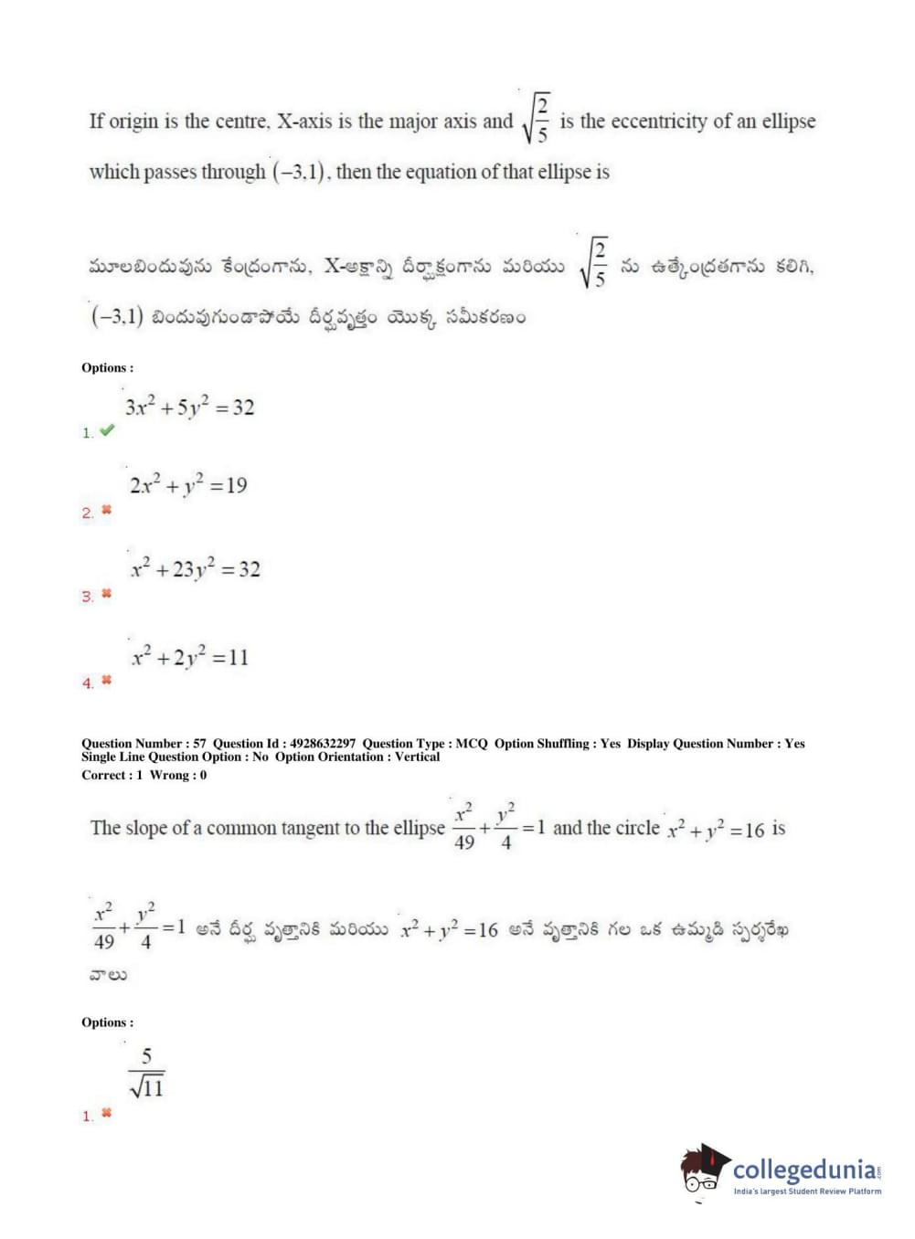
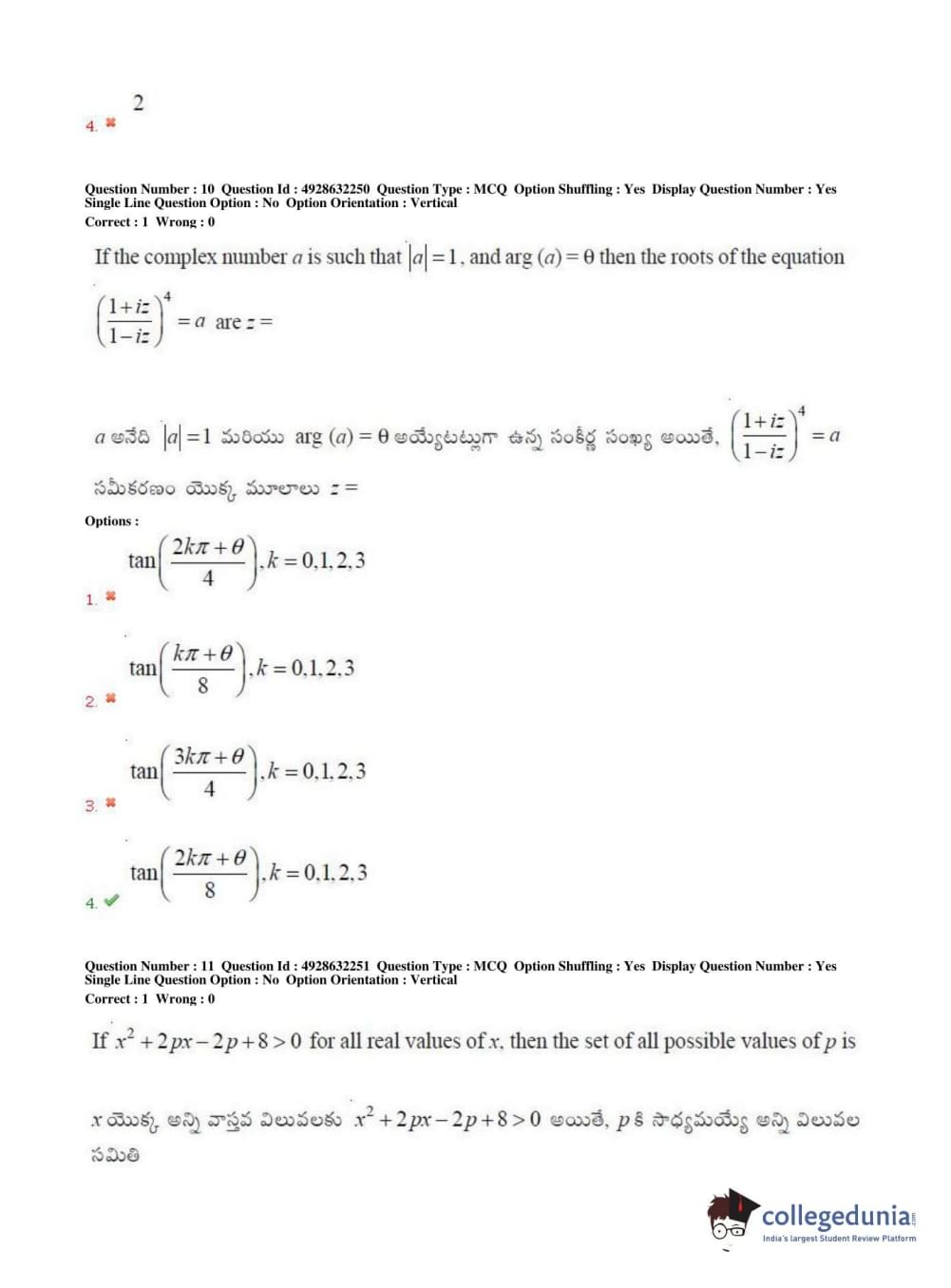
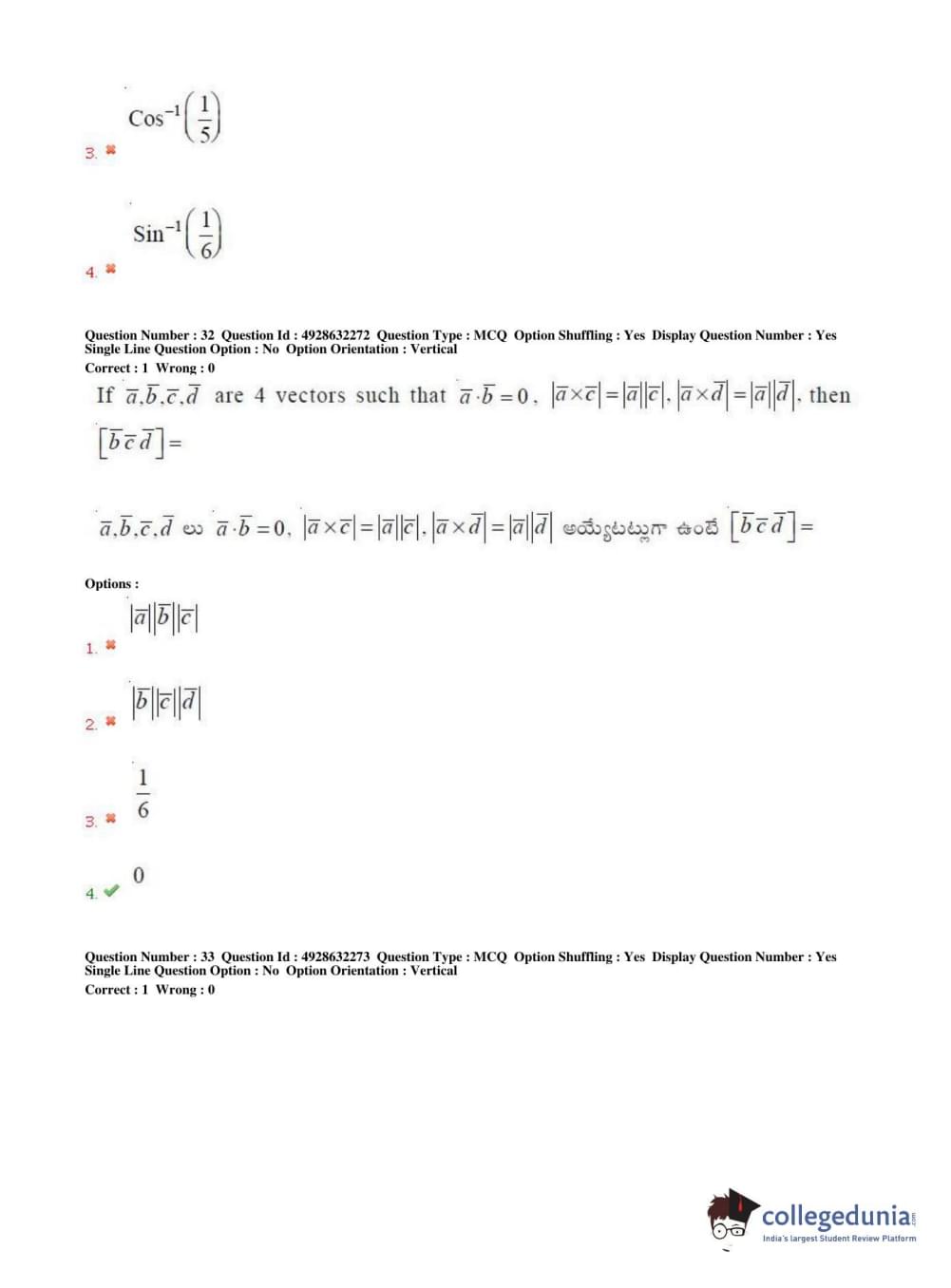
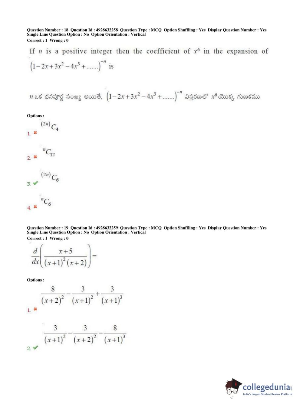
TS EAMCET 2018 Engineering Question paper with answer key pdf conducted on May 5 in Afternoon Session 3 PM to 6 PM is available for download. The exam was successfully organized by Jawaharlal Nehru Technological University, Hyderabad (JNTUH). The question paper comprised a total of 160 questions divided among 3 sections.
TS EAMCET 2018 Engineering Question Paper with Answer Key PDFs Afternoon Session
| TS EAMCET 2018 Engineering Question Paper PDF | TS EAMCET 2018 Engineering Answer Key PDF |
|---|---|
| Download PDF | Download PDF |



Comments