IIT JAM 2022 Mathematics (MA) Question Paper with Answer Key pdf is available for download. The exam was conducted by IIT Roorkee on February 13, 2022. In terms of difficulty level, IIT JAM Mathematics (MA) was of Moderate to High level. The question paper comprised a total of 60 questions.
IIT JAM 2022 Mathematics (MA) Question Paper with Answer Key PDFs
| IIT JAM 2022 Mathematics (MA) Question Paper with Answer Key pdf | Download PDF | Check Solutions |
Consider the 2\(\times\) 2 matrix
\(\in\) \(M_2(\mathbb{R}\)). If the eighth power of M satisfies \(M^8\)
, then the value of x is.
The rank of the 4 \(\times\) 6 matrix A =
with entries in \(\mathbb{R}\), is.
Let \( V \) be the real vector space consisting of all polynomials in one variable with real coefficients and having degree at most 6, together with the zero polynomial. Then which one of the following is true?
Let \( G \) be a group of order 2022. Let \( H \) and \( K \) be subgroups of \( G \) of order 337 and 674, respectively. If \( H \cup K \) is also a subgroup of \( G \), then which one of the following is FALSE?
The radius of convergence of the power series \[ \sum_{n=1}^{\infty} \left( \frac{n^3}{4^n} \right) x^{5n} is. \]
Let \( (x_n) \) and \( (y_n) \) be sequences of real numbers defined by \[ x_1 = 1, \quad y_1 = \frac{1}{2}, \quad x_{n+1} = \frac{x_n + y_n}{2}, \quad and \quad y_{n+1} = \sqrt{x_n y_n} \quad for all \ n \in \mathbb{N}. \]
Then which one of the following is true?
Suppose \[ a_n = \frac{3n + 3}{5n - 5} \quad and \quad b_n = \frac{1}{(1 + n^2)^{3/4}} \quad for \ n = 2, 3, 4, \dots \]
Then which one of the following is true?
Consider the series \[ \sum_{n=1}^{\infty} \frac{1}{n^m \left( 1 + \frac{1}{n^p} \right)}, \]
where \( m \) and \( p \) are real numbers.
Under which of the following conditions does the above series converge?
Let \( c \) be a positive real number and let \( u: \mathbb{R}^2 \to \mathbb{R} \) be defined by \[ u(x,t) = \frac{1}{2c} \int_{x-ct}^{x+ct} e^{s^2} \, ds \quad for \ (x,t) \in \mathbb{R}^2. \]
Then which one of the following is true?
Let \( \theta \in \left( \frac{\pi}{4}, \frac{\pi}{2} \right) \). Consider the functions \[ u: \mathbb{R}^2 - \{(0,0)\} \to \mathbb{R} \quad and \quad v: \mathbb{R}^2 - \{(0,0)\} \to \mathbb{R} \]
given by \[ u(x,y) = x - \frac{x}{x^2 + y^2} \quad and \quad v(x,y) = y + \frac{y}{x^2 + y^2}. \]
The value of the determinant

at the point \( (\cos \theta, \sin \theta) \) is equal to:
Consider the open rectangle \( G = \{ (s,t) \in \mathbb{R}^2 : 0 < s < 1 and 0 < t < 1 \} \) and the map \( T: G \to \mathbb{R}^2 \) given by \[ T(s,t) = \left( \frac{\pi s(1 - t)}{2}, \frac{\pi (1 - s)}{2} \right) \quad for \ (s,t) \in G. \]
Then the area of the image \( T(G) \) of the map \( T \) is equal to:
Let \( T \) denote the sum of the convergent series \[ 1 - \frac{1}{2} + \frac{1}{3} - \frac{1}{4} + \frac{1}{5} - \frac{1}{6} + \dots + \frac{(-1)^{n+1}}{n} + \dots \]
and let \( S \) denote the sum of the convergent series \[ 1 - \frac{1}{2} + \frac{1}{4} - \frac{1}{6} + \frac{1}{8} - \frac{1}{10} + \dots = \sum_{n=1}^{\infty} a_n, \]
where \[ a_{3m-2} = \frac{1}{2m-1}, \quad a_{3m-1} = \frac{-1}{4m-2}, \quad a_{3m} = \frac{-1}{4m} \quad for \ m \in \mathbb{N}. \]
Then which one of the following is true?
Let \( u: \mathbb{R} \to \mathbb{R} \) be a twice continuously differentiable function such that \( u(0) > 0 \) and \( u'(0) > 0 \). Suppose \( u \) satisfies \[ u''(x) = \frac{u(x)}{1 + x^2} \quad for all \ x \in \mathbb{R}. \]
Consider the following two statements:
(B) The function \( u \) is monotonically increasing on \( [0, \infty) \).
Then which one of the following is correct?
The value of \[ \lim_{n \to \infty} \sum_{k=2}^{n} \frac{\sqrt{n + 1} - \sqrt{n}}{k (\ln k)^2} \]
is equal to:
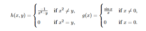
For \( t \in \mathbb{R} \), let \( \lfloor t \rfloor \) denote the greatest integer less than or equal to \( t \). Define functions \( h: \mathbb{R}^2 \to \mathbb{R} \) and \( g: \mathbb{R} \to \mathbb{R} \) by

Then which one of the following is FALSE?
Let \( P \in M_4(\mathbb{R}) \) be such that \( P^4 \) is the zero matrix, but \( P^3 \) is a nonzero matrix. Then which one of the following is FALSE?
For \( X, Y \in M_2(\mathbb{R}) \), define \( (X, Y) = XY - YX \). Let \( 0 \in M_2(\mathbb{R}) \) denote the zero matrix. Consider the two statements: \[ P : \quad (X, (Y, Z)) + (Y, (Z, X)) + (Z, (X, Y)) = 0 \quad for all \ X, Y, Z \in M_2(\mathbb{R}), \] \[ Q : \quad (X, (Y, Z)) = ((X, Y), Z) \quad for all \ X, Y, Z \in M_2(\mathbb{R}). \]
Then which one of the following is correct?
Consider the system of linear equations \[ x + y + t = 4, \] \[ 2x - 4t = 7, \] \[ x + y + z = 5, \] \[ x - 3y - z - 10t = \lambda, \]
where \( x, y, z, t \) are variables and \( \lambda \) is a constant. Then which one of the following is true?
Consider the group \( (\mathbb{Q}, +) \) and its subgroup \( (\mathbb{Z}, +) \). For the quotient group \( \mathbb{Q}/\mathbb{Z} \), which one of the following is FALSE?
For \( P \in M_5(\mathbb{R}) \) and \( i, j \in \{1, 2, \dots, 5\} \), let \( p_{ij} \) denote the \( (i,j) \)-th entry of \( P \). Let \[ S = \{ P \in M_5(\mathbb{R}) : p_{ij} = p_{rs} \ for \ i, j, r, s \in \{ 1, 2, \dots, 5\} with \ i + r = j + s \}. \]
Then which one of the following is FALSE?
On the open interval \((-c, c)\), where \(c\) is a positive real number, \(y(x)\) is an infinitely differentiable solution of the differential equation \[ \frac{dy}{dx} = y^2 - 1 + \cos x, \]
with the initial condition \(y(0) = 0\). Then which one of the following is correct?
Let \(H : \mathbb{R} \to \mathbb{R}\) be the function given by \(H(x) = \frac{1}{2} \left(e^x + e^{-x}\right)\) for \(x \in \mathbb{R}\).
Let \(f : \mathbb{R} \to \mathbb{R}\) be defined by \[ f(x) = \int_0^{\pi} H(x \sin \theta) d\theta \quad for \quad x \in \mathbb{R}. \]
Then which one of the following is true?
Consider the differential equation \[ y'' + a y' + y = \sin x \quad for \quad x \in \mathbb{R}. \]
Then which one of the following is true?
For \(g \in \mathbb{Z}\), let \(\bar{g} \in \mathbb{Z}_{37}\) denote the residue class of \(g\) modulo 37. Consider the group \(U_{37} = \left\{g \in \mathbb{Z}_{37} : 1 \leq g \leq 37 and \gcd(g, 37) = 1\right\}\) with respect to multiplication modulo 37. Then which one of the following is FALSE?
For some real number \(c\) with \(0 < c < 1\), let \(\varphi : (1 - c, 1 + c) \to (0, \infty)\) be a differentiable function such that \(\varphi(1) = 1\) and \(y = \varphi(x)\) is a solution of the differential equation \[ (x^2 + y^2) dx - 4xy \, dy = 0. \]
Then which one of the following is true?
For a \(4 \times 4\) matrix \(M \in M_4(\mathbb{C})\), let \(\overline{M}\) denote the matrix obtained from \(M\) by replacing each entry of \(M\) by its complex conjugate. Consider the real vector space \[ H = \{ M \in M_4(\mathbb{C}) : M^T = \overline{M} \}, \]
where \(M^T\) denotes the transpose of \(M\). The dimension of \(H\) as a vector space over \(\mathbb{R}\) is equal to
Let \(a, b\) be positive real numbers such that \(a < b\). Given that \[ \lim_{N \to \infty} \int_0^N e^{-t^2} dt = \frac{\sqrt{\pi}}{2}, \]
the value of \[ \lim_{N \to \infty} \int_0^N \frac{1}{t^2} \left( e^{-at^2} - e^{-bt^2} \right) dt \]
is equal to
For \(-1 \leq x \leq 1\), if \(f(x)\) is the sum of the convergent power series \[ x + \frac{x^2}{2^2} + \frac{x^3}{3^2} + \dots + \frac{x^n}{n^2} + \dots \]
then \(f\left(\frac{1}{2}\right)\) is equal to
For \(n \in \mathbb{N}\) and \(x \in [1, \infty)\), let \[ f_n(x) = \int_0^\pi \left( x^2 + (\cos \theta) \sqrt{x^2 - 1} \right)^n \, d\theta. \]
Then which one of the following is true?
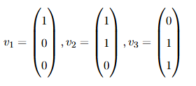
Let \(P\) be a \(3 \times 3\) real matrix having eigenvalues \(\lambda_1 = 0, \lambda_2 = 1\), and \(\lambda_3 = -1\). Further,

are eigenvectors of the matrix \(P\) corresponding to the eigenvalues \(\lambda_1, \lambda_2\) and \(\lambda_3\), respectively. Then the entry in the first row and the third column of \(P\) is
Let \((-c, c)\) be the largest open interval in \(\mathbb{R}\) (where \(c\) is either a positive real number or \(c = \infty\)) on which the solution \(y(x)\) of the differential equation \[ \frac{dy}{dx} = x^2 + y^2 + 1 \]
with initial condition \(y(0) = 0\) exists and is unique. Then which of the following is/are true?
Let \(S\) be the set of all continuous functions \(f: [-1, 1] \to \mathbb{R}\) satisfying the following three conditions:
[(i)] \(f\) is infinitely differentiable on the open interval \((-1, 1)\),
[(ii)] the Taylor series
\[ f(0) + f'(0)x + \frac{f''(0)}{2!}x^2 + \dots \]
of \(f\) at 0 converges to \(f(x)\) for each \(x \in (-1, 1)\),
[(iii)] \(f^{(n)}(1) = 0\) for all \(n \in \mathbb{N}\).
Then which of the following is true?
Let \(S\) be the set of all functions \(f: \mathbb{R} \to \mathbb{R}\) satisfying \[ |f(x) - f(y)|^2 \leq |x - y|^3 \quad for all x, y \in \mathbb{R}. \]
Then which of the following is/are true?
A real-valued function \(y(x)\) defined on \(\mathbb{R}\) is said to be periodic if there exists a real number \(T > 0\) such that \(y(x + T) = y(x)\) for all \(x \in \mathbb{R}\).
Consider the differential equation \[ \frac{d^2y}{dx^2} + 4y = \sin(ax), \quad x \in \mathbb{R}, \]
where \(a \in \mathbb{R}\) is a constant. Then which of the following is/are true?
Let \(M\) be a positive real number and let \(u, v: \mathbb{R}^2 \to \mathbb{R}\) be continuous functions satisfying \[ \sqrt{(u(x, y))^2 + (v(x, y))^2} \geq M \sqrt{x^2 + y^2} \quad for all (x, y) \in \mathbb{R}^2. \]
Let \[ F: \mathbb{R}^2 \to \mathbb{R}^2 \quad be given by \quad F(x, y) = (u(x, y), v(x, y)) \quad for \quad (x, y) \in \mathbb{R}^2. \]
Then which of the following is/are true?
Let \(G\) be a finite group of order at least two and let \(e\) denote the identity element of \(G\). Let \(\sigma : G \to G\) be a bijective group homomorphism that satisfies the following two conditions:
[(i)] If \(\sigma(g) = g\) for some \(g \in G\), then \(g = e\),
[(ii)] \((\sigma \circ \sigma)(g) = g\) for all \(g \in G\).
Then which of the following is/are correct?
Let \((x_n)\) be a sequence of real numbers. Consider the set \[ P = \{n \in \mathbb{N} : x_n > x_m for all m \in \mathbb{N} with m > n \}. \]
Then which of the following is true?
Let \(V\) be the real vector space consisting of all polynomials in one variable with real coefficients and having degree at most 5, together with the zero polynomial.
Let \(T: V \to \mathbb{R}\) be the linear map defined by \(T(1) = 1\) and \[ T(x(x - 1)(x - 2) \dots (x - k + 1)) = 1 \quad for \quad 1 \leq k \leq 5. \]
Then which of the following is/are true?
Let \(P\) be a fixed \(3 \times 3\) matrix with entries in \(\mathbb{R}\). Which of the following maps from \(M_3(\mathbb{R})\) to \(M_3(\mathbb{R})\) is/are linear?
The value of the limit \[ \lim_{n \to \infty} \left( \frac{1^1 + 2^2 + \cdots + n^n}{n^5} + \frac{1}{\sqrt{n}} \left( \frac{1}{\sqrt{n+1}} + \frac{1}{\sqrt{n+2}} + \cdots + \frac{1}{\sqrt{4n}} \right) \right) \]
is equal to ........... (Rounded off to two decimal places)
Consider the function \( u: \mathbb{R}^3 \to \mathbb{R} \) given by \[ u(x_1, x_2, x_3) = x_1^2 x_2^3 - x_1^3 x_4 - 26x_1^2 x_2^2 x_3^3 \]
Let \( c \in \mathbb{R} \) and \( k \in \mathbb{N} \) be such that \[ x_1 \frac{\partial u}{\partial x_2} + 2x_2 \frac{\partial u}{\partial x_3} evaluated at the point (t, t^2, t^3), equals ct^k for every t \in \mathbb{R}. \]
Then the value of \( k \) is equal to .........
Let \( y(x) \) be the solution of the differential equation \[ \frac{dy}{dx} + 3x^2 y = x^2, \quad for x \in \mathbb{R}, \]
satisfying the initial condition \( y(0) = 4 \).
Then \( \lim_{x \to \infty} y(x)\) is equal to ....... (Rounded off to two decimal places)
The sum of the series \[ \sum_{n=1}^{\infty} \frac{1}{(4n - 3)(4n + 1)} \]
is equal to ......... (Rounded off to two decimal places)
The number of distinct subgroups of \( \mathbb{Z}_{999} \) is .........
The number of elements of order 12 in the symmetric group \( S_7 \) is ........
Let \( y(x) \) be the solution of the differential equation \[ xy^2 y' + y^3 = \frac{\sin x}{x} \quad for \quad x > 0, \]
satisfying \( y\left( \frac{\pi}{2} \right) = 0 \).
Then the value of \( y\left( \frac{5\pi}{2} \right) \) is equal to ........ (Rounded off to two decimal places)
Consider the region \[ G = \left\{ (x, y, z) \in \mathbb{R}^3 : 0 < z < x^2 - y^2, x^2 + y^2 < 1 \right\}. \]
Then the volume of \( G \) is equal to ........ (Rounded off to two decimal places)
Given that \( y(x) \) is a solution of the differential equation \[ x^2 y'' + x y' - 4y = x^2 \quad on the interval \quad (0, \infty) \]
such that \[ \lim_{x \to 0^+} y(x) exists and y(1) = 1. \]
The value of \( y'(1) \) is equal to ......... (Rounded off to two decimal places)
Consider the family \( \mathcal{F}_1 \) of curves lying in the region \[ \left\{ (x, y) \in \mathbb{R}^2 : y > 0 and 0 < x < \pi \right\} \]
and given by \[ y = \frac{c(1 - \cos x)}{\sin x}, \quad where c is a positive real number. \]
Let \( \mathcal{F}_2 \) be the family of orthogonal trajectories to \( \mathcal{F}_1 \). Consider the curve \( C \) belonging to the family \( \mathcal{F}_2 \) passing through the point \( \left( \frac{\pi}{3}, 1 \right) \). If \( a \) is a real number such that \( \left( \frac{\pi}{4}, a \right) lies on C, \textbf{ then the value of} a^4 \textbf{is equal to ..........} \) (Rounded off to two decimal places)
For \( t \in \mathbb{R} \), let \( \lfloor t \rfloor \) denote the greatest integer less than or equal to \( t \).
Let \[ D = \{ (x, y) \in \mathbb{R}^2 : x^2 + y^2 < 4 \}. \]
Let \( f: D \to \mathbb{R} \) and \( g: D \to \mathbb{R} \) be defined by \[ f(x, y) = \left[ x^2 + y^2 \right]^2, \quad g(x, y) = \frac{x y}{x^2 + y^2} \]
for \( (x, y) \neq (0, 0) \). Let \( E \) be the set of points of \( D \) at which both \( f \) and \( g \) are discontinuous. The number of elements in the set \( E \) is ........
If \( G \) is the region in \( \mathbb{R}^2 \) given by \[ G = \left\{ (x, y) \in \mathbb{R}^2 : x^2 + y^2 < 1, \quad \frac{x}{\sqrt{3}} < y < \sqrt{3} x, \quad x > 0, \quad y > 0 \right\}, \]
then the value of \[ \frac{200}{\pi} \int \int_G x^2 \, dx \, dy \]
is equal to ............ (Rounded off to two decimal places)
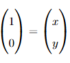
Let 
and let \( A^T \) denote the transpose of \( A \). Let
be column vectors with entries in \(\mathbb{R}\) such that \[ u_1^2 + u_2^2 = 1 and v_1^2 + v_2^2 + v_3^2 = 1. \]
Suppose \[ A u = \sqrt{2} v \quad and \quad A^T v = \sqrt{2} u. \]
Then \( |u_1 + 2\sqrt{2} v_1| \) is equal to ............ (Rounded off to two decimal places)
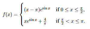
Let \( f : [0, \pi] \to \mathbb{R} \) be the function defined by

Then the value of \[ \int_0^\pi f(x) \, dx \]
is equal to ........ (Rounded off to two decimal places)
Let \( r \) be the radius of convergence of the power series \[ \frac{1}{3} \cdot \frac{x}{5} + \frac{x^2}{32} + \frac{x^3}{52} + \frac{x^4}{33} + \frac{x^5}{53} + \frac{x^6}{34} + \frac{x^7}{54} + \dots \]
Then the value of \( r^2 \) is equal to ............ (Rounded off to two decimal places)
Define \( f: \mathbb{R}^2 \to \mathbb{R} \) by \[ f(x, y) = x^2 + 2y^2 - x \quad for \quad (x, y) \in \mathbb{R}^2. \]
Let \[ D = \{(x, y) \in \mathbb{R}^2 : x^2 + y^2 \leq 1 \} \quad and \quad E = \left\{ (x, y) \in \mathbb{R}^2 : \frac{x^2}{4} + \frac{y^2}{9} \leq 1 \right\}. \]
Consider the sets \[ D_{max} = \{(a, b) \in D : f has absolute maximum on D at (a, b)\}, \] \[ D_{min} = \{(a, b) \in D : f has absolute minimum on D at (a, b)\}, \] \[ E_{max} = \{(c, d) \in E : f has absolute maximum on E at (c, d)\}, \] \[ E_{min} = \{(c, d) \in E : f has absolute minimum on E at (c, d)\}. \]
Then the total number of elements in the set \[ D_{max} \cup D_{min} \cup E_{max} \cup E_{min} \]
is equal to .............
Consider the \( 4 \times 4 \) matrix

Then the value of the determinant of \( M \) is equal to .........
Let \( \sigma \) be the permutation in the symmetric group \( S_5 \) given by \[ \sigma(1) = 2, \quad \sigma(2) = 3, \quad \sigma(3) = 1, \quad \sigma(4) = 5, \quad \sigma(5) = 4. \]
Define \[ N(\sigma) = \{ \tau \in S_5 : \sigma \circ \tau = \tau \circ \sigma \}. \]
Then the number of elements in \( N(\sigma) \) is equal to .........
Let \( f : (-1, 1) \to \mathbb{R} \) and \( g : (-1, 1) \to \mathbb{R} \) be thrice continuously differentiable functions such that \( f(x) \neq g(x) \) for every nonzero \( x \in (-1, 1) \). Suppose \[ f(0) = \ln 2, \quad f'(0) = \pi, \quad f''(0) = \pi^2, \quad f^{(3)}(0) = \pi^9, \]
and \[ g(0) = \ln 2, \quad g'(0) = \pi, \quad g''(0) = \pi^2, \quad g^{(3)}(0) = \pi^3. \]
Then the value of the limit \[ \lim_{x \to 0} \frac{e^{f(x)} - e^{g(x)}}{f(x) - g(x)} \]
is equal to ........ (Rounded off to two decimal places)
If \( f: [0, \infty) \to \mathbb{R} \) and \( g: [0, \infty) \to [0, \infty) \) are continuous functions such that \[ \int_0^{x^3 + x^2} f(t) \, dt = x^2 \quad and \quad \int_0^{g(x)} t^2 \, dt = 9(x + 1)^3 \quad for all \quad x \in [0, \infty), \]
then the value of \[ f(2) + g(2) + 16 f(12) is equal to \_\_\_\_\_\_\_ . (Rounded off to two decimal places) \]
IIT JAM Previous Year Question Papers
| IIT JAM 2022 Question Papers | IIT JAM 2021 Question Papers | IIT JAM 2020 Question Papers |
| IIT JAM 2019 Question Papers | IIT JAM 2018 Question Papers | IIT JAM Practice Papers |





Comments