AIIMS MBBS 2019 Question paper with answer key pdf conducted on May 25, 2019 in Forenoon Session is available for download. The exam was successfully organized by AIIMS Delhi. The question paper comprised a total of 200 questions.
AIIMS MBBS 2019 Question Paper with Answer Key PDF Forenoon Session
| AIIMS MBBS 2019 Question Paper PDF | AIIMS MBBS 2019 Answer Key PDF |
|---|---|
| Download PDF | Available Soon |





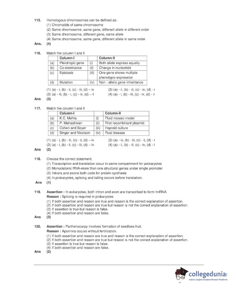
Comments