curved surface \( S = \{(x, y, z) \in \mathbb{R}^3 : z^2 = (x - 1)^2 + (y - 2)^2\} \) lying between \( z = 2 \) and \( z = 3 \) is
Let \( a_n = \frac{1 + 2^{-2} + \cdots + n^{-2}}{n} \) for \( n \in \mathbb{N} \). Then
Let \( (a_n) \) be a sequence of real numbers such that the series \( \sum_{n=0}^{\infty} a_n(x - 2)^n \) converges at \( x = -5 \). Then this series also converges at
Let \( (a_n) \) and \( (b_n) \) be sequences of real numbers such that \( |a_n - a_{n+1}| = \frac{1}{2^n} \) and \( |b_n - b_{n+1}| = \frac{1}{\sqrt{n}} \) for \( n \in \mathbb{N} \). Then
Consider the family of curves \( x^2 + y^2 = 2x + 4y + k \) with real parameter \( k > -5 \). Then the orthogonal trajectory to this family passing through (2, 3) also passes through
Consider the following statements:
I. Every infinite group has infinitely many subgroups.
II. There are only finitely many non-isomorphic groups of a given finite order.
Then
Suppose \( f : (-1, 1) \to \mathbb{R} \) is an infinitely differentiable function such that \[ \sum_{j=0}^{\infty} a_j \frac{x^j}{j!} = f(x), \]
where \[ a_j = \int_0^{\pi/2} \theta^j \cos^j(\tan \theta) d\theta + \int_{\pi/2}^{\pi} (\theta - \pi)^j \cos^j(\tan \theta)d\theta. \]
Then
Let \( f(x) = \cos x \) and \( g(x) = 1 - \frac{x^2}{2} \) for \( x \in \left( -\frac{\pi}{2}, \frac{\pi}{2} \right) \). Then
Let \[ f(x,y) = \iint_{(u-x)^2+(v-y)^2 \le 1} e^{-\sqrt{(u-x)^2+(v-y)^2}} du\, dv. \]
Then \( \lim_{n \to \infty} f(n, n^2) \) is
How many group homomorphisms are there from \( \mathbb{Z}_2 \) to \( S_5 \)?
Let \( y:\mathbb{R}\to\mathbb{R} \) be twice differentiable such that \( y(0)=y(1)=0 \) and \( y''(x)+x^2<0 \) on \([0,1]\). Then
From the additive group \( \mathbb{Q} \), to which of the following groups does there exist a non-trivial group homomorphism?
Let \( f:\mathbb{R}\to\mathbb{R} \) be infinitely differentiable such that \( f'' \) has exactly two distinct zeros. Then
For each \( t \in (0,1) \), the surface \( P_t \subset \mathbb{R}^3 \) is defined by \( P_t = \{(x,y,z) : (x^2 + y^2)z = 1, \, t^2 \le x^2 + y^2 \le 1 \}. \) Let \( a_t \in \mathbb{R} \) be the surface area of \( P_t \). Then
Let \( A \subseteq \mathbb{Z} \) with \( 0 \in A \). For \( r, s \in \mathbb{Z} \), define \( rA = \{ra : a \in A\} \) and \( rA + sA = \{ra + sb : a, b \in A\}. \) Which of the following conditions imply that \( A \) is a subgroup of the additive group \( \mathbb{Z} \)?
Let \( y:(\sqrt{2/3}, \infty) \to \mathbb{R} \) be the solution of \( (2x - y)y' + (2y - x) = 0 \), with \( y(1) = 3 \). Then
Let \( f:(-1,1) \to \mathbb{R} \) be differentiable with \( f(0) = 0 \), and suppose \( |f'(x)| \le M|x| \) for all \( x \in (-1,1) \). Then
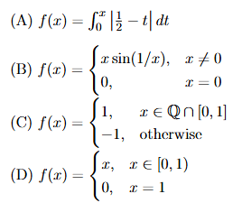
Which of the following functions is/are Riemann integrable on \([0,1]\)?
A subset \( S \subseteq \mathbb{R}^2 \) is said to be bounded if there exists \( M > 0 \) such that \( |x| \le M \) and \( |y| \le M \) for all \( (x, y) \in S \). Which of the following subsets of \( \mathbb{R}^2 \) is/are bounded?
Which of the following statements are true about linear transformations \( T:\mathbb{R}^2 \to \mathbb{R}^2 \)?
Which of the following mappings are linear transformations?
Let \( R_1 \) and \( R_2 \) be the radii of convergence of the series \[ \sum_{n=1}^{\infty} (-1)^n \frac{x^{n+1}}{n(n+1)} \quad and \quad \sum_{n=1}^{\infty} (-1)^n x^{n-1}, \]
respectively. Then
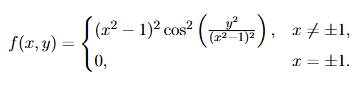
Let \( f:\mathbb{R}^2 \to \mathbb{R} \) be defined as follows:

The number of points of discontinuity of \( f(x, y) \) is equal to _________.
Let \( T : P_2(\mathbb{R}) \to P_4(\mathbb{R}) \) be a linear transformation defined by \( T(p(x)) = p(x^2) \). Find the rank of \( T \).
If \( y \) is the solution of the differential equation \( y'' - 2y' + y = e^x \) with \( y(0)=0 \) and \( y'(0)=-\tfrac{1}{2} \), then \( y(1) \) is equal to ______ (rounded to two decimal places).
The value of \[ \lim_{n \to \infty} \left( n \int_0^1 \frac{x^n}{x+1} \, dx \right) \]
is equal to _______ (rounded to two decimal places).
For \( \sigma \in S_8 \), let \( o(\sigma) \) denote the order of \( \sigma \). Then \( \max\{o(\sigma) : \sigma \in S_8\} \) is equal to ______.
For \( g \in \mathbb{Z} \), let \( \bar{g} \in \mathbb{Z}_8 \) denote the residue class of \( g \) modulo 8.
Consider the group \( \mathbb{Z}_8^{\times} = \{\bar{x} \in \mathbb{Z}_8 : 1 \le x \le 7, \gcd(x,8)=1\} \) under multiplication mod 8.
The number of group isomorphisms from \( \mathbb{Z}_8^{\times} \) onto itself is equal to ____.
Let \( f(x) = \sqrt[3]{x} \) for \( x \in (0, \infty) \), and \( \theta(h) \) be defined by \[ f(3 + h) - f(3) = h f'(3 + \theta(h)h), \quad for all h \in (-1,1). \]
Then \( \lim_{h \to 0} \theta(h) = \_\_\_\_\_ \) (rounded off to two decimal places).
Let \( V \) be the volume of the region \( S \subseteq \mathbb{R}^3 \) defined by \[ S = \{(x,y,z) \in \mathbb{R}^3 : xy \le z \le 4, \; 0 \le x^2 + y^2 \le 1 \}. \]
Then \( \dfrac{V}{\pi} = \_\_\_\_\_ \) (rounded off to two decimal places).
The sum of the series \( \sum_{n=1}^{\infty} \dfrac{2n+1}{(n^2+1)(n^2+2n+2)} \) is equal to _____ (rounded off to two decimal places).
Evaluate \[ \lim_{n \to \infty} \left( 1 + \frac{1}{2^n} + \frac{1}{3^n} + \cdots + \frac{1}{(2023)^n} \right)^{1/n}. \]
(Rounded off to two decimal places.)
View Solution
Step 1: Dominant term analysis.
Inside the parentheses, the largest term is \( 1 \), all others decay exponentially fast as \( n \to \infty. \)
Thus, \[ \lim_{n \to \infty} \left(1 + tiny terms\right)^{1/n} \to 1. \]
Step 2: Logarithmic check. \[ \ln L = \lim_{n\to\infty} \frac{1}{n}\ln\left(1 + \sum_{k=2}^{2023}\frac{1}{k^n}\right) \approx \frac{1}{n}\sum_{k=2}^{2023}\frac{1}{k^n} \to 0. \]
Hence \( L = e^0 = 1. \)
Concept Recap:
When a sequence involves powers tending to zero, the largest term dictates the limiting behavior. Quick Tip: In exponential limits of sums, only the maximal term contributes asymptotically — smaller terms vanish exponentially.
Let \( f : \mathbb{R}^3 \to \mathbb{R} \) be defined as \( f(x, y, z) = x^3 + y^3 + z^3 \), and let \( L : \mathbb{R}^3 \to \mathbb{R} \) be the linear map satisfying \[ \lim_{(x,y,z)\to(0,0,0)} \frac{f(1+x,1+y,1+z) - f(1,1,1) - L(x,y,z)}{\sqrt{x^2 + y^2 + z^2}} = 0. \]
Then \( L(1,2,4) \) is equal to _____. (rounded off to two decimal places.)
The global minimum value of \( f(x) = |x - 1| + |x - 2|^2 \) on \( \mathbb{R} \) is equal to _____. (rounded off to two decimal places.)
Let \( y : (1, \infty) \to \mathbb{R} \) satisfy \( y'' - \dfrac{2y}{(1-x)^2} = 0 \), with \( y(2) = 1 \) and \( \lim_{x \to \infty} y(x) = 0. \) Find \( y(3) \) (rounded to two decimal places).
The number of permutations in \( S_4 \) having exactly two cycles in their cycle decomposition is equal to _____.
Let \( S \) be the triangular region with vertices \( (0,0) \), \( \left(0,\frac{\pi}{2}\right) \), \( \left(\frac{\pi}{2},0\right) \).
Then the value of \( \displaystyle \iint_S \sin(x)\cos(y) \, dx \, dy \) is equal to _____. (rounded to two decimal places.)
Let 
and let \( B \) be a \( 5 \times 5 \) real matrix such that \( AB = 0 \). Then the maximum possible rank of \( B \) is equal to _____.
Let \( W \subseteq M_3(\mathbb{R}) \) consist of all matrices where each row and each column sums to zero. Then the dimension of \( W \) is equal to _____.
The maximum number of linearly independent eigenvectors of

is equal to _____.
Let \( S \) be the set of all real numbers \( \alpha \) such that the solution of \( \dfrac{dy}{dx} = y(2 - y) \), \( y(0) = \alpha \) exists on \([0, \infty)\). Find the minimum of \( S \).
Let \( f:\mathbb{R}\to\mathbb{R} \) be bijective with \[ f(x) = \sum_{n=1}^\infty a_n x^n, \quad f^{-1}(x) = \sum_{n=1}^\infty b_n x^n, \]
and \( f^{-1} \) is the inverse of \( f \). If \( a_1 = 2, a_2 = 4 \), find \( b_1 \).
IIT JAM Previous Year Question Papers
| IIT JAM 2023 Question Papers | IIT JAM 2022 Question Papers | IIT JAM 2021 Question Papers |
| IIT JAM 2020 Question Papers | IIT JAM 2019 Question Papers | IIT JAM 2018 Question Papers |





Comments