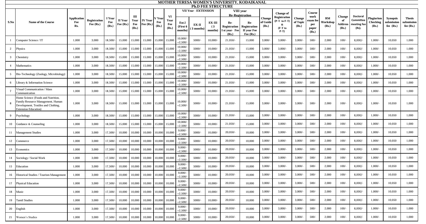
| Course Highlights | Details |
|---|---|
| duration | 6 Years (Full Time) |
| course level | Doctorate (Degree) |
| mode of study | On Campus |
| total fees | ₹ 96,500 |
| eligibility | Post Graduation with 55% |
| Fee Type | Total Amount (INR) |
|---|---|
| tuition fee | ₹93,500 |
| total academic fee | ₹96,500 |
| hostel fee | ₹2.94 Lakhs |
| total fee | ₹3.91 Lakhs |

Search from 20K+ Courses and 35+ Streams


















Comments