TS EAMCET 2024 Question Paper May 10 Shift 1 with Answer Key PDF is available here for download. JNTU, Hyderabad on behalf of TSCHE conducted TS EAMCET on May 10 from 9 AM to 12 PM. TS EAMCET 2024 Question Paper consists of 160 questions carrying 1 mark each. TS EAMCET 2024 Question Paper May 10 Shift 1 PDF for MPC includes three subjects, Physics, Chemistry and Mathematics. The Physics and Chemistry section of the paper includes 40 questions each while the Mathematics section includes a total of 80 questions.
TS EAMCET 2024 Question Paper with Answer Key May 10 Shift 1 PDF
| TS EAMCET 2024 Question Paper with Answer Key | Check Solution |
If the real valued function \( f(x) = \sin^{-1}(x^2 - 1) - 3\log_3(3^x - 2) \) is not defined for all \( x \in (-\infty, a] \cup (b, \infty) \), then what is \( 3^a + b^2 \)?
View Solution
If \( f \) is a real valued function from \( A \) onto \( B \) defined by \( f(x) = \frac{1}{\sqrt{|x| - |x|}} \), then \( A \cap B \) is:
View Solution
Among the following four statements, the statement which is not true, for all \( n \in N \) is:
View Solution
If x y y
y x y
y y x and
\( 5A^{-1} =
-3 2 2
2 -3 2
2 2 -3 , then \( A^2 - 4A \) is:
View Solution
If \( A = 9 3 0
1 5 8
7 6 2 and
\( A^T A^{-2} = a_{11} a_{12} a_{13}
a_{21} a_{22} a_{23}
a_{31} a_{32} a_{33} , then \( \sum_{1 \leq i \leq 3} \sum_{1 \leq j \leq 3} a_{ij} \) is:
View Solution
If \( a \neq b \neq c \), then
\[ \Delta_1 = \begin{vmatrix} 1 & a^2 & bc
1 & b^2 & ca
1 & c^2 & ab \end{vmatrix}, \quad \Delta_2 = \begin{vmatrix} 1 & 1 & 1
a^2 & b^2 & c^2
a^3 & b^3 & c^3 \end{vmatrix} \]
and \( \frac{\Delta_1}{\Delta_2} = \frac{6}{11} \), then what is \( 11(a + b + c) \)?
View Solution
The system of equations \( x + 3y + 7 = 0 \), \( 3x + 10y - 3z + 18 = 0 \), and \( 3y - 9z + 2 = 0 \) has:
View Solution
If \( x \) and \( y \) are two positive real numbers such that \( x + iy = \frac{13\sqrt{5} + 12i}{(2 - 3i)(3 + 2i)} \), then \( 13y - 26x = \):
View Solution
If \( z = x + iy \) and the point \( P \) represents \( z \) in the Argand plane, then the locus of \( z \) satisfying the equation \( |z-1| + |z+i| = 2 \) is:
View Solution
One of the values of \( (-64i)^{5/6} \) is:
View Solution
If \( \alpha, \beta \) are the roots of the equation \( x + \frac{4}{x} = 2\sqrt{3} \), then \( \frac{2}{\sqrt{3}}\left| \alpha^{2024} - \beta^{2024} \right| \) is:
View Solution
If \( \alpha, \beta \) are the real roots of the equation \( 12x^\frac{1}{3} - 25x^\frac{1}{6} + 12 = 0 \), if \( \alpha > \beta \), then \( 6\sqrt{\frac{\alpha}{\beta}} = \):
View Solution
If the expression \( 7 + 6x - 3x^2 \) attains its extreme value \( \beta \) at \( x = \alpha \), then the sum of the squares of the roots of the equation \( x^2 + ax - \beta = 0 \) is:
View Solution
If \( \alpha, \beta, \gamma \) are the roots of the equation \( x^3 + 3x^2 - 10x - 24 = 0 \). If \( \alpha > \beta > \gamma \) and \( \alpha^3 + 3\beta^2 - 10\gamma - 24 = 11k \), then \( k = \):
View Solution
If \( \alpha, \beta, \gamma \) are the roots of the equation \( 8x^3 - 42x^2 + 63x - 27 = 0 \), If \( \beta < \gamma < \alpha \) and \( \beta, \gamma, \alpha \) are in geometric progression, then the extreme value of the expression \( \gamma x^2 + 4\beta x + \alpha \) is:
View Solution
All the letters of the word 'COLLEGE' are arranged in all possible ways and all the seven letter words (with or without meaning) thus formed are arranged in the dictionary order. Then the rank of the word 'COLLEGE' is:
View Solution
If all the possible 3-digit numbers are formed using the digits 1, 3, 5, 7, 9 without repeating any digit, then the number of such 3-digit numbers which are divisible by 3 is:
View Solution
A question paper has 3 parts A, B, C. Part A contains 7 questions, part B contains 5 questions and Part C contains 3 questions. If a candidate is allowed to answer not more than 4 questions from part A; not more than 3 questions from part B and not more than 2 questions from part C, then the number of ways in which a candidate can answer exactly 7 questions is:
View Solution
If \( p \) and \( q \) are the real numbers such that the 7th term in the expansion of \( \left( \frac{5}{p^3} \cdot \frac{3q}{7} \right)^8 \) is 700, then \( 49p^2 = \):
View Solution
If \( T_4 \) represents the 4th term in the expansion of \( \left( 5x + \frac{7}{x} \right)^{-\frac{3}{2}} \) and \( x \not\in \left[ \frac{\sqrt{7}}{5}, \frac{\sqrt{7}}{5} \right] \), then \( \left( x^3 \cdot \sqrt{5x} \right) T_4 = \):
View Solution
If \( \frac{2x^3 + 1}{2x^2 - x - 6} = ax + b + \frac{A}{px - 2} + \frac{B}{2x + q} \), then \( 51apB = \):
View Solution
If \( \tan A = -\frac{60}{11} \) and A does not lie in the 4th quadrant. \( \sec B = \frac{41}{9} \) and B does not lie in the 1st quadrant. If \( \csc A + \cot B = K \), then \( 24K = \):
View Solution
If \( \tan A + \tan B + \cot A + \cot B = \tan A \tan B - \cot A \cot B \) and \( 0^\circ < A + B < 270^\circ \), then \( A + B = \):
View Solution
If \( \cos^2 84^\circ + \sin^2 126^\circ - \sin 84^\circ \cos 126^\circ = K \) and \( \cot A + \tan A = 2K \), then the possible values of \( \tan A \) are:
View Solution
The equation that is satisfied by the general solution of the equation \( 4 - 3 \cos \theta = 5 \sin \theta \cos \theta \) is:
View Solution
If \( \sin^{-1}(4x) - \cos^{-1}(3x) = \frac{\pi}{6} \), then \( x = \):
View Solution
If \( \sin h^{-1}(-\sqrt{3}) + \cos h^{-1}(2) = K \), then \( \cosh K = \):
View Solution
In triangle ABC, if \( a = 4, b = 3, c = 2 \), then \( 2(a - b \cos C)(a - c \sec B) = \):
View Solution
In triangle ABC, if \( A = 45^\circ \), \( C = 75^\circ \), and \( R = \sqrt{2} \), then the value of \( r \) is:
View Solution
P and Q are the points of trisection of the line segment AB. If the position vectors of A and B are \( 2\hat{i} - 5\hat{j} + 3\hat{k} \) and \( 4\hat{i} + \hat{j} - 6\hat{k} \) respectively, then the position vector of the point that divides PQ in the ratio 2:3 is:
View Solution
The position vector of the point of intersection of the line joining the points \( \mathbf{i} - \mathbf{j} + \mathbf{k} \) and the line joining the points \( 2\mathbf{i} + \mathbf{j} - 6\mathbf{k} \), \( 3\mathbf{i} - \mathbf{j} - 7\mathbf{k} \) is:
View Solution
If \( \mathbf{a} = 4\hat{i} + 5\hat{j} - 3\hat{k} \) and \( \mathbf{b} = 6\hat{i} - 2\hat{j} - 2\hat{k} \) are two vectors, then the magnitude of the component of \( \mathbf{b} \) parallel to \( \mathbf{a} \) is:
View Solution
A plane \( \pi_1 \) passing through the point \( 3\hat{i} - 7\hat{j} + 5\hat{k} \) is perpendicular to the vector \( \hat{i} + 2\hat{j} - 2\hat{k} \) and another plane \( \pi_2 \) passing through the point \( 2\hat{i} + 7\hat{j} - 8\hat{k} \) is perpendicular to the vector \( 3\hat{i} + 2\hat{j} + 6\hat{k} \). If \( p_1 \) and \( p_2 \) are the perpendicular distances from the origin to the planes \( \pi_1 \) and \( \pi_2 \) respectively, then \( p_1 - p_2 \) is:
View Solution
If \( \mathbf{a} = 2\overline{i} - \overline{j}, \overline{b} = 2\overline{j} - \overline{k}, \overline{c} = 2\overline{k} - \overline{i} \) are three vectors and \( \overline{d} \) is a unit vector perpendicular to \( \overline{c} \), If \( \overline{a}, \overline{b}, \overline{d} \) are coplanar vectors, then \( |\overline{d} \cdot \overline{b}| = \):
View Solution
If \( M_1 \) is the mean deviation from the mean of the discrete data \( 44, 5, 27, 20, 8, 54, 9, 14, 35 \) and \( M_2 \) is the mean deviation from the median of the same data, then \( M_1 - M_2 = \):
View Solution
If two dice are thrown, then the probability of getting co-prime numbers on the dice is:
View Solution
If two cards are drawn at random simultaneously from a well shuffled pack of 52 playing cards, then the probability of getting a card having a composite number and a card having a number which is a multiple of 3 is:
View Solution
Bag \( P \) contains 3 white, 2 red, 5 blue balls and bag \( Q \) contains 2 white, 3 red, 5 blue balls. A ball is chosen at random from \( P \) and is placed in \( Q \). If a ball is chosen from bag \( Q \) at random, then the probability that it is a red ball is:
View Solution
If the probability distribution of a random variable \( X \) is as follows, then the variance of \( X \) is:
\[ X = x \quad 2 \quad 3 \quad 5 \quad 9 \] \[ P(X = x) = k \quad 2k \quad 3k^2 \quad k^2 \]
View Solution
The mean of a binomial variate \( X \sim B(n, p) \) is 1. If \( n > 2 \) and \( P(X = 2) = \frac{27}{128} \), then the variance of the distribution is:
View Solution
If the distance from a variable point \( P \) to the point \( (4,3) \) is equal to the perpendicular distance from \( P \) to the line \( x + 2y - 1 = 0 \), then the equation of the locus of the point \( P \) is:
View Solution
(0, k) is the point to which the origin is to be shifted by the translation of the axes so as to remove the first degree terms from the equation \( ax^2 - 2xy + by^2 - 2x + 4y + 1 = 0 \) and \( \frac{1}{2} \tan^{-1}(2) \) is the angle through which the coordinate axes are to be rotated about the origin to remove the \( xy \)-term from the given equation, then \( a + b = \):
View Solution
If \( \beta \) is the angle made by the perpendicular drawn from origin to the line \( L = x + y - 2 = 0 \) with the positive X-axis in the anticlockwise direction. If \( a \) is the X-intercept of the line \( L = 0 \) and \( p \) is the perpendicular distance from the origin to the line \( L = 0 \), then \( \tan \beta + p^2 = \):
View Solution
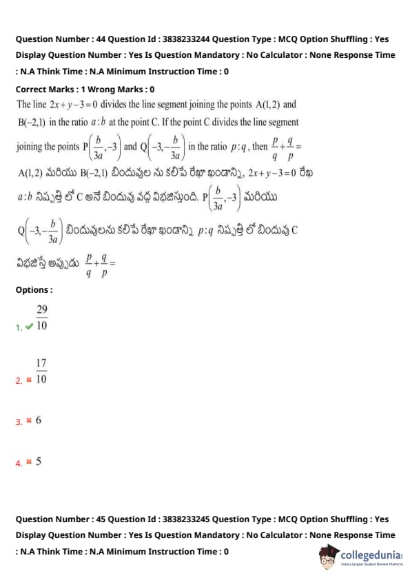
The line \( 2x + y - 3 = 0 \) divides the line segment joining the points \( A(1,2) \) and \( B(2,-1) \) in the ratio \( a:b \) at the point \( C \). If the point \( C \) divides the line segment joining the points \( P\left( \frac{b}{3a}, -3 \right) \) and \( Q\left( -3, \frac{-b}{3a} \right) \) in the ratio \( p:q \), then \( \frac{p}{q} + \frac{q}{p} = \):
View Solution
If \( Q \) and \( R \) are the images of the point \( P(2,3) \) with respect to the lines \( x - y + 2 = 0 \) and \( 2x + y - 2 = 0 \) respectively, then \( Q \) and \( R \) lie on
View Solution
If \( (2, -1) \) is the point of intersection of the pair of lines \[ 2x^2 + axy + 3y^2 + bx + cy - 3 = 0 \quad then \quad 3a + 2b + c = \]
View Solution
If \( (l, k) \) is a point on the circle passing through the points \( (-1, 1) \), \( (0, -1) \), and \( (1, 0) \), and if \( k \neq 0 \), then find \( k \).
View Solution
If the tangents \( x + y + k = 0 \) and \( x + ay + b = 0 \) drawn to the circle \( S : x^2 + y^2 + 2x - 2y + 1 = 0 \) are perpendicular to each other and \( k, b \) are both greater than 1, then find \( b - k \).
View Solution
If \( (h, k) \) is the internal center of similitude of the circles \( x^2 + y^2 + 2x - 6y + 1 = 0 \) and \( x^2 + y^2 - 4x + 2y + 4 = 0 \), then find \( 4h \).
View Solution
The slope of a common tangent to the circles \( x^2 + y^2 - 4x - 8y + 16 = 0 \) and \( x^2 + y^2 - 6x - 16y + 64 = 0 \) is:
View Solution
The circles \(x^2 + y^2 + 2x - 6y - 6 = 0\) and \(x^2 + y^2 - 6x - 2y + k = 0\) are two intersecting circles and \(k\) is not an integer. If \( \theta \) is the angle between the two circles and \( \cos \theta = -\frac{5}{24} \), then find \( k \).
View Solution
If \( (p, q) \) is the center of the circle which cuts the three circles \( x^2 + y^2 - 2x - 4y + 4 = 0 \), \( x^2 + y^2 + 2x - 4y + 1 = 0 \), and \( x^2 + y^2 - 4x - 2y - 11 = 0 \) orthogonally, then find \( p + q \).
View Solution
If the focal chord of the parabola \( x^2 = 12y \) drawn through the point \( (3, 0) \) intersects the parabola at the points P and Q, then the sum of the reciprocals of the abscissae of the points P and Q is:
View Solution
If the normal drawn at the point \( P(9, 9) \) on the parabola \( y^2 = 9x \) meets the parabola again at \( Q(a, b) \), then \( 2a + b = ? \)
View Solution
The length of the latus rectum of the ellipse \( \frac{x^2}{a^2} + \frac{y^2}{b^2} = 1 \) \( (a > b) \) is \( \frac{8}{3} \). If the distance from the center of the ellipse to its focus is \( \sqrt{5} \), then \( \sqrt{a^2 + 6ab + b^2} = ? \)
View Solution
S' is the focus of the ellipse \( \frac{x^2}{25} + \frac{y^2}{b^2} = 1, (b < 5) \) lying on the negative X-axis and \( P(\theta) \) is a point on this ellipse. If the distance between the foci of this ellipse is 8 and \( S'P = 7 \), then \( \theta \) is:
View Solution
The slope of the tangent drawn from the point \( (1,1) \) to the hyperbola \( 2x^2 - y^2 = 4 \) is:
View Solution
The vertices of triangle \( \Delta ABC \) are \( A(2, 3, k) \), \( B(-1, k, -1) \), and \( C(4, -3, 2) \). If \( AB = AC \) and \( k > 0 \), then the triangle \( ABC \) is:
View Solution
If \( A(1, 2, -3) \), \( B(2, 3, -1) \), and \( C(3, 1, 1) \) are the vertices of triangle \( \Delta ABC \), then find \( \left| \frac{\cos A}{\cos B} \right|.\)
View Solution
If \( a, b, c \) are the intercepts made on X, Y, Z-axes respectively by the plane passing through the points \( (1, 0, -2) \), \( (3, -1, 2) \), and \( (0, -3, 4) \), then \( 3a + 4b + 7c = \)?
View Solution
If \( \lim_{x \to 4} \frac{2x^2 + (3+2a)x + 3a}{x^3 - 2x^2 - 23x + 60} = \frac{11}{9} \), then find \( \lim_{x \to a} \frac{x^2 + 9x + 20}{x^2 - x - 20} \).
View Solution
If the function \( f(x) \) is given by \[ f(x) = \begin{cases} \frac{\tan(a(x-1))}{\frac{x-1}{x}}, & if 0 < x < 1
\frac{x^3-125}{x^2 - 25} , & if 1 \leq x \leq 4
\frac{b^x - 1}{x}, & if x > 4 \end{cases} \]
is continuous in its domain, then find \( 6a + 9b^4 \).
View Solution
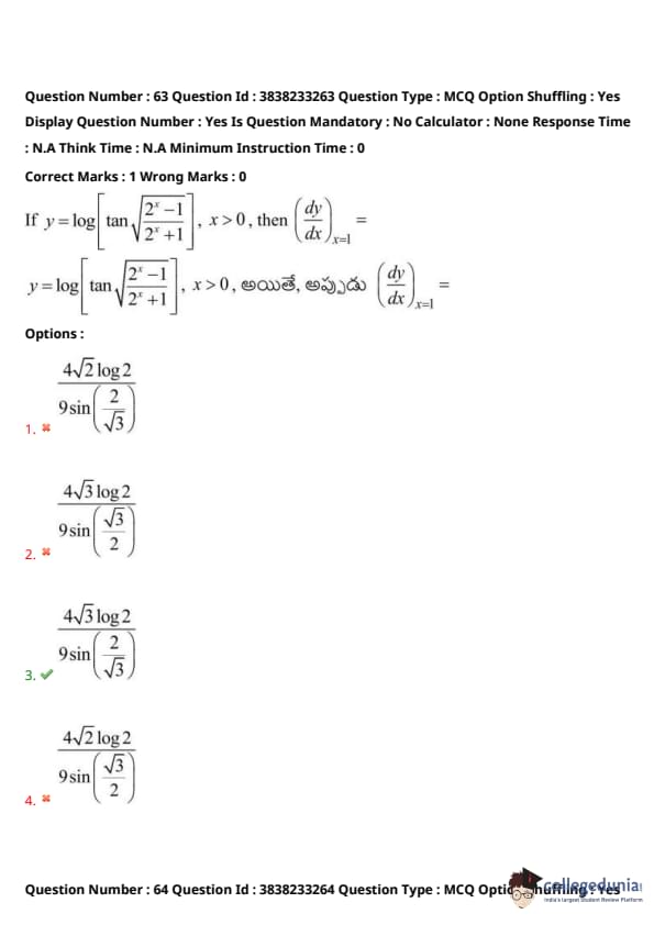
If \( y = \log \left[ \tan \left( \sqrt\frac{2x - 1}{2x + 1} \right) \right] \) for \( x > 0 \), then find \[ \left( \frac{dy}{dx} \right)_{x = 1}. \]
View Solution
If \( y = \cos^{-1}\left( \frac{6x^2 - 2x^2 - 4}{2x^2 - 6x + 5} \right) \), then find \( \frac{dy}{dx} \).
View Solution
If \( \log y = y^{\log x} \), then \( \frac{dy}{dx} \) is:
View Solution
If \( y = a \cos 3x + b e^{-x} \), then \( y'(3\sin 3x - \cos 3x) = \):
View Solution
The approximate value of \( \sec 59^\circ \) obtained by taking \( 1^\circ = 0.0174 \) and \( \sqrt{3} = 1.732 \) is:
View Solution
The equation of the normal drawn to the curve \( y^3 = 4x^5 \) at the point \( (4,16) \) is:
View Solution
A point \( P \) is moving on the curve \( x^3 y^4 = 27 \). The x-coordinate of \( P \) is decreasing at the rate of 8 units per second. When the point \( P \) is at \( (2, 2) \), the y-coordinate of \( P \) is:
View Solution
If the function \( f(x) = x^3 + ax^2 + bx + 40 \) satisfies the conditions of Rolle’s theorem on the interval \( [-5, 4] \) and \( -5, 4 \) are two roots of the equation \( f(x) = 0 \), then one of the values of \( c \) as stated in that theorem is:
View Solution
If \( x \) and \( y \) are two positive integers such that \( x + y = 24 \) and \( x^3 y^5 \) is maximum, then \( x^2 + y^2 \) is:
View Solution
Evaluate the integral: \[ \int 4\cos^2 x - 5\sin^2 x \cos x \, dx. \]
View Solution
Evaluate the integral: \[ \int \frac{4\tan^4 x + 3 \tan^2 x - 1}{\tan^2 x + 4} \, dx. \]
View Solution
Evaluate the integral: \[ \int \frac{(\sin^4x + 2\cos^2x - 1) \cos x}{(1 + \sin x)^6} \, dx \]
View Solution
Evaluate the integral: \[ \int (\log x)^3 \, dx \]
View Solution
Evaluate the integral: \[ \int \left( \sin^3 x + \cos^2 x \right)^2 \, dx \]
View Solution
Evaluate the integral: \[ I = \int_{-\frac{\pi}{8}}^{\frac{\pi}{8}} \frac{\sin^4(4x)}{1 + e^{4x}} \, dx \]
View Solution
The area of the region enclosed by the curves \( y^2 = 4(x+1) \) and \( y^2 = 5(x-4) \) is:
View Solution
If A and B are arbitrary constants, then the differential equation having \[ y = Ae^{-x} + B \cos x \]
as its general solution is:
View Solution
The general solution of the differential equation \[ \frac{dy}{dx} + \frac{\sin(2x + y)}{\cos x} + 2 = 0 \]
is:
View Solution
Which of the following statements regarding the nature of physical laws is NOT correct?
View Solution
The internal and external diameters of a hollow cylinder measured with vernier calipers are (5.73 \(\pm\) 0.01) cm and (6.01 \(\pm\) 0.01) cm respectively. Then the thickness of the cylinder wall is
View Solution
A body moving with uniform acceleration travels a distance of 25 m in the fourth second and 37 m in the sixth second. The distance covered by the body in the next two seconds is
View Solution
A body is projected from the ground at an angle of \( \tan^{-1}\sqrt{7} \) with the horizontal. At half of the maximum height, the speed of the body is \( n \) times the speed of projection. The value of \( n \) is
View Solution
An aircraft executes a horizontal loop of radius 9 km at a constant speed of 540 km/h. The wings of the aircraft are banked at an angle of
View Solution
A body thrown vertically upwards from the ground reaches a maximum height ‘h’. The ratio of the kinetic and potential energies of the body at a height 40% of h from the ground is
View Solution
A ball of mass 1.2 kg moving with a velocity of 12 ms\(^{-1}\) makes a one-dimensional collision with another stationary ball of mass 1.2 kg. If the coefficient of restitution is \( \frac{1}{\sqrt{2}} \), then the ratio of the total kinetic energy of the balls after the collision to the initial kinetic energy is
View Solution
An alphabet ‘T’ made of two similar thin uniform metal plates of each length \( L \) and width \( a \) is placed on a horizontal surface as shown in the figure. If the alphabet is vertically inverted, the shift in the position of its center of mass from the horizontal surface is:
View Solution
A solid sphere and a disc of same mass \(M\) and radius \(R\) are kept such that their curved surfaces are in contact and their centers lie along the same horizontal line. The moment of inertia of the two body system about an axis passing through their point of contact and perpendicular to the plane of the disc is:
View Solution
If a body is dropped freely from a height of 20 m and reaches the surface of a planet with a velocity of 31.4 m/s, then the length of a simple pendulum that ticks seconds on the planet is:
View Solution
Two stars of masses \( M \) and \( 2M \) that are at a distance \( d \) apart, are revolving one around another. The angular velocity of the system of two stars is:
View Solution
A block of mass 2 kg is tied to one end of a 2 m long metal wire of 1.0 mm² area of cross-section and rotated in a vertical circle such that the tension in the wire is zero at the highest point. If the maximum elongation in the wire is 2 mm, the Young’s modulus of the metal is:
View Solution
A big liquid drop splits into ‘n’ similar small drops under isothermal conditions, then in this process:
View Solution
A wooden cube of side 10 cm floats at the interface between water and oil with its lower surface 3 cm below the interface. If the density of oil is 0.9 g/cm³, the mass of the wooden cube is:
View Solution
37 g of ice at 0°C is mixed with 74 g of water at 70°C. The resultant temperature is:
View Solution
The thickness of a uniform rectangular metal plate is 5 mm and the area of each surface is 3750 cm\(^2\). In steady state, the temperature difference between the two surfaces of the plate is 14°C. If the heat flowing through the plate in one second from one surface to the other surface is 42 J, then the thermal conductivity of the metal is:
View Solution
The ratio of the specific heat capacities of a gas is 1.5. When the gas undergoes an adiabatic process, its volume is doubled and pressure becomes \( P_1 \). When the gas undergoes isothermal process, its volume is doubled and pressure becomes \( P_2 \). If \( P_1 = P_2 \), the ratio of the initial pressures of the gas when it undergoes adiabatic and isothermal processes is:
View Solution
A vessel contains hydrogen and nitrogen gases in the ratio 2:3 by mass. If the temperature of the mixture of the gases is 30°C, then the ratio of the average kinetic energies per molecule of hydrogen and nitrogen gases is:
View Solution
The difference between the fundamental frequencies of an open pipe and a closed pipe of the same length is 100 Hz. The difference between the frequencies of the second harmonic of the open pipe and the third harmonic of the closed pipe is:
View Solution
The displacement equations of sound waves produced by two sources are given by: \( y_1 = 5 \sin(400t) \) and \( y_2 = 8 \sin(408t) \), where \( t \) is time in seconds. If the waves are produced simultaneously, the number of beats produced per minute is:
View Solution
When an object of height 12 cm is placed at a distance from a convex lens, an image of height 18 cm is formed on a screen. Without changing the positions of the object and the screen, if the lens is moved towards the screen, another clear image is formed on the screen. The height of this image is.
View Solution
A thin plano-convex lens of focal length 73.5 cm has a circular aperture of diameter 8.4 cm. If the refractive index of the material of the lens is \( \frac{5}{3} \), then the thickness of the lens is nearly.
View Solution
In Young's double slit experiment, intensity of light at a point on the screen where the path difference becomes \( \lambda \) is I. The intensity at a point on the screen where the path difference becomes \( \frac{\lambda}{3} \) is,
View Solution
Two point charges -10 µC and +5 µC are situated on the X-axis at \( x = 0 \) and \( x = \sqrt{2} \, m \). The point along the X-axis where the electric field becomes zero is.
View Solution
A 10 µF capacitor is charged by a 100 V battery. It is disconnected from the battery and is connected to another uncharged capacitor of capacitance 30 µF. During this process, the electrostatic energy lost by the first capacitor is.
View Solution
A conductor of length 1.5 m and area of cross-section \( 3 \times 10^{-5} \, m^2 \) has electrical resistance of 15 \( \Omega \). The current density in the conductor for an electric field of 21 \( V/m \) is.
View Solution
The relation between the current \( i \) (in ampere) in a conductor and the time \( t \) (in second) is given by \( i = 12t + 9t^2 \). The charge passing through the conductor between the times \( t = 2 \, s \) and \( t = 10 \, s \) is.
View Solution
A long straight rod of diameter 4 mm carries a steady current \( i \). The current is uniformly distributed across its cross-section. The ratio of the magnetic fields at distances 1 mm and 4 mm from the axis of the rod is.
View Solution
A straight wire of length 20 cm carrying a current of \(\frac{3}{\pi ^2} \, A \) is bent in the form of a circle. The magnetic field at the centre of the circle is.
View Solution
A circular coil carrying a current of 2.5 A is free to rotate about an axis in its plane perpendicular to an external magnetic field. When the coil is made to oscillate, the time period of oscillation is \( T \). If the current through the coil is 10 A, the time period of oscillation is.
View Solution
A circular coil of area 200 cm\(^2\) and 50 turns is rotating about its vertical diameter with an angular speed of 40 rad/s in a uniform horizontal magnetic field of magnitude \(2 \times 10^{-2} \, T\). The maximum emf induced in the coil is.
View Solution
An inductor and a resistor are connected in series to an AC source of 10 V. If the potential difference across the inductor is 6 V, then the potential difference across the resistor is
View Solution
If the peak value of the magnetic field of an electromagnetic wave is \( 30 \times 10^{-9} \, T \), then the peak value of the electric field is
View Solution
The de Broglie wavelength of a proton is twice the de Broglie wavelength of an alpha particle. The ratio of the kinetic energies of the proton and the alpha particle is:
View Solution
The ratio of the centripetal accelerations of the electron in two successive orbits of hydrogen is 81:16. Due to a transition between these two states, the angular momentum of the electron changes by:
View Solution
The operation of a nuclear reactor is said to be critical when the value of neutron multiplication factor \( K \) is
View Solution
An \(\alpha\)-particle of energy \( E \) is liberated during the decay of a nucleus of mass number 236. The total energy released in this process is 236. The total energy released in this process is
View Solution
The voltage gain of a transistor in common emitter configuration is 160. The resistances in base and collector sides of the circuit are 1k\( \Omega \) and 4k\( \Omega \), respectively. If the change in base current is 100\( \mu \)A, then the change in output current is
View Solution
Normally a capacitor is connected across the output terminals of a rectifier to
View Solution
The process of the loss of strength of a signal while propagating through a medium is
View Solution
The wavenumber of the first spectral line of the Lyman series of He\(^+\) ion is \( x \) m\(^{-1}\). What is the wavenumber (in m\(^{-1}\)) of the second spectral line of the Balmer series of Li\(^{2+}\) ion?
View Solution
The uncertainty in the determination of the position of a small ball of mass 10 g is \(10^{-33}\) m. With what % of accuracy can its speed be measured, if it has a speed of 52.5 m s\(^{-1}\)?
View Solution
In which of the following ionic pairs, the second ion is smaller in size than the first ion?
View Solution
The set of elements which obey the general electronic configuration \( (n-1)d^{10} ns^2 \) is:
View Solution
Identify the set of molecules which are not in the correct order of their dipole moments.
View Solution
Match the following molecules with their respective molecular shapes:
\renewcommand{\arraystretch{1.3
\begin{tabular{|c|c|
\hline
List - I (Molecule) & List - II (Shape)
\hline
A) \( SF_4 \) & I) T - shaped
B) \( ClF_3 \) & II) Square planar
C) \( BrF_5 \) & III) See-saw
D) \( XeF_4 \) & IV) Square pyramidal
\hline
\end{tabular
View Solution
At 400 K, an ideal gas is enclosed in a 0.5 m\(^3\) vessel at a pressure of 203 kPa. What is the change in temperature required (in K), if it occupies a volume of 0.2 m\(^3\) under a pressure of 304 kPa? (Nearest integer)
View Solution
Match the following substances with their respective equivalent weights:
\renewcommand{\arraystretch{1.3
\begin{tabular{|c|c|
\hline
List - I (Substance) & List - II (Equivalent weight)
\hline
A) \( Na_2CO_3 \) & I) \( \frac{M}{5} \)
B) \( KMnO_4 | H^+ \) & II) \( \frac{M}{3} \)
C) \( K_2Cr_2O_7 | H^+ \) & III) \( \frac{M}{2} \)
D) \( KMnO_4 | H_2O \) & IV) \( \frac{M}{6} \)
\hline
\end{tabular
View Solution
The standard enthalpy of combustion of C (graphite), H\(_2\) (g) and CH\(_3\)OH (l) respectively are \(-393\), \(-286\) and \(-726\) kJ mol\(^{-1}\). What is the standard enthalpy of formation of methanol?
View Solution
Observe the following species:
(i) \( NH_3 \)
(ii) \( AlCl_3 \)
(iii) \( SnCl_4 \)
(iv) \( CO_2 \)
(v) \( Ag^+ \)
(vi) \( HSO_4^- \)
How many of the above species act as Lewis acids?
View Solution
The normality of a 20-volume solution of hydrogen peroxide is:
View Solution
Consider the following reactions:
\[ Cs + O_2 (excess) \rightarrow X \] \[ Cs + O_2 (limited) \rightarrow X \] \[ Na + O_2 \rightarrow Y \]
Identify the correct statement about \( X \) and \( Y \).
View Solution
Choose the correct statements from the following:
I) In vapour phase, \( BeCl_2 \) exists as a chlorobridged dimer.
II) \( BeSO_4 \) is readily soluble in water.
III) \( BeO \) is completely basic in nature.
IV) \( BeCO_3 \), being unstable, is kept in the atmosphere of \( CO_2 \).
V) \( BeCO_3 \) is less soluble among all the carbonates of group 2 elements.
View Solution
Which of the following statements is correct regarding boric acid?
View Solution
Assertion (A): Silicones are used for waterproofing of fabrics.
Reason (R): The repeating unit in silicones is
View Solution
Acrolein (X) is one of the chemicals formed when \( O_3 \) and \( NO_2 \) react with unburnt hydrocarbons present in polluted air. The structure of 'X' is:
View Solution
An organic compound containing phosphorus on oxidation with \( Na_2O_2 \) gives a compound \( X \). When \( X \) is boiled with \( HNO_3 \) and treated with a reagent, it gives a yellow precipitate \( Y \). Identify \( X \) and \( Y \).
View Solution
The correct IUPAC name of the given compound is:
View Solution
The major product ‘Y’ in the given sequence of reactions is:
View Solution
Compound ‘A’ on heating with sodalime gives propane. Identify the compound ‘A’.
View Solution
An element with molar mass \( 2.7 \times 10^{-2} \) kg mol\(^{-1}\) forms a cubic unit cell with an edge length of 405 pm. If its density is \( 2.7 \times 10^3 \) kg m\(^{-3}\), the number of atoms present in one unit cell is:
(Given: \( N_A = 6.023 \times 10^{23} \) mol\(^{-1}\))
View Solution
At 300 K, 0.06 kg of an organic solute is dissolved in 1 kg of water. The vapour pressure of the solution is 3.768 kPa. If the vapour pressure of pure water at that temperature is 3.78 kPa, what is the molar mass of the solute (in g mol\(^{-1}\))?
View Solution
The molar conductivity of 0.02 M solution of an electrolyte is \( 124 \times 10^{-4} \) S m\(^{2}\) mol\(^{-1}\). What is the resistance of the same solution (in ohms), kept in a cell of cell constant 129 m\(^{-1}\)?
View Solution
The decomposition of benzene diazonium chloride is a first-order reaction. The time taken for its decomposition to \( \frac{1}{4} \) and \( \frac{1}{10} \) of its initial concentration are \( t_{1/4} \) and \( t_{1/10} \) respectively. The value of \( \frac{t_{1/4}}{t_{1/10}} \times 100 \) is:
(Given: log 2 = 0.3)
View Solution
10 mL of 0.5 M NaCl is required to coagulate 1L of \( Sb_2S_3 \) sol in 2 hours time. The flocculating value of NaCl (in millimoles) is:
View Solution
Kaolinite is a silicate mineral of metal 'X' and calamine is a carbonate mineral of metal 'Y'. X and Y respectively are:
View Solution
In the reaction: \[ NH_2CONH_2 + 2H_2O \rightarrow [X] \rightleftharpoons 2NH_3 + H_2O + [Y] \]
The hybridization of carbon in \( X \) and \( Y \) respectively are:
View Solution
Among the hydrides \( NH_3, PH_3, \) and \( BiH_3 \), the hydride with highest boiling point is \( X \) and the hydride with lowest boiling point is \( Y \). What are \( X \) and \( Y \) respectively?
View Solution
Xenon (VI) fluoride on complete hydrolysis gives an oxide of xenon ‘O’. The total number of \( \sigma \) and \( \pi \) bonds in ‘O’ is:
View Solution
In which of the following ions the spin-only magnetic moment is lowest?
View Solution
Identify the complex ion with electronic configuration \( t_{2g}^{3} e_{g}^{2} \).
View Solution
Identify the structure of the polymer ‘P’ formed in the given reaction:
View Solution
Which of the following vitamins is also called pyridoxine?
View Solution
The number of –OH groups present in the structures of bithionol, terpineol, and chloroxylenol is respectively:
View Solution
Conversion of X to Y in the given reaction corresponds to:
View Solution
Reaction of conversion of Y to Z in the given reaction corresponds to:
View Solution
Arrange the following in the increasing order of pKa values.
View Solution
What is 'C' in the following reaction sequence?
View Solution
Identify the products R and S in the reaction sequence given.
View Solution
In the given reaction sequence, identify Z.
View Solution
Also Check:
TS EAMCET Previous Year Question Papers
| TS EAMCET 2023 Question Paper | TS EAMCET 2022 Question Paper |
| TS EAMCET 2021 Question Paper | TS EAMCET 2020 Question Paper |
| TS EAMCET 2019 Question Paper | TS EAMCET 2018 Question Paper |
Also Check:



Comments