The CICSEE has conducted the ICSE Class 12 Biology Board Exam 2026 on March 6, 2026. The Class 12 Biology Question Paper with Solution PDF is available here for download.
- ICSE Class 12 Biology paper covered key topics from reproduction, genetics, evolution, biology in human welfare, and ecology.
- The MCQ section was designed to test precision and basic conceptual clarity.
The short and long descriptive questions required detailed explanations, accurate biological terminology, and well-labeled diagrams. Students can download the official paper in PDF format for reference.
ICSE Class 12 Biology Board Exam 2026 Question Paper with Solution PDF
| ICSE Class 12 Biology Board Exam 2026 Question Paper with Solution PDF | Download PDF | Check Solution |

Zara is suffering from cough and has bluish lips. Her mucus is mixed with blood. What is the biological name of the causative organism responsible for Zara’s condition?
Observe the relation between the first two words and complete the analogy.
\[ Dengue : Aedes :: Plague : \, ? \]
If the number of chromosomes in the cells of the calyx is 16, how many chromosomes will be formed in the endosperm after double fertilisation?
A scientist isolates a second restriction endonuclease from the strain DC3 of Helicobacter pyogenes. What would the scientist name it using the standard naming technique of restriction enzyme?
Meenu is suffering from a genetic disorder in which phenylpyruvic acid and its metabolites accumulate in blood. It causes impairment of nervous tissues. Which enzyme deficiency has caused this disorder in Meenu?
There were 770 frogs in a pond. 70 of them died within a month. Calculate the death rate of the population of frogs in the pond.
A farmer notices that the leaves of his cabbage plants are curling up because of heavy infestation of aphids. Suggest one ecofriendly method to control their spread in the cabbage plants.
In a particular plant with bilobed dithecous anther, there were 50 Pollen Mother Cells. Only 25% could develop their pollen tubes. Calculate the number of pollen grains that would proceed for fertilisation.
Choose the components that are required for the proper functioning of DNA polymerase enzyme.
(P) DNA template
(Q) A DNA primer
(R) An RNA primer
(S) Four different dNTPs
The left hind limb of a person was swollen like an elephant’s limb. Which one of the following was MOST likely the cause of swelling?
Given below are two statements marked Assertion and Reason. Read the two statements carefully and choose the correct option.
Assertion: RNAi technique is applied to plants and animals to protect them from pest infestation.
Reason: This technique inhibits the expression of certain genes in pests.
Given below are two statements marked Assertion and Reason. Read the two statements carefully and choose the correct option.
Assertion: Individuals with Klinefelter syndrome lose their secondary sexual characters and develop gynaecomastia.
Reason: The presence of the XYY chromosomal pattern leads to underdeveloped testes and reduced testosterone levels in affected males.
In a garden pea plant, the flowers are in axial (A) position. Find out the proportion of flowers in terminal position (a), if a cross is made between two heterozygous plants.
Name the autoimmune disorder that affects the skeletal muscles in humans.
Answer the following:
(a) Expand the abbreviation IUI.
(b) The enzyme polynucleotide phosphorylase helps the in-vitro synthesis of RNA. Name the scientist who discovered this enzyme.
Shama complained of severe itching in certain parts of her body where patches as shown below appeared on her skin. Write the biological name of the causative agent responsible for her condition.

Name the chemical messenger that activates Natural Killer T-cells and macrophages.
Give a reason for each of the following:
(a) Kanika was suffering from SCID and needed periodic infusion of transformed lymphocytes.
(b) In HIV infected persons, the immune system is compromised.
The diagram below shows DNA banding patterns obtained after DNA samples collected from a crime scene were subjected to gel electrophoresis. Samples from the crime scene are denoted by C and three suspects are represented by S\(_1\), S\(_2\), S\(_3\).

(i) Which suspect’s DNA sample matches the sample collected from the crime scene?
(ii) Mention the principle on which DNA profiling is based.
In a group discussion on pollination, Shubham argued that Cleistogamy was a type of Xenogamy whereas Ameena was of the opinion that it was a kind of Autogamy. Whose argument is correct? Justify.
(i) The amount of energy at the fourth trophic level in the food chain given below is 4 J.
\[ Grass \rightarrow Zebra \rightarrow Crocodile \rightarrow Vulture \]
What will be the amount of energy available at the sunlight and transducer level?
(ii) Roselin had an aquarium at her home with 10 fish in it. In a year, a fish gave birth to 7 fish. During this period, 3 adult fish had died. Roselin’s father purchased 2 more pairs of fish from the market for the aquarium. Later, Roselin gifted 4 fish from the aquarium to her friend. Find out the growth rate of fish in Roselin’s aquarium.
Anthony is a scientist who has been provided with raw materials to obtain a specific biological product in large quantities. His laboratory has two large vessels for this purpose – one with a sparger and the other vessel with a stirrer. Which vessel will be more advantageous to Anthony? Why?
The data given below shows a significant decline in the population of migratory birds in a wetland in Southern India over the last three years.

Based on the above data, interpret two reasons for change in the population of migratory birds.
Paramecium caudatum and Paramecium aurelia were growing in separate culture media in a laboratory. When both the species were transferred to the same culture medium for growth, it was observed that Paramecium caudatum got eliminated from the habitat after some time. Identify and explain the type of ecological interaction between the aforementioned species of Paramecia on the basis of Gause’s principle.
In an experiment to produce recombinant cells, a plasmid without selectable marker was chosen as the vector for cloning a gene.
(i) Predict the outcome of this experiment.
(ii) Name an artificial chromosome that can be used as a vector to transfer the recombinant DNA in Penicillium notatum.
(i) How is mature insulin different from pro-insulin secreted by pancreas in humans?
(ii) Name the company that produced genetically engineered insulin for the first time.
(iii) Why is functional insulin produced by r-DNA technology better than the ones produced earlier?
A biologist surveyed islands of different sizes and consolidated the results in the form of the data given below. Study the data carefully and answer the questions that follow.

(i) What pattern do you observe in the above data?
(ii) Name the scientist who proposed the concept of relationship between area and species.
(iii) Write the mathematical expression for this relationship.
(i) Draw a flowchart to show the process of sex determination in honeybees.
(ii) If there are 16 chromosomes in the somatic cells of a male honeybee, how many chromosomes would be present in spermatozoa?
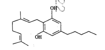
Study the chemical structure of an addictive drug shown below and answer the questions that follow.

(i) Mention the scientific name of the source plant of the above drug.
(ii) State any one effect of this drug on human body.
(iii) What is meant by withdrawal symptom?
A researcher compares two embryos, X and Y.
Embryo X shows equal division of the zygote, forming two cells that are almost identical in size.
Embryo Y shows an unequal first division and produces a small apical cell and a large basal cell.
(i) Which embryo is likely to develop into a normal dicot embryo?
(ii) What is the fate of:
(a) Apical cell?
(b) Basal cell?
(i) The graph given below shows the level of antibodies in the blood after exposure to a pathogen.

(a) What types of responses of the immune system do the peaks A and B represent?
(b) Name the type of antibody that is at the highest level in the 7th week.
(ii) Plasmodium is a digenetic parasite, completing its life cycle in humans and mosquitoes. In humans, it completes different parts of its life cycle in the liver and RBCs. Draw a flow chart to outline its erythrocytic cycle in humans.
The two structures shown below are formed in the process of spermatogenesis. Study them carefully and answer the questions that follow.

(i) Identify the process which converts Structure A to Structure B.
(ii) State any two modifications observable in Structure B.
As a part of his research, Arun conducted a study on the number of locusts in a forest. He compiled his findings in the form of the following data.

(i) Construct a growth curve based on the above data. What type of a growth curve is obtained?
(ii) Write a mathematical expression for the growth curve obtained.
Study the diagram given below and answer the questions that follow.

(i) Identify the parts marked ‘E’ and ‘F’.
(ii) Explain the post-transcriptional modifications that occur in part ‘F’.
(i) Outline three major steps in the process of artificial hybridisation.
(ii) Discuss the role of pollen–pistil interaction in ensuring successful hybrid formation.
OR
(iii) Draw a flowchart to represent the process of oogenesis.
(iv) Differentiate between oogenesis and spermatogenesis on the following basis:
(a) Number of products
(b) Gonadal hormones










Comments