TS EAMCET 2022 July 19 Shift 2 question paper is now available for download. The exam was conducted from 03:00 PM to 06:00 PM. The question paper had a total of 160 questions. Mathematics had 80 questions, Physics and Chemistry had 40 questions each in TS EAMCET 2022 July 18 Shift 1 question paper. As per students’ reactions, the overall difficulty of TS EAMCET 2022 July 19 Shift 2 question paper was rated moderate. Check TS EAMCET 2022 July 19 Paper Analysis
TS EAMCET 2022 July 19 Shift 2 Question Paper
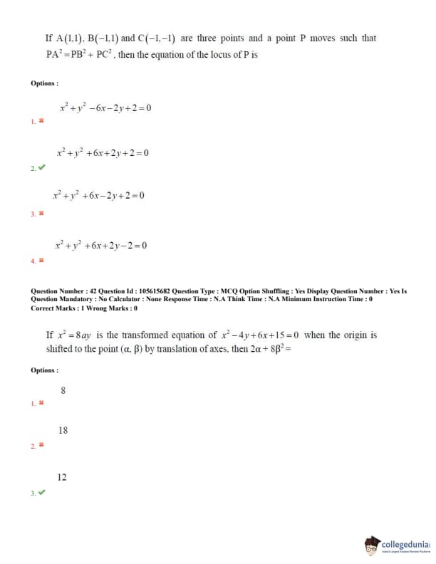
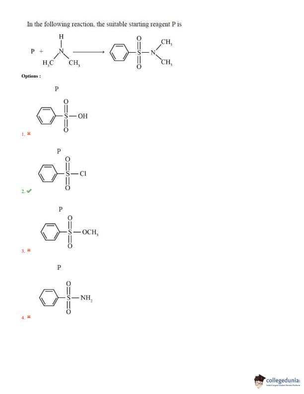
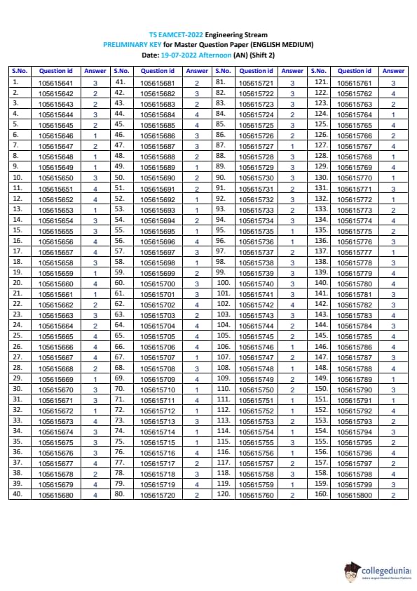
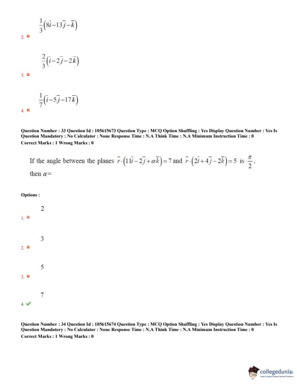
Candidates can check TS EAMCET 2022 question paper for July 19 Shift 2 from the below table
| TS EAMCET 2022 Question Paper | TS EAMCET 2022 Answer Key |
|---|---|
| Download PDF | Download PDF |
Must Check:
| TS EAMCET 2022 July 18 Shift 1 Question Paper | TS EAMCET 2022 July 18 Shift 2 Question Paper | TS EAMCET 2022 July 19 Shift 1 Question Paper |
TS EAMCET Previous Year Question Papers
| TS EAMCET 2021 Question Paper | TS EAMCET 2020 Question Paper | TS EAMCET 2019 Question Paper |
| TS EAMCET 2018 Question Paper | TS EAMCET 2017 Question Paper | TS EAMCET 2016 Question Paper |



Comments