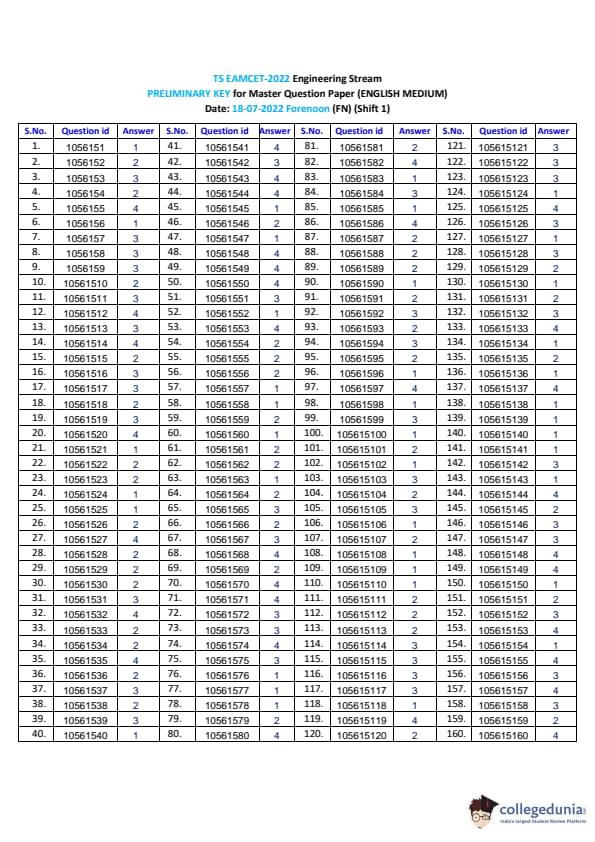
TS EAMCET 2022 July 18 Shift 1 question paper is now available here. The exam was conducted from 09:00 AM to 12:00 Noon. The question paper had a total of 160 questions. Mathematics had 80 questions, Physics and Chemistry has 40 questions each in TS EAMCET 2022 July 18 Shift 1 question paper. As per the student’s reactions, the overall difficulty of TS EAMCET 2022 July 18 Shift 1 question paper was moderate. Check TS EAMCET July 18 Paper Analysis
TS EAMCET 2022 July 18 Shift 1 Question Paper
Candidates can download TS EAMCET 2022 question paper along with the solution pdf from the table below.
| TS EAMCET 2022 Question Paper | TS EAMCET 2022 Answer Key |
|---|---|
| Download PDF | Download PDF |
Also, Check TS EAMCET 2022 July 18 Shift 2 Question Paper
TS EAMCET Previous Year Question Papers
| TS EAMCET 2021 Question Paper | TS EAMCET 2020 Question Paper | TS EAMCET 2019 Question Paper |
| TS EAMCET 2018 Question Paper | TS EAMCET 2017 Question Paper | TS EAMCET 2016 Question Paper |



Comments