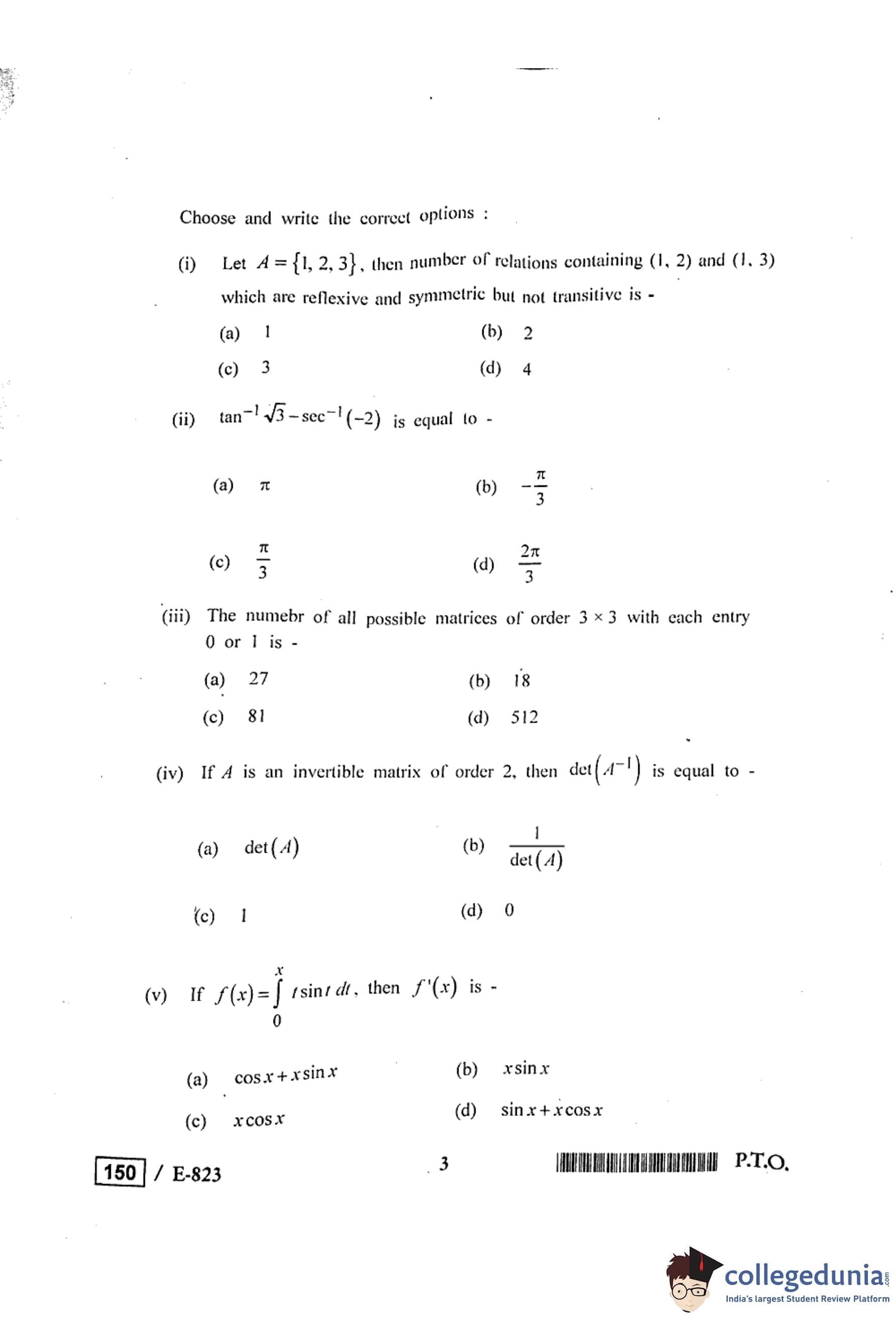
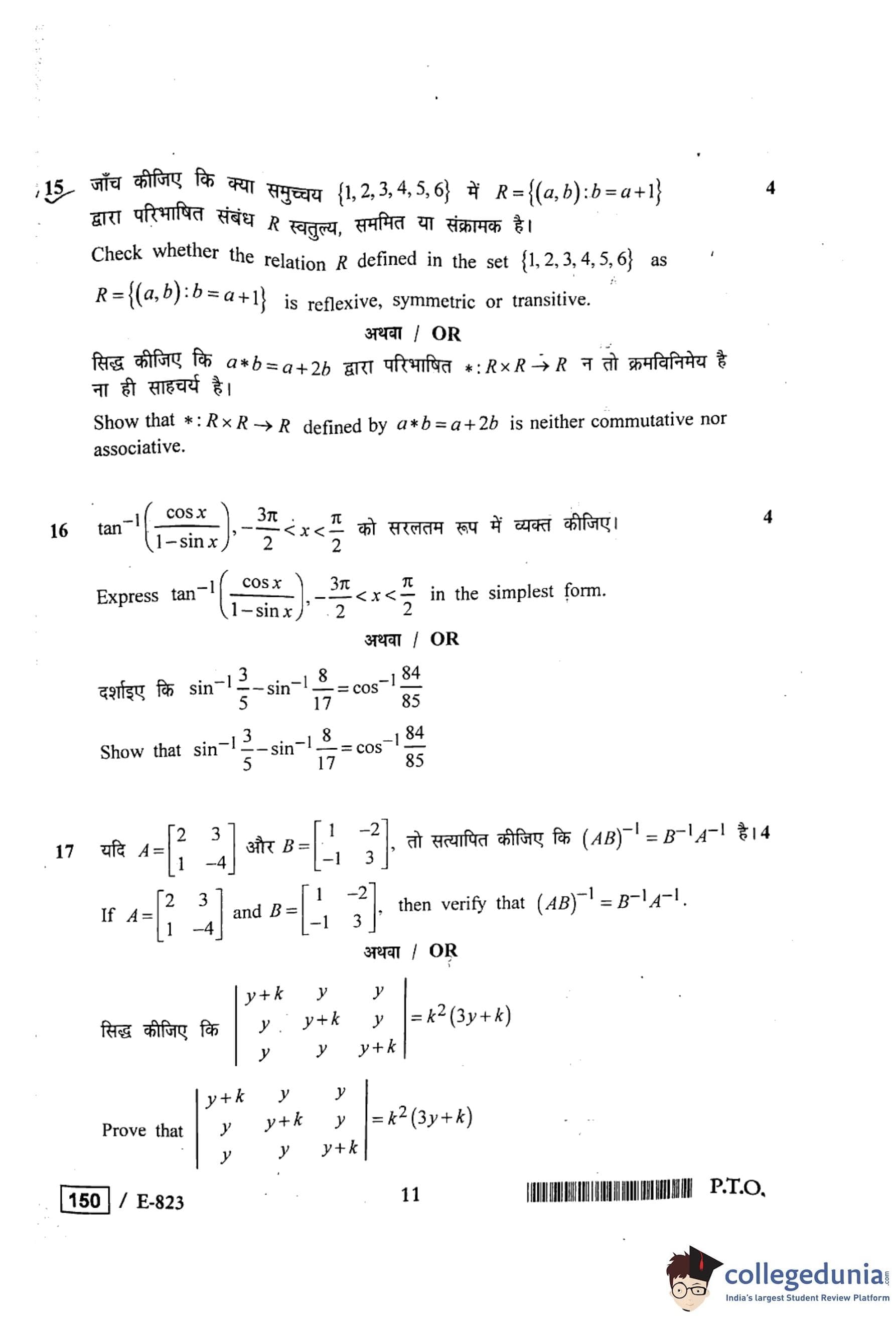
MP Board 12th Higher Mathmatics Question Paper 2020 with Answer Key pdf is available for download here. The exam was conducted by Madhya Pradesh Board of Secondary Education, MPBSE on April 3, 2020 in the Morning Session 8 AM to 11 AM. The question paper comprised a total of 26 questions divided among 2 sections.
MP Board 12th Higher Mathmatics Question Paper 2020 with Answer Key
| MP Board 12th Higher Mathmatics Question Paper 2020 PDF | MP Board 12th Higher Mathmatics Answer Key 2020 PDF |
|---|---|
| Download PDF | Available Soon |







Comments