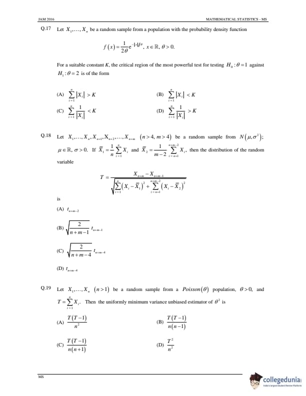
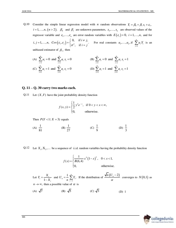
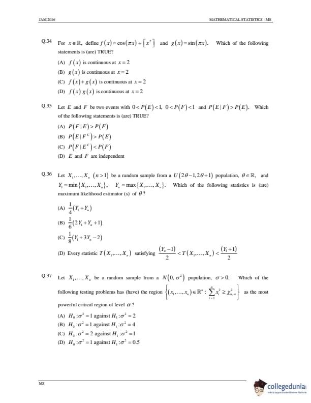
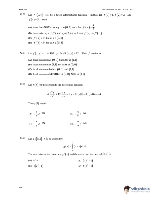
IIT JAM 2016 Mathematical Statistics (MS) Question paper with answer key pdf conducted on February 7 in Afternoon Session 2 PM to 5 PM is available for download. The exam was successfully organized by IIT Madras. The question paper comprised a total of 60 questions divided among 3 sections.
IIT JAM 2016 Mathematical Statistics (MS) Question Paper with Answer Key PDFs Afternoon Session
| IIT JAM 2016 Mathematical Statistics (MS) Question Paper PDF | IIT JAM 2016 Mathematical Statistics (MS) Answer Key PDF |
|---|---|
| Download PDF | Download PDF |
IIT JAM Previous Year Question Papers
| IIT JAM 2022 Question Papers | IIT JAM 2021 Question Papers | IIT JAM 2020 Question Papers |
| IIT JAM 2019 Question Papers | IIT JAM 2018 Question Papers | IIT JAM Practice Papers |



Comments