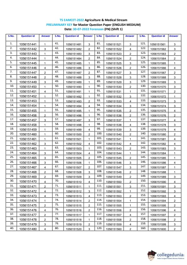
TS EAMCET 2022 July 30 Shift 1 question paper is now available for download. The exam was conducted from 09:00 AM to 12:00 Noon. The question paper had a total of 160 questions. Out of which, 40 questions were asked from each subject in TS EAMCET 2022 July 30 Shift 1 question paper. The overall difficulty of the question paper was rated easy to moderate by the students.
TS EAMCET 2022 July 30 Shift 1 Question Paper
Candidates can download TS EAMCET 2022 question paper along with the solution pdf from the table below.
| TS EAMCET 2022 Question Paper | TS EAMCET 2022 Answer Key |
|---|---|
| Download PDF | Download PDF |



Comments