IIT JAM 2023 Chemistry (CY) Question Paper with Answer Key pdf is available for download. IIT JAM 2023 CY exam was conducted by IIT Guwahati in shift 1 on February 12, 2023. In terms of difficulty level, IIT JAM 2023 Chemistry (CY) paper was of moderate level. IIT JAM 2023 question paper for CY comprised a total of 60 questions.
IIT JAM 2023 Chemistry (CY) Question Paper with Answer Key PDFs
| IIT JAM 2023 Chemistry (CY) Question Paper with Answer Key PDFs | Download PDF | Check Solutions |
The structure of \( Q \) in the following reaction scheme is


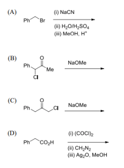
The major product of the reaction is

The rate of addition of 1-hexyl radical to the given molecules follows the order:

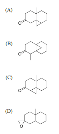
The major product of the reaction is


The diagram that best describes the variation of viscosity (\(\eta\)) of water with temperature at 1 atm is

The SI unit of the molar conductivity of an electrolyte solution is
The system with the lowest zero-point energy when it is confined to a one-dimensional box of length \( L \) is
The metal ion present in human carbonic anhydrase is
The oxoacid of sulfur that has \( S - O - S \) bond is
An alkaline (NaOH) solution of a compound produces a yellow colored solution on addition of NaBO₃. The compound is
The major product of the reaction is

Adsorption of a gas on a solid surface follows the Langmuir isotherm. If \(k_a/k_d = 1.0 \, bar^{-1}\), the fraction of adsorption sites occupied by the gas at equilibrium under 2.0 bar of pressure of the gas at 25°C is
The vapor pressure of a dilute solution of a non-volatile solute and the vapor pressure of the pure solvent at the same temperature are \(P\) and \(P^*\), respectively. The fraction \(\frac{P^* - P}{P^*}\) is equal to
The volume of water (in mL) required to be added to a 100 mL solution (aq. 0.1 M) of a weak acid (HA) at 25°C to double its degree of dissociation is [Given: \(K_a\) of HA at 25°C = \(1.8 \times 10^{-5}\)]
The following diagram is obtained in a pH-metric titration of a weak dibasic acid (H₂A) with a strong base. The point that best represents [HA⁻] = [A²⁻] is

Equal number of gas molecules A (mass \(m\) and radius \(r\)) and B (mass \(2m\) and radius \(2r\)) are placed in two separate containers of equal volume. At a given temperature, the ratio of the collision frequency of B to that of A is \[ (Assume the gas molecules as hard spheres) \]
For the given elementary reactions, the steady-state concentration of X is
The separation (in nm) of 134 planes of an orthorhombic unit cell (with cell parameters \(a = 0.5 \, nm, b = 0.6 \, nm, c = 0.8 \, nm\)) is
The transition metal (M) complex that can have all isomers (geometric, linkage, and ionization) is
The geometry of [VO(acac)₂] is
The products X and Y in the following reaction sequence, respectively, are \[ BCI_3 \xrightarrow{NH_4Cl in C_6H_6} X \quad \xrightarrow{NaBH_4} Y \]
The correct order of the energy of the \(d\) orbitals of a square planar complex is
X and Y in the following reactions, respectively, are \[ EtOH + 2H_2SO_4 \xrightarrow{} X + H^+ + HSO_4^- \quad HNO_3 + 2H_2SO_4 \xrightarrow{} Y + H^+ + 2HSO_4^- \]
The correct order of energy levels of the molecular orbitals of N₂ is
Free heme in aqueous solution when exposed to dioxygen is finally converted to
(circle around iron in the given choices represents the protoporphyrin IX)

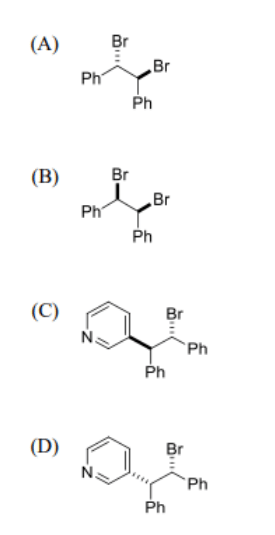
Correct statement(s) about Q and R is/are:

The correct statement(s) is/are:
The reaction(s) that yield(s) Ph-CH\(_2\)-CH\(_2\)-CO\(_2\)Me as the major product is/are:

The correct option(s) of the reagents required for the following reaction is/are:

The correct relation(s) for an ideal gas in a closed system is/are:
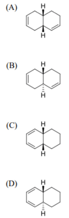
The molecule(s) that follow(s) \( I_a < I_b = I_c \) (where \( I_a, I_b, \) and \( I_c \) are the principal moments of inertia) is/are:
The role(s) of fluorspar in the electrolytic reduction of Al\(_2\)O\(_3\) is/are to:
The correct statement(s) about the complexes I (K\(_3\)[CoF\(_6\)]) and II (K\(_3\)[RhF\(_6\)]) is/are:
The diatomic molecule(s) that has/have bond order of one is/are:
The molecular weight of the major product of the reaction is ____ (in integer).

A 0.06 g/mL solution of (S)-1-phenylethanol placed in a 5 cm long polarimeter tube shows an optical rotation of 1.2°. The specific rotation is ____°. (round off to the nearest integer)
The isoelectric point of glutamic acid is ____ (round off to two decimal places).

Consider the following reaction: \[ 2 C_6H_6 + 15 O_2 \rightarrow 12 CO_2 + 6 H_2O \quad \Delta H_{298}^\circ = -3120 \, kJ/mol. \]
A closed system initially contains 5 moles of benzene and 25 moles of oxygen under standard conditions at 298 K. The reaction was stopped when 17.5 moles of oxygen is left. The amount of heat evolved during the reaction is ____ kJ. (round off to the nearest integer)
For the elementary reaction \( C \xrightarrow{k_1} A \xrightarrow{k_2} B \), \( k_1 = 2k_2 \). At time \( t = 0 \), [A] = \( A_0 \) and [B] = 0. At a later time \( t \), the value of [B]/[C] is ____ (round off to the nearest integer)
The highest possible energy of a photon in the emission spectrum of hydrogen atom is ____ eV.
[Given: Rydberg constant = 13.61 eV] (round off to two decimal places)
The standard reduction potential (\( E^\circ \)) of Fe\(^{3+}\) → Fe is ____ V.
[Given: Fe\(^{3+}\) → Fe\(^{2+}\), \( E^\circ = 0.77 \, V \) and Fe\(^{2+}\) → Fe, \( E^\circ = -0.44 \, V \)] (round off to three decimal places)
The number of valence electrons in Na\(_2\)[Fe(CO)\(_4\)] (the Colman’s reagent) is ____.
In the Born-Haber cycle, the heat of formation of CuCl is ____ kJ/mol.
[Given: Heat of atomization of Cu = +338 kJ/mol, Ionization energy of Cu = +746 kJ/mol, Heat of atomization of Cl = +121 kJ/mol, Electron affinity of Cl = -349 kJ/mol, Lattice energy of CuCl = -973 kJ/mol] (round off to the nearest integer)
The spin-only magnetic moment of B\(_2\) molecule is ____ \(\mu_B\). (round off to two decimal places)
The sum of the total number of stereoisomers (including enantiomers) present in the following molecules is ____ :

The number of singlets observed in the \(^1H\) NMR spectrum of P is ____ :

When a glass capillary tube is dipped in water, a 1.0 cm rise in the water level is observed at 18°C. The internal radius of the capillary is ____ cm.
[Given: Surface tension of water at 18°C = 73.2 dyne cm\(^{-1}\); difference in the densities of water and air at 18°C = 0.996 g cm\(^{-3}\); gravitational acceleration constant, g = 980 cm s\(^{-2}\).]
The volume of 2.0 mol of an ideal gas is reduced to half isothermally at 300 K in a closed system. The value of \(\Delta G\) is ____ kJ.
[Given: \(R = 8.314 \, J mol^{-1} K^{-1}\)]
The harmonic vibrational frequency of a diatomic molecule is 2000 cm\(^{-1}\). Its zero-point energy is ____ eV.
[Given: Planck’s constant = \(6.62 \times 10^{-34}\) J s; 1 eV = \(1.6 \times 10^{-19}\) J]
An elementary reaction \( 2A \rightarrow P \) follows a second-order rate law with rate constant \( 2.5 \times 10^{-3} \, dm^3 mol^{-1} s^{-1} \). The time required for the concentration of A to change from 0.4 mol dm\(^{-3}\) to 0.2 mol dm\(^{-3}\) is ____ s.
(round off to the nearest integer)
The following diagram shows the kinetic energy of the ejected photoelectrons against the energy of incident radiation for two metal surfaces M1 and M2. If the energy of the incident radiation on M1 is equal to the work function of M2, the de Broglie wavelength of the ejected photoelectron is ____ nm.

The spin-only magnetic moment of [Fe(acac)\(_3\)] is ____ \(\mu_B\).
(round off to two decimal places)
The amount of ethane produced in the following reaction is ____ kg.
C\(_2\)H\(_4\) (2 kg) + H\(_2\) (2 kg) \(\xrightarrow{Wilkinson’s Catalyst}\) C\(_2\)H\(_6\) (90% catalytic conversion)
In a gravimetric estimation of Al, a sample of 0.1000 g AlCl\(_3\) is precipitated with 8-hydroxyquinoline. The weight of the precipitate is ____ g.
[Given: atomic weight of Al = 26.98; molecular weight of AlCl\(_3\) = 133.34; and molecular weight of 8-hydroxyquinoline = 145.16]
IIT JAM Previous Year Question Papers
| IIT JAM 2023 Question Papers | IIT JAM 2022 Question Papers | IIT JAM 2021 Question Papers |
| IIT JAM 2020 Question Papers | IIT JAM 2019 Question Papers | IIT JAM 2018 Question Papers |














Comments