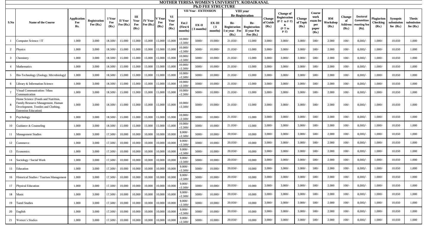
| Course Highlights | Details |
|---|---|
| duration | 6 Years (Full Time) |
| course level | Doctorate (Degree) |
| mode of study | On Campus |
| total fees | ₹ 37,500 |
| eligibility | Post Graduation with 55% |
| Fee Type | Total Amount (INR) |
|---|---|
| tuition fee | ₹35,500 |
| total academic fee | ₹37,500 |
| hostel fee | ₹2.94 Lakhs |
| total fee | ₹3.32 Lakhs |

Search from 20K+ Courses and 35+ Streams



![Arulmigu Palaniandavar Arts College for Women - [APAC]](https://image-static.collegedunia.com/public/college_data/images/appImage/45951_APAC_New.png?h=111.44&w=263&mode=stretch)

![Anugraha Institute of Social Sciences - [AISS]](https://image-static.collegedunia.com/public/college_data/images/appImage/_ANYU.jpg?h=111.44&w=263&mode=stretch)

![Rev. Jacob Memorial Christian College - [RJMCC]](https://image-static.collegedunia.com/public/college_data/images/appImage/1631262391bannerhome.jpg?h=111.44&w=263&mode=stretch)







Comments