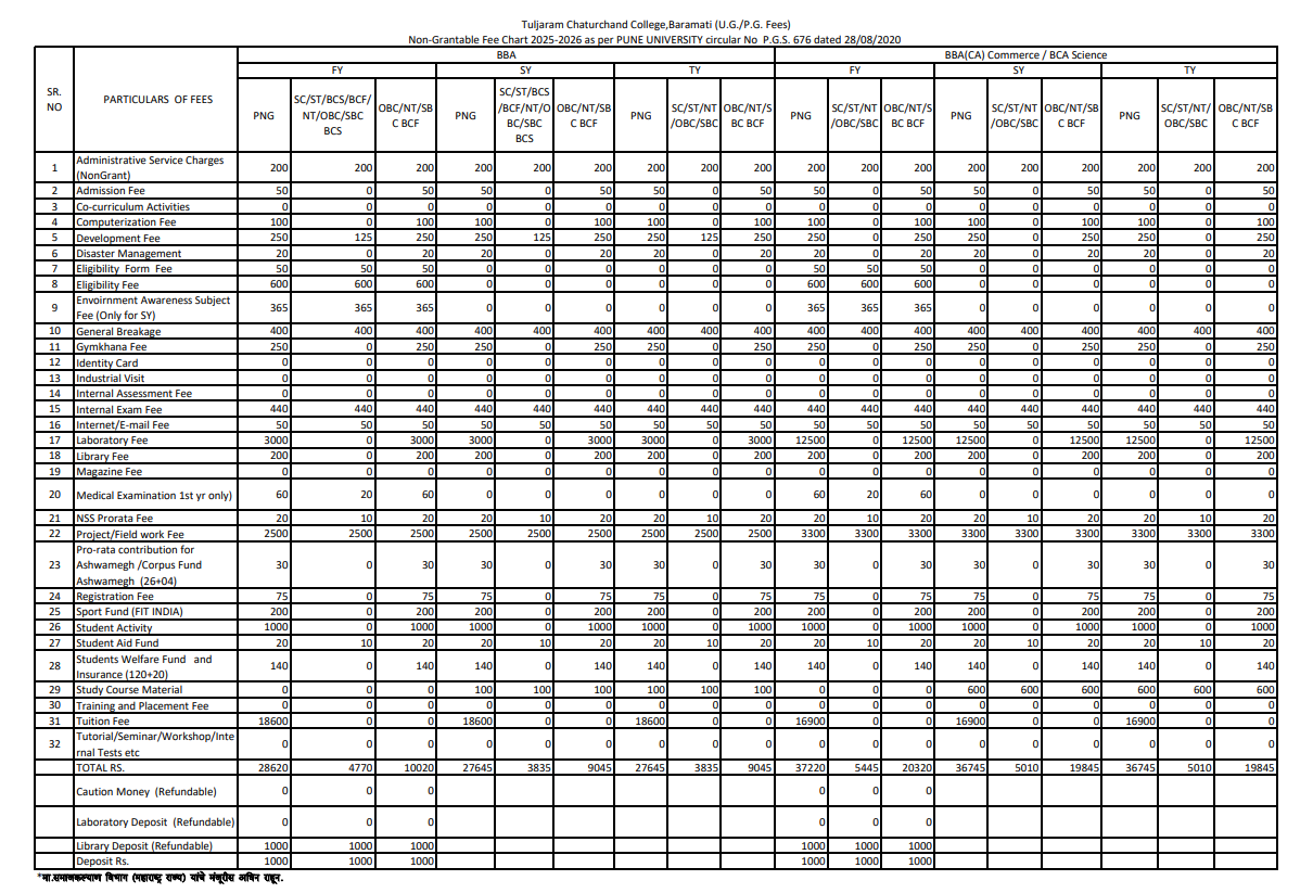
| Course Highlights | Details |
|---|---|
| duration | 3 Years (Full Time) |
| course level | UG (Degree) |
| mode of study | On Campus |
| total fees | ₹ 1.12 Lakhs |
| eligibility | 10+2 |
| Fee Type | Total Amount (INR) |
|---|---|
| tuition fee | ₹50,700 |
| caution fee* | ₹1,000 |
| other fee | ₹60,010 |
| total fee | ₹1.12 Lakhs |

| Events | Dates |
|---|---|
| MAH-MCA-CET counselling | Jul 15, 2025 |
Do you think the Dates are wrong ? Report Here
Search from 20K+ Courses and 35+ Streams



![K J Somaiya College of Arts & Commerce - [KJSAC]](https://image-static.collegedunia.com/public/college_data/images/appImage/2229_1905859.jpg?h=111.44&w=263&mode=stretch)





![Walchand College of Arts and Science-[WCAS]](https://image-static.collegedunia.com/public/college_data/images/appImage/1759840388images.jpg?h=111.44&w=263&mode=stretch)

![Sardar Patel Mahavidyalaya - [SPM]](https://image-static.collegedunia.com/public/college_data/images/appImage/1493728200ccbgnvhjkl.jpg?h=111.44&w=263&mode=stretch)

![Shivaji University - [SUK]](https://image-static.collegedunia.com/public/college_data/images/appImage/1508137794cvr.png?h=111.44&w=263&mode=stretch)

Comments