KEAM 2026 rank list preparation uses a 50:50 weightage of KEAM scores and Class 12 board marks. This means your normalised KEAM scores and class 12 have equal weightage, which decides your KEAM rank in 2026.
- The Class 12 board marks are now changed to a 5:3:2 ratio, with Mathematics given the most importance.
- Mathematics is scaled to 150 marks, Physics is scaled to 90, and Chemistry is scaled to 30 marks.
- Total Index marks for rank preparation are 600 marks, whereas 300 marks come from the normalised KEAM score, and the other 300 marks come from Class 12 board marks.
- Previously, the subjects' ratio was 1:1:1 with equal weightage to Mathematics, Physics, and Chemistry.
Also Read:

Key Summary
- Class 12 Board Subjects has now changed its weightage for Mathematics, Physics, and Chemistry to 150,90, and 60 respectively.
- Total index marks for rank preparation is 600, which comes from KEAM Normalised score (300 marks) and Class 12 Boards (300 marks).
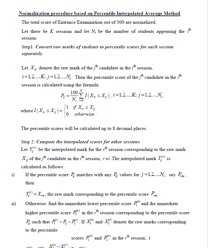
- KEAM raw score is normalised using Percentile interpolated Average Method to normalise scores across shifts.
The 50:50 Weightage System in KEAM Rank List Preparation
The KEAM 2026 rank list will be prepared by considering 50% from the normalised KEAM score and 50% of your Class 12 scores.
- Your final index mark for KEAM rank is 600 marks, out of which 300 comes from your KEAM score and 300 marks come from your Board exams.
- Suppose your normalised KEAM score is 240 out of 300 and your board marks are 210; your total index marks will become 450 marks.
- These 450 marks will be used to calculate your KEAM rank.
| Component in KEAM Rank List Preparation | Maximum Marks | Weightage | How is it calculated? |
|---|---|---|---|
| Normalized KEAM Entrance Score | 300 | 50% | Normalisation method |
| Board Marks (Maths + Physics + Chemistry) | 300 | 50% | After a 5:3:2 ratio and subject normalisation |
| Total Index Marks | 600 | 100% | Considered together for final rank |
Check: Top Colleges accepting KEAM 2026 Ranking
Board Marks Ratio for KEAM Rank List Preparation
Your board marks will be used in the ratio of 5:3:2 for Mathematics, Physics, and Chemistry for the KEAM rank list preparation.
- Mathematics gets the highest importance, which is scaled to 150 marks, followed by Physics with 90 marks.
- Your Chemistry marks are scaled to 60 marks.
- If you didn’t study Chemistry in your Class 12, your Computer Science marks are used. If you also didn’t study CS, your Biology or Biotechnology marks are used.
- After adding the normalised KEAM score to the class 12 score, your index marks will be ready for KEAM rank list preparation.
| Subject in Board Marks | Ratio Part | Scaled Marks (out of 300) |
|---|---|---|
| Mathematics | 5 | 150 |
| Physics | 3 | 90 |
| Chemistry | 2 | 60 |
| Total Board Component | 10 | 300 |


Source: KEAM 2026 Prospectus
Ques. I didn’t take Chemistry and what happens to 5:3:2 ratio in KEAM ranking?
Ans. If you didn’t study Chemistry and took Computer Science, then your CS marks will be considered. If you also didn’t take CS but took Biotechnology or Biology, your Biotechnology or Biology marks will be considered.
Normalisation Process in the KEAM Rank List Preparation
Since the KEAM exam happens in multiple shifts, question papers may differ slightly in difficulty. To keep everything fair, KEAM rank list preparation uses a scientific normalisation method called Percentile Interpolated Average.
- Your raw KEAM score will first be turned into a percentile rank in your shift. Then adjusted against other shifts.
- Your board marks are scaled for each subject and then converted to a ratio of 5:3:2 to make the 300 index marks.
- The final normalised scores, i.e., both KEAM score and board, are added in a 50:50 ratio to make the index mark of 600.
- Marks obtained by the students by various boards will be normalised using the formula before creating a rank list to make sure students from different boards doesn’t get advantages or disadvantages.

H: Maximum marks secured by the students of board B in the year j
X: Marks Secured by a Candidate of Board B
| Step | What does it do? |
|---|---|
| Raw score to percentile | Converts your marks to rank within your shift |
| Interpolation | Compares your percentile across shifts |
| Normalised score (Out of 300) | Final adjusted KEAM score |
| Scaling of Board Subjects | Board subjects are scaled to 100 marks and then combined in a 5:3:2 ratio to make a 300 score |
| Normalisation of Various Board Marks | Board marks will be normalised across various boards to make sure there is no advantage or disadvantages. Like Kerala State board, CBSC, or etc.. |
| Final Index | Add both parts |

Source: KEAM 2026 Prospectus

Source: KEAM 2026 Prospectus
Ques. Does board marks also normalised like KEAM?
Ans. Yes. Your marks will be normalised across all different boards and students. Using the specified formula.

H: Maximum marks secured by the students of board B in the year j
X: Marks Secured by a Candidate of Board B
How to Submit Your Board Marks for KEAM Rank List Preparation?
After your KEAM results are declared and before the final rank list is released, you have to submit your Class 12 marks to the official CEE Kerala website.
- You have to log in to the candidate portal on the official CEE Kerala website, and you may need your Class 12th registration number and the passing year.
- You will be shown your marks; you just have to verify and confirm them.
- If the mark shown is different, you can change it using the “Change” button and click on “Submit Mark data.”
- The window for marks submission is limited, around 3-4 days and will be done within this duration.
| Action | Descriptions |
|---|---|
| Login to the portal https://www.cee.kerala.gov.in/ | Use your application number and password |
| Click on Mark Submission for Engg | Your marks, register number and year of passing will be displayed in the web page. |
| Verify and Confirm it | Verify the marks; if the marks are different, you can change them and click on “Submit Mark data.” |
| Download the mark submission confirmation report | Keep the report for further use. |

Source: Notice regarding mark submission for KEAM 2025
Ques. When and where to submit board marks for KEAM?
Ans. After the KEAM results, typically around end of May to June, CEE Kerala will open a mark submission link for class 12 students to submit their marks on their official website. https://www.cee.kerala.gov.in/ . You have to login to their to candidates portal to submit your class 12 marks.
Ques. Do I need to upload mark sheet during the mark submission?
Ans. No. You just need to confirm your class 12 marks and submit. You don’t have to submit mark sheet during this time. Original mark sheet will be verified during counselling or seat allotment.
Checkout the discussion on KEAM 50:50 Weightage and 5:3:2 Ratio for Subjects for KEAM Ranking in the r/Kerala thread on Reddit. While some students are happy with the decision of following the Tamil Nadu model for the new normalisation formula.


.jpg?h=56&w=56&mode=stretch)





Comments