TS EAMCET 2022 July 20 Shift 1 question paper is now available for download. The exam was conducted from 09:00 AM to 12:00 Noon. The question paper had a total of 160 questions. Mathematics had 80 questions, Physics and Chemistry had 40 questions each in TS EAMCET 2022 July 20 Shift 1 question paper. The overall difficulty of TS EAMCET 2022 July 20 Shift 1 question paper was rated difficult. Check TS EAMCET 2022 July 20 Shift 1 Paper Analysis
TS EAMCET 2022 July 20 Shift 1 Question Paper
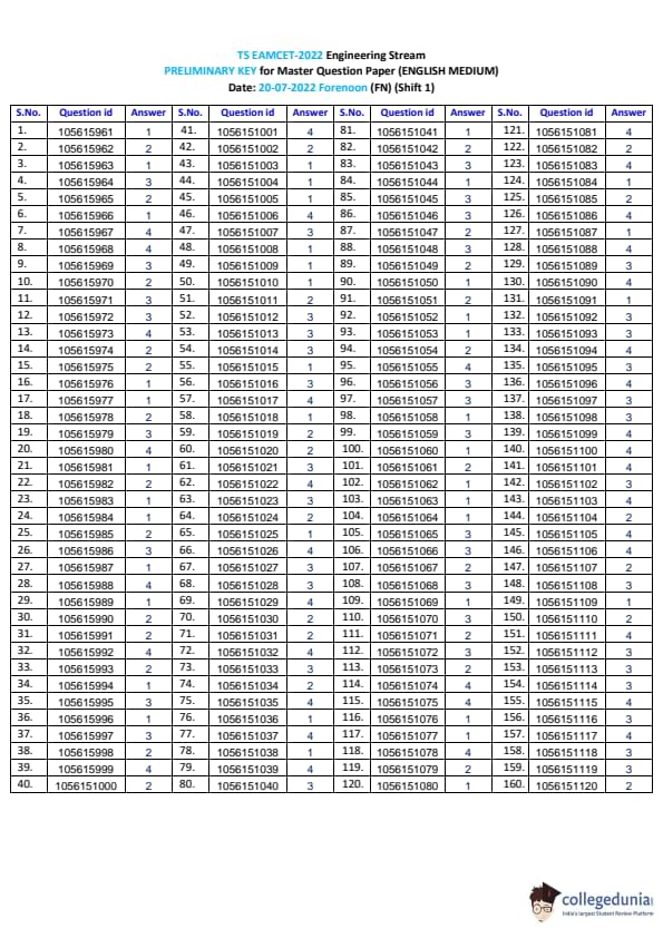
Candidates can download TS EAMCET 2022 question paper for July 20 Shift 1 along with a solution pdf from the table below.
| TS EAMCET 2022 Question Paper | TS EAMCET 2022 Answer Key |
|---|---|
| Download PDF | Download PDF |
Must Check:
| TS EAMCET 2022 July 19 Shift 1 Question Paper | TS EAMCET 2022 July 19 Shift 2 Question Paper | TS EAMCET 2022 July 20 Shift 2 Question Paper |



Comments