TS EAMCET 2024 Question Paper May 10 Shift 2 with Answer Key PDF is available here for download. JNTU, Hyderabad on behalf of TSCHE conducted TS EAMCET on May 10 from 9 AM to 12 PM. TS EAMCET 2024 Question Paper consists of 160 questions carrying 1 mark each. TS EAMCET 2024 Question Paper May 10 Shift 2 PDF for MPC includes three subjects, Physics, Chemistry and Mathematics. The Physics and Chemistry section of the paper includes 40 questions each while the Mathematics section includes a total of 80 questions.
TS EAMCET 2024 Question Paper with Answer Key May 10 Shift 2 PDF
| TS EAMCET 2024 10 May Shift 2 Question Paper with Answer Key | Check Solution |
TS EAMCET Questions with Solution
The domain of the real valued function \( f(x) = \sin^{-1} \left( \log_2 \left( \frac{x^2}{2} \right) \right) \) is
View Solution
The range of the real valued function \( f(x) = \log_3 (5 + 4x - x^2) \) is
View Solution
If \( 3^{2n+2} - 8n - 9 \) is divisible by \( 2^p \) \(\forall n \in \mathbb{N}\), then the maximum value of \( p \) is
View Solution
Let \( A = [a_{ij}] \) be a \( 3 \times 3 \) matrix with positive integers as its elements. The elements of \( A \) are such that the sum of all the elements of each row is equal to 6, and \( a_{22} = 2 \).
View Solution
If \( |Adj \ A| = x \) and \( |Adj \ B| = y \), then \( \left( |Adj(AB)| \right)^{-1} \) is
View Solution
The system of equations \[ x + 3by + bz = 0, \quad x + 2ay + az = 0, \quad x + 4cy + cz = 0 \]
has:
View Solution
Evaluate the determinant: \[ \begin{vmatrix} -\frac{bc}{a^2} & \frac{c}{a} & \frac{b}{a}
\frac{c}{b} & -\frac{ac}{b^2} & \frac{a}{b}
\frac{b}{c} & \frac{a}{c} & -\frac{ab}{c^2} \end{vmatrix}= \]
View Solution
If \( z = x + iy \) satisfies the equation \[ z^2 + az + a^2 = 0, \quad a \in \mathbb{R}, \]
then:
View Solution
If \( Z_1, Z_2, Z_3 \) are three complex numbers with unit modulus such that \[ |Z_1 - Z_2|^2 + |Z_1 - Z_3|^2 = 4 \]
then \[ Z_1 Z_2 + \overline{Z_1} Z_2 + Z_1 Z_3 + \overline{Z_1} Z_3 = \]
View Solution
If \( \omega \) is the complex cube root of unity and \[ \left( \frac{a + b\omega + c\omega^2}{c + a\omega + b\omega^2} \right)^k + \left( \frac{a + b\omega + c\omega^2}{b + a\omega^2 + c\omega} \right)^2 = 2, \]
then \( 2k + 1 \) is always:
View Solution
If \( Z_1 = \sqrt{3} + i\sqrt{3} \) and \( Z_2 = \sqrt{3} + i \), and \[ \left( \frac{Z_1}{Z_2} \right)^{50} = x + iy, \]
then the point \( (x,y) \) lies in:
View Solution
The solution set of the inequality \[ 3^x + 3^{1-x} - 4 < 0 \]
contained in \( \mathbb{R} \) is:
View Solution
The common solution set of the inequalities \[ x^2 - 4x \leq 12 \quad and \quad x^2 - 2x \geq 15 \]
taken together is:
View Solution
The roots of the equation \( x^3 - 3x^2 + 3x + 7 = 0 \) are \( \alpha, \beta, \gamma \) and \( w, w^2 \) are complex cube roots of unity. If the terms containing \( x^2 \) and \( x \) are missing in the transformed equation when each one of these roots is decreased by \( h \), then
View Solution
With respect to the roots of the equation \( 3x^3 + bx^2 + bx + 3 = 0 \), match the items of List-I with those of List-II.
View Solution
The number of ways of arranging all the letters of the word "COMBINATIONS" around a circle so that no two vowels come together is
View Solution
If all the numbers which are greater than 6000 and less than 10000 are formed with the digits \( 3,5,6,7,8 \) without repetition of the digits, then the difference between the number of odd numbers and the number of even numbers among them is:
View Solution
A man has 7 relatives, 4 of them are ladies and 3 gents; his wife has 7 other relatives, 3 of them are ladies and 4 gents. The number of ways they can invite them to a party of 3 ladies and 3 gents so that there are 3 of man's relatives and 3 of wife's relatives, is
View Solution
If the coefficient of \( x^r \) in the expansion of \( (1 + x + x^2)^{100} \) is \( a_r \), and \( S = \sum\limits_{r=0}^{300} a_r \), then \[ \sum\limits_{r=0}^{300} r a_r = \]
View Solution
Given below are two statements, one is labelled as Assertion (A) and the other one labelled as Reason (R).
Assertion (A): \[ 1 + \frac{2.1}{3.2} + \frac{2.5.1}{3.6.4} + \frac{2.5.8.1}{3.6.9.8} + \dots \infty = \sqrt{4} \]
Reason (R): \[ |x| < 1, \quad (1 - x)^{-1} = 1 + nx + \frac{n(n+1)}{1.2} x^2 + \frac{n(n+1)(n+2)}{1.2.3} x^3 + \dots \]
View Solution
If \[ \frac{1}{x^4 + x^2 + 1} = \frac{Ax + B}{x^2 + ax + 1} + \frac{Cx + D}{x^2 - ax + 1} \]
then \( A + B - C + D = ? \)
View Solution
If \( 0 < \theta < \frac{\pi}{4} \) and \( 8\cos\theta + 15\sin\theta = 15 \), then \( 15\cos\theta - 8\sin\theta = \)
View Solution
Evaluate: \[ \sin 20^\circ (4 + \sec 20^\circ) = ? \]
View Solution
Suppose \( \theta_1 \) and \( \theta_2 \) are such that \( (\theta_1 - \theta_2) \) lies in the 3rd or 4th quadrant. If \[ \sin\theta_1 + \sin\theta_2 = \frac{21}{65} \quad and \quad \cos\theta_1 + \cos\theta_2 = \frac{27}{65} \]
then \[ \cos\left(\frac{\theta_1 - \theta_2}{2}\right) = \]
View Solution
If \( A \) is the solution set of the equation \( \cos^2 x = \cos^2 \frac{\pi}{6} \) and \( B \) is the solution set of the equation \( \cos^2 x = \log_{10} P \) where \( P + \frac{16}{P} = 10 \), then \( B - A = ? \)
View Solution
The trigonometric equation \( \sin^{-1}x = 2\sin^{-1}a \) has a solution. Find the valid range for \( a \).
View Solution
If \( \sinh x = \frac{12}{5} \), then \( \sinh 3x + \cosh 3x \) = ?
View Solution
If \( \triangle ABC \) is an isosceles triangle with base \( BC \), then \( r_1 = ? \)
View Solution
In \( \triangle ABC \), if \( r_1 + r_2 = 3R \), \( r_2 + r_3 = 2R \), then what type of triangle is \( \triangle ABC \)?
View Solution
Let \( \bar{n} \) be a unit vector normal to the plane \( \pi \) containing the vectors \( \bar{T} + 3\bar{k} \) and \( 2\bar{i} + \bar{j} - \bar{k} \). If this plane \( \pi \) passes through the point \( (-3,7,1) \) and \( p \) is the perpendicular distance from the origin to this plane, then \( \sqrt{p^2 + 5} \) is:
View Solution
If \( \bar{a} = \bar{i} - \bar{j} + 3\bar{k} \), \( \bar{c} = -\bar{k} \) are position vectors of two points and \( \bar{b} = 2\bar{i} - \bar{j} + \lambda \bar{k} \),
\( \bar{d} = \bar{i} + \bar{j} - \bar{k} \) are two vectors, then the lines \( r = \bar{a} + t \bar{b} \), \( r = \bar{c} + s \bar{d} \) are:
View Solution
Let \( \bar{a}, \bar{b}, \bar{c} \) be three vectors each having \( \sqrt{2} \) magnitude such that \[ (\bar{a}, \bar{b}) = (\bar{b}, \bar{c}) = (\bar{c}, \bar{a}) = \frac{\pi}{3}. \]
If \( \bar{x} = \bar{a} \times (\bar{b} \times \bar{c}) \) and \( \bar{y} = \bar{b} \times (\bar{c} \times \bar{a}) \), then
View Solution
Let \( \bar{a} \) be a vector perpendicular to the plane containing non-zero vectors \( \bar{b} \) and \( \bar{c} \). If \( \bar{a}, \bar{b}, \bar{c} \) are such that \[ |\bar{a} + \bar{b} + \bar{c}| = \sqrt{|\bar{a}|^2 + |\bar{b}|^2 + |\bar{c}|^2}, \]
then \[ |(\bar{a} \times \bar{b}) \cdot (\bar{a} \times \bar{c})| = \]
View Solution
If \( \bar{a} = \mathbf{i} + 2\mathbf{j} + \mathbf{k} \), \( \bar{b} = 3(\mathbf{i} - \mathbf{j} + \mathbf{k}) \), and \( \bar{c} \) is a vector such that \( \bar{a} \times \bar{c} = \bar{b} \) and \( \bar{a} \cdot \bar{x} = 3 \), then \( \bar{a} \cdot (\bar{x} \times \bar{b} - \bar{c}) = \)
View Solution
The variance of the first 10 natural numbers which are multiples of 3 is:
View Solution
If three numbers are randomly selected from the set \( \{1,2,3,\dots,50\} \), then the probability that they are in arithmetic progression is:
View Solution
The probability that exactly 3 heads appear in six tosses of an unbiased coin, given that the first three tosses resulted in 2 or more heads, is:
View Solution
A student has to write the words ABILITY, PROBABILITY, FACILITY, MOBILITY. He wrote one word and erased all the letters in it except two consecutive letters. If ‘LI’ is left after erasing then the probability that the boy wrote the word PROBABILITY is:
View Solution
Two cards are drawn at random one after the other with replacement from a pack of playing cards. If \( X \) is the random variable denoting the number of ace cards drawn, then the mean of the probability distribution of \( X \) is:
View Solution
If \( X \sim B(6, p) \) is a binomial variate and \[ \frac{P(X=4)}{P(X=2)} = \frac{1}{9}, \]
then the value of \( p \) is:
View Solution
If the locus of the centroid of the triangle with vertices \( A(a,0) \), \( B(\cos t, a\sin t) \) and \( C(\sin t, -b\cos t) \) (\( t \) is a parameter) is given by \[ 9x^2 + 9y^2 - 6x = 49, \]
then the area of the triangle formed by the line \[ \frac{x}{a} + \frac{y}{b} = 1 \]
with the coordinate axes is:
View Solution
By shifting the origin to the point \( (h,5) \) by the translation of coordinate axes, if the equation \[ y = x^2 - 9x^2 + cx - d \]
transforms to \( Y = X^2 \), then \( \left( \frac{d - c}{h} \right) \) is:
View Solution
The equation of the straight line whose slope is \( -\frac{2}{3} \) and which divides the line segment joining \( (1,2) \) and \( (-3,5) \) in the ratio 4:3 externally is:
View Solution
The equations \[ 7x + y - 24 = 0 \quad and \quad x + 7y - 24 = 0 \]
represent the equal sides of an isosceles triangle. If the third side passes through \( (-1,1) \), then a possible equation for the third side is:
View Solution
The combined equation of a possible pair of adjacent sides of a square with area 16 square units whose centre is the point of intersection of the lines \[ x + 2y - 3 = 0 \quad and \quad 2x - y - 1 = 0 \]
is:
View Solution
If the line \[ 2x + by + 5 = 0 \]
forms an equilateral triangle with \[ ax^2 - 96bxy + ky^2 = 0, \]
then \( a + 3k \) is:
View Solution
A rhombus is inscribed in the region common to the two circles \[ x^2 + y^2 - 4x - 12 = 0 \]
and \[ x^2 + y^2 + 4x - 12 = 0. \]
If the line joining the centres of these circles and the common chord of them are the diagonals of this rhombus, then the area (in Sq. units) of the rhombus is:
View Solution
If \( m \) is the slope and \( P(\beta, \beta) \) is the midpoint of a chord of contact of the circle \[ x^2 + y^2 = 125, \]
then the number of values of \( \beta \) such that \( \beta \) and \( m \) are integers is:
View Solution
A rectangle is formed by the lines \[ x = 4, \quad x = -2, \quad y = 5, \quad y = -2 \]
and a circle is drawn through the vertices of this rectangle. The pole of the line \[ y + 2 = 0 \]
with respect to this circle is:
View Solution
The equation of a circle which passes through the points of intersection of the circles \[ 2x^2 + 2y^2 - 2x + 6y - 3 = 0, \quad x^2 + y^2 + 4x + 2y + 1 = 0 \]
and whose centre lies on the common chord of these circles is:
View Solution
If the equation of the circle which cuts each of the circles \[ x^2 + y^2 = 4, \] \[ x^2 + y^2 - 6x - 8y + 10 = 0, \] \[ x^2 + y^2 + 2x - 4y - 2 = 0 \]
at the extremities of a diameter of these circles is \[ x^2 + y^2 + 2gx + 2fy + c = 0, \]
then the value of \( g + f + c \) is:
View Solution
The equation of the circle passing through the origin and cutting the circles \[ x^2 + y^2 + 6x - 15 = 0 \]
and \[ x^2 + y^2 - 8y - 10 = 0 \]
orthogonally is:
View Solution
The equation of a circle which passes through the points of intersection of the circles \[ 2x^2 + 2y^2 - 2x + 6y - 3 = 0, \quad x^2 + y^2 + 4x + 2y + 1 = 0 \]
and whose centre lies on the common chord of these circles is:
View Solution
S = (-1,1) is the focus, \( 2x - 3y + 1 = 0 \) is the directrix corresponding to S and \( \frac{1}{2} \) is the eccentricity of an ellipse. If \( (a,b) \) is the centre of the ellipse, then \( 3a + 2b \) is:
View Solution
Given the two parabolas: \[ S = y^2 - 4ax = 0, \quad S' = y^2 + ax = 0 \]
where \( P(t) \) is a point on the parabola \( S' = 0 \). If \( A \) and \( B \) are the feet of the perpendiculars from \( P \) to the coordinate axes and \( AB \) is a tangent to the parabola \( S = 0 \) at the point \( Q(t_1) \), then the value of \( t_1 \) is:
View Solution
Given that \( a \) and \( b \) are the semi-major and semi-minor axes of an ellipse whose axes are along the coordinate axes. If its latus rectum is of length 4 units and the distance between its foci is \( 4\sqrt{2} \), then the value of \( a^2 + b^2 \) is:
View Solution
If the extremities of the latus recta having positive ordinate of the ellipse \[ \frac{x^2}{a^2} + \frac{y^2}{b^2} = 1 \]
(where \( a > b \)) lie on the parabola \[ x^2 + 2ay - 4 = 0, \]
then the points \( (a, b) \) lie on the curve:
View Solution
If the tangent drawn at a point \( P(t) \) on the hyperbola \[ x^2 - y^2 = c^2 \]
cuts the X-axis at \( T \) and the normal drawn at the same point \( P \) cuts the Y-axis at \( N \), then the equation of the locus of the midpoint of \( TN \) is:
View Solution
If the harmonic conjugate of \( P(2,3,4) \) with respect to the line segment joining the points \[ A(3,-2,2) \quad and \quad B(6,-17,-4) \]
is \( Q(\alpha, \beta, \gamma) \), then the value of \( \alpha + \beta + \gamma \) is:
View Solution
If \( L \) is the line of intersection of two planes \[ x + 2y + 2z = 15 \quad and \quad x - y + z = 4 \]
and the direction ratios of the line \( L \) are \( (a, b, c) \), then the value of \[ \frac{a^2 + b^2 + c^2}{b^2} \]
is:
View Solution
The foot of the perpendicular drawn from \( A(1,2,2) \) onto the plane \[ x + 2y + 2z - 5 = 0 \]
is \( B(a, \beta, \gamma) \). If \( \pi(x,y,z) = x + 2y + 2z + 5 = 0 \) is a plane then \(-\pi(A):\pi(B) \) is:
View Solution
If \( 0 \leq x \leq \frac{\pi}{2} \), then \[ \lim\limits_{x \to a} \frac{2\cos x - 1}{2\cos x - 1} \]
Options:
View Solution
The real-valued function \[ f(x) = \frac{|x - a|}{x - a} \]
is analyzed as follows:
View Solution
If \[ f(x) = 3x^{15} - 5x^{10} + 7x^5 + 50\cos(x - 1), \]
then \[ \lim_{h \to 0} \frac{f(1 - h) - f(1)}{h^2 + 3h} \]
is:
View Solution
If the function \[ f(x) = \begin{cases} \frac{(e^x - 1) \sin kx}{4 \tan x}, & x \neq 0
P, & x = 0 \end{cases} \]
is differentiable at \( x = 0 \), then:
View Solution
If \[ y = \log \left( x - \sqrt{x^2 - 1} \right), \]
then \[ (x^2 - 1)y'' + xy' + e^y + \sqrt{x^2 - 1} = \]
evaluates to:
View Solution
The maximum interval in which the slopes of the tangents drawn to the curve \[ y = x^4 + 5x^3 + 9x^2 + 6x + 2 \]
increase is:
View Solution
If \[ A = \{ P(\alpha, \beta) \mid the tangent drawn at P to the curve y^3 - 3xy + 2 = 0 is a horizontal line \} \]
and B = Q(a, b) the tangent drawn at Q to the curve y^3 - 3xy + 2 = 0 is a vertical line
then n(A) + n(B) =
View Solution
In a \( \triangle ABC \), the sides \( b, c \) are fixed. In measuring angle \( A \), if there is an error of \( \delta A \), then the percentage error in measuring the length of the side \( a \) is:
View Solution
Consider the curves \( y = f(x) \) and \( x = g(y) \), and let \( P(x,y) \) be a common point of these curves.
If at \( P \), on the curve \( y = f(x) \),
\[ \frac{dy}{dx} = Q(x), \]
and at the same point \( P \) on the curve \( x = g(y) \),
\[ \frac{dx}{dy} = -Q(x), \]
then:
View Solution
If Rolle's Theorem is applicable for the function \[ f(x) = \begin{cases} x^p \log x, & x \neq 0
0, & x = 0 \end{cases} \]
on the interval \([0,1]\), then a possible value of \( p \) is:
View Solution
The sum of the maximum and minimum values of the function \[ f(x) = \frac{x^2 - x + 1}{x^2 + x + 1} \]
is:
View Solution
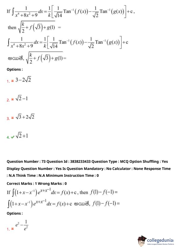
If \[ \int \frac{1}{x^4 + 8x^2 + 9} dx = \frac{1}{k} \left[ \frac{1}{\sqrt{14}} \tan^{-1} (f(x)) - \frac{1}{\sqrt{2}} \tan^{-1} (g(x)) \right] + c, \]
then \[ \frac{k}{\sqrt{2}} + f(\sqrt{3}) + g(1) = \]
View Solution
If \[ \int (1 + x - x^x) e^{x + x^x} dx = f(x) + c, \]
then \( f(1) - f(-1) = \)
View Solution
Evaluate the integral: \[ I = \int \frac{1}{x^m \sqrt[m]{x^m + 1}} dx. \]
View Solution
If \[ \int \sqrt{\csc x + 1} \, dx = k \tan^{-1} (f(x)) + c, \]
then \[ \frac{1}{k} f\left(\frac{\pi}{6}\right) = ? \]
View Solution
Evaluate the integral: \[ \frac{3}{25} \int_{0}^{25\pi} \sqrt{|\cos x - \cos^3 x|} \, dx. \]
View Solution
If the area of the region enclosed by the curve \( ay = x^2 \) and the line \( x + y = 2a \) is \( k a^3 \), then \( k \) is:
View Solution
If \( m, l, r, s, n \) are integers such that \( 9 > m > l > s > n > r > 2 \) and \[ \int_{0}^{\frac{\pi}{2}} \sin^n x \cos^r x \, dx = 4 \int_{0}^{\frac{\pi}{2}} \sin^m x \cos^r x \, dx, \] \[ \int_{0}^{\frac{\pi}{2}} \sin^l x \cos^r x \, dx = 4 \int_{0}^{\frac{\pi}{2}} \sin^s x \cos^r x \, dx, \] \[ \int_{0}^{\frac{\pi}{2}} \sin^n x \cos^r x \, dx = 0, \]
then the equation involving \( s, l, m, r \) is:
View Solution
The order and degree of the differential equation \[ \frac{dy}{dx} + \left( \frac{d^2y}{dx^2} + 2 \right)^{\frac{1}{2}} + \frac{d^3y}{dx^3} + 5 = 0 \]
are respectively:
View Solution
If \( y = \sin x + A \cos x \) is the general solution of \[ \frac{dy}{dx} + f(x)y = \sec x, \]
then an integrating factor of the differential equation is:
View Solution
Wave picture of light has failed to explain
View Solution
A capacitor of capacitance \( (4.0 \pm 0.2) \) \(\mu F\) is charged to a potential of \( (10.0 \pm 0.1) \) V. The charge on the capacitor is:
(4.0 \pm 0.2) \(\mu F\) :
View Solution
A body is thrown vertically upwards with a velocity of \( 35 \ ms^{-1} \) from the ground. The ratio of the speeds of the body at times 3 s and 4 s of its motion is:
View Solution
From a height of ‘h’ above the ground, a ball is projected up at an angle \( 30^\circ \) with the horizontal. If the ball strikes the ground with a speed of 1.25 times its initial speed of \( 40 \ ms^{-1} \), the value of ‘h’ is:
View Solution
A block is kept on a rough horizontal surface. The acceleration of the block increases from \( 6 \ ms^{-2} \) to \( 11 \ ms^{-2} \) when the horizontal force acting on it increases from \( 20 \ N \) to \( 30 \ N \). The coefficient of kinetic friction between the block and the surface is:
(Acceleration due to gravitiy = 10ms-^2)
View Solution
The kinetic energy of a body of mass \(4 \, kg\) moving with a velocity of \( (2\hat{i} - 4\hat{j} - \hat{k}) \, ms^{-1} \) is?
View Solution
A ball P of mass \( 0.5 \) kg moving with a velocity of \( 10 \, ms^{-1} \) collides with another ball Q of mass \( 1 \) kg at rest. If the coefficient of restitution is \( 0.4 \), the ratio of the velocities of the balls P and Q after the collision is?
View Solution
A circular plate of radius \( r \) is removed from a uniform circular plate P of radius \( 4r \) to form a hole. If the distance between the centre of the hole formed and the centre of the plate P is \( 2r \), then the distance of the centre of mass of the remaining portion from the centre of the plate P is?
View Solution
A hollow cylinder and a solid cylinder initially at rest at the top of an inclined plane are rolling down without slipping. If the time taken by the hollow cylinder to reach the bottom of the inclined plane is \( 2 \) s, the time taken by the solid cylinder to reach the bottom of the inclined plane is?
View Solution
A block kept on a frictionless horizontal surface is connected to one end of a horizontal spring of constant \( 100 \, Nm^{-1} \), whose other end is fixed to a rigid vertical wall. Initially, the block is at its equilibrium position. The block is pulled to a distance of \( 8 \) cm and released. The kinetic energy of the block when it is at a distance of \( 3 \) cm from the mean position is?
View Solution
The ratio of the radii of a planet and the earth is \( 1:2 \), the ratio of their mean densities is \( 4:1 \). If the acceleration due to gravity on the surface of the earth is \( 9.8 \, ms^{-2} \), then the acceleration due to gravity on the surface of the planet is?
View Solution
A wire of cross-sectional area \( 10^{-6} \, m^2 \) is elongated by \( 0.1 % \) when the tension in it is \( 1000 \, N \). The Young’s modulus of the material of the wire is (Assume radius of the wire is constant)?
View Solution
The work done in blowing a soap bubble of volume \( V \) is \( W \). The work done in blowing the bubble of volume \( 2V \) from the same soap solution is?
View Solution
Three identical vessels are filled up to the same height with three different liquids A, B, and C of densities \( \rho_A \), \( \rho_B \), and \( \rho_C \) respectively. If \( \rho_A > \rho_B > \rho_C \), then the pressure at the bottom of the vessels is?
View Solution
Steam of mass 60 g at a temperature \( 100^\circ C \) is mixed with water of mass 360 g at a temperature \( 40^\circ C \). The ratio of the masses of steam and water in equilibrium is?
\textit{(Latent heat of steam = \( 540 \) cal/g and specific heat capacity of water = \( 1 \) cal/g\(^\circ C\))
View Solution
The temperature difference between the ends of two cylindrical rods A and B of the same material is \( 2:3 \). In steady state, the ratio of the rates of flow of heat through the rods A and B is \( 5:9 \). If the radii of the rods A and B are in the ratio \( 1:2 \), then the ratio of lengths of the rods A and B is?
View Solution
When \( Q \) amount of heat is supplied to a monatomic gas, the work done by the gas is \( W \). When \( Q_1 \) amount of heat is supplied to a diatomic gas, the work done by the gas is \( 2W \). Then \( Q:Q_1 \) is:
View Solution
The temperature at which the rms speed of oxygen molecules is 75% of the rms speed of nitrogen molecules at a temperature of \( 287^\circ C \) is:
View Solution
The path difference between two particles of a sound wave is \( 50 \) cm and the phase difference between them is \( 1.8\pi \). If the speed of sound in air is \( 340 \) m/s, the frequency of the sound wave is?
View Solution
A source at rest emits sound waves of frequency \( 102 \) Hz. Two observers are moving away from the source of sound in opposite directions each with a speed of \( 10% \) of the speed of sound. The ratio of the frequencies of sound heard by the observers is?
View Solution
The power of a thin convex lens placed in air is \( +4D \). The refractive index of the material of the convex lens is \( \frac{3}{2} \). If this convex lens is immersed in a liquid of refractive index \( \frac{5}{3} \), then:
View Solution
The refractive index of the material of a small angled prism is \( 1.6 \). If the angle of minimum deviation is \( 4.2^\circ \), the angle of the prism is?
View Solution
The Brewster angle for air to glass transition of light is
\textit{(Refractive index of glass = \( 1.5 \))
View Solution
A proton and an \( \alpha \) particle are both accelerated from rest in a uniform electric field. The ratio of works done by the electric field on the proton and the \( \alpha \)-particle in a given time is?
View Solution
Two capacitors of capacitances \( 1\mu F \) and \( 2\mu F \) can separately withstand potentials of \( 6 \) kV and \( 4 \) kV respectively. The total potential, they together can withstand when they are connected in series is:
View Solution
The resistance of a wire is \(2.5 \Omega\) at a temperature \(373 K\). If the temperature coefficient of resistance of the material of the wire is \(3.6 \times 10^{-3} K^{-1}\), its resistance at a temperature \(273 K\) is nearly:
View Solution
When two identical resistors are connected in series to an ideal cell, the current through each resistor is \( 2 \) A. If the resistors are connected in parallel to the cell, the current through each resistor is?
View Solution
An electron falling freely under the influence of gravity enters a uniform magnetic field directed towards south. The electron is initially deflected towards?
View Solution
Two long straight parallel wires A and B separated by \( 5 \) m carry currents \( 2 \) A and \( 6 \) A respectively in the same direction. The resultant magnetic field due to the two wires at a point \( 2 \) m distance from the wire A in between the two wires is?
View Solution
A short bar magnet placed in a uniform magnetic field making an angle with the field experiences a torque. If the angle made by the magnet with the field is changed from \(30^\circ\) to \(45^\circ\), the torque on the magnet?
View Solution
The mutual inductance of two coils is \( 8 \) mH. The current in one coil changes according to the equation \( I = 12 \sin 100t \), where \( I \) is in amperes and \( t \) is time in seconds. The maximum value of emf induced in the second coil is?
View Solution
An inductor of inductive reactance \( R \), a capacitor of capacitive reactance \( 2R \), and a resistor of resistance \( R \) are connected in series to an AC source. The power factor of the series LCR circuit is?
View Solution
The efficiency of a bulb of power \( 60 \) W is \( 16% \). The peak value of the electric field produced by the electromagnetic radiation from the bulb at a distance of \( 2 \) m from the bulb is?
\[ \left(\frac{1}{4\pi \epsilon_0} = 9 \times 10^9 Nm^2C^{-2} \right) \]
View Solution
The work function of a photosensitive metal surface is \( 1.1 \) eV. Two light beams of energies \( 1.5 \) eV and \( 2 \) eV incident on the metal surface. The ratio of the maximum velocities of the emitted photoelectrons is?
View Solution
The ground state energy of a hydrogen atom is \( -13.6 \) eV. The potential energy of the electron in the first excited state of hydrogen is?
View Solution
After the decay of a single \( \beta^- \) particle, the parent and daughter nuclei are?
View Solution
A \(_{92}^{238}U\) nucleus decays to a \(_{82}^{206}Pb\) nucleus. The number of \( \alpha \) and \( \beta^- \) particles emitted are?
View Solution
In an n-type semiconductor, electrons are majority charge carriers and holes are minority charge carriers. The charge of an n-type semiconductor is?
View Solution
The region in the output voltage versus input voltage graph where a transistor can be used as an amplifier is?
View Solution
For an amplitude modulated wave, the maximum and minimum amplitudes are found to be \( 10 \) V and \( 2 \) V respectively. Then the modulation index is?
View Solution
The wavelength of an electron is \( 10^3 \) nm. What is its momentum in kg m s\(^{-1}\)?
h = 6.625 x \(10^-34\) Js
View Solution
Two statements are given below:
Statement I: In H atom, the energy of 2s and 2p orbitals is the same.
Statement II: In He atom, the energy of 2s and 2p orbitals is the same.
View Solution
The set containing the elements with positive electron gain enthalpies is?
View Solution
Assertion (A): The ionic radii of \( Na^+ \) and \( F^- \) are the same.
Reason (R): Both \( Na^+ \) and \( F^- \) are isoelectronic species.
View Solution
The number of lone pairs of electrons on the central atom of \( ClF_3, NF_3, SF_4, XeF_4 \) respectively are?
View Solution
The hybridisation of the central atom of \( BF_3 \), \( SnCl_2 \), \( HgCl_2 \), respectively is?
View Solution
The variation of volume of an ideal gas with its number of moles (\( n \)) is obtained as a graph at 300 K and 1 atm pressure. What is the slope of the graph?
View Solution
Observe the following reaction:
\[ 2KClO_3 (s) \xrightarrow{\Delta} 2KCl (s) + 3O_2 (g) \]
In this reaction:
View Solution
The \( \Delta_f H^\theta \) of \( AO_3(s) \), \( BO_2(s) \), and \( ABO_3(s) \) is -635, \( x \), and -1210 kJ mol\(^{-1}\) respectively. The reaction: ABO_3 (s) \rightarrow AO (s) + BO_2 (g)
Has an enthalpy change of \( \Delta_r H^\theta = 175 \) kJ mol\(^{-1}\). What is the value of \( x \) (in kJ mol\(^{-1}\))?
View Solution
At 27°C, 100 mL of 0.5 M HCl is mixed with 100 mL of 0.4 M NaOH solution. To this resultant solution, 800 mL of distilled water is added. What is the pH of the final solution?
View Solution
The proper conditions of storing \( H_2O_2 \) are:
View Solution
The standard electrode potentials \( E^\circ (V) \) for \( Li^+/Li \), \( Na^+/Na \) respectively are:
View Solution
The alloy formed by beryllium with 'X' is used in the preparation of high-strength springs. 'X' is:
View Solution
What are \( X \) and \( Y \) respectively in the following reactions?
X \xrightarrow{\text{CO B_2H_6 \xrightarrow{\text{NaH \xrightarrow{(C_2H_5)_2O Y
View Solution
Which of the following statements are correct?
(i) \( CCl_4 \) undergoes hydrolysis easily.
(ii) Diamond has directional covalent bonds.
(iii)Fullerene is the thermodynamically most stable allotrope of carbon.
(iv)Glass is a man-made silicate.
View Solution
Which of the following industries generate non-biodegradable wastes?
View Solution
Possible number of isomers including stereoisomers for an organic compound with the molecular formula \( C_4H_9Br \) is:
View Solution
The alkane which is next to methane in the homologous series can be prepared from which of the following reactions?
View Solution
At high pressure and regulated supply of air, methane is heated with catalyst ‘X’ to give methanol and with catalyst ‘Y’ to give methanal. \( X \) and \( Y \) respectively are:
View Solution
What is ‘Y’ in the following set of reactions?
\[ C_4H_8 \xrightarrow{H_2O, H_2SO_4, 333K} X \xrightarrow{(i) O_3, (ii) Zn + H_2O} Y \]
The molecular formula of a crystal is \( AB_2O_4 \). Oxygen atoms form a close-packed lattice. Atoms of A occupy \( x% \) of tetrahedral voids and atoms of B occupy \( y% \) of octahedral voids. \( x \) and \( y \) are respectively:
View Solution
At T(K), 0.1 moles of a non-volatile solute was dissolved in 0.9 moles of a volatile solvent. The vapour pressure of pure solvent is 0.9 bar. What is the vapour pressure (in bar) of the solution?
View Solution
Two statements are given below:
Statement I: Molten NaCl is electrolysed using Pt electrodes. \( Cl_2 \) is liberated at the anode.
Statement II: Aqueous CuSO\(_4\) is electrolysed using Pt electrodes. \( O_2 \) is liberated at the cathode.
The correct answer is:
View Solution
For a first-order reaction, the graph between \( \log \frac{a}{(a - x)} \) (on y-axis) and time (in min, on x-axis) gave a straight line passing through the origin. The slope is \( 2 \times 10^{-3} \) min\(^{-1}\). What is the rate constant (in min\(^{-1}\))?
View Solution
In Haber’s process of manufacture of ammonia, the ‘catalyst’, the ‘promoter’, and ‘poison for the catalyst’ are respectively:
View Solution
Among the following, the calcination process is:
View Solution
The correct order of boiling points of hydrogen halides is:
View Solution
Observe the following reactions (unbalanced):
P_2O_3 + H_2O - X
P_4O_10 + H_2O - Y
The number of \( P=O \) bonds present in \( X, Y \) are respectively:
(1) \( 1, 3 \)
View Solution
Carbon on reaction with hot conc. \( H_2SO_4 \), gives two oxides along with \( H_2O \). What is the nature of these two oxides?
View Solution
Which of the following orders is correct for the property given?
View Solution
Arrange the following in increasing order of their crystal field splitting energy:

View Solution
What are ‘X’ and ‘Y’ respectively in the following reactions?
Two statements are given below:
I. Milk sugar is a disaccharide of \( \alpha \)-D-galactose and \( \beta \)-D-glucose.
II. Sucrose is a disaccharide of \( \alpha \)-D-glucose and \( \beta \)-D-fructose.
The correct answer is:
View Solution
The effects that aspirin can produce in the body are:
\flushleft
View Solution
The reagent ‘X’ used in the following reaction to obtain a good yield of the product is:
\flushleft
View Solution
The \( C-O-H \) bond angle in A is \( X \) and \( C-O-C \) bond angle in B is \( Y \). What are X and Y?
\flushleft
View Solution
IUPAC name of the following compound is:
\flushleft
View Solution
The bromides formed by the cleavage of ethers A and B with HBr respectively are:
Identify the set, in which X and Y are correctly matched:
\flushleft
View Solution
What are X and Y respectively in the following reactions?
\flushleft
View Solution
Also Check:
TS EAMCET Previous Year Question Papers
| TS EAMCET 2023 Question Paper | TS EAMCET 2022 Question Paper |
| TS EAMCET 2021 Question Paper | TS EAMCET 2020 Question Paper |
| TS EAMCET 2019 Question Paper | TS EAMCET 2018 Question Paper |
Also Check:



Comments