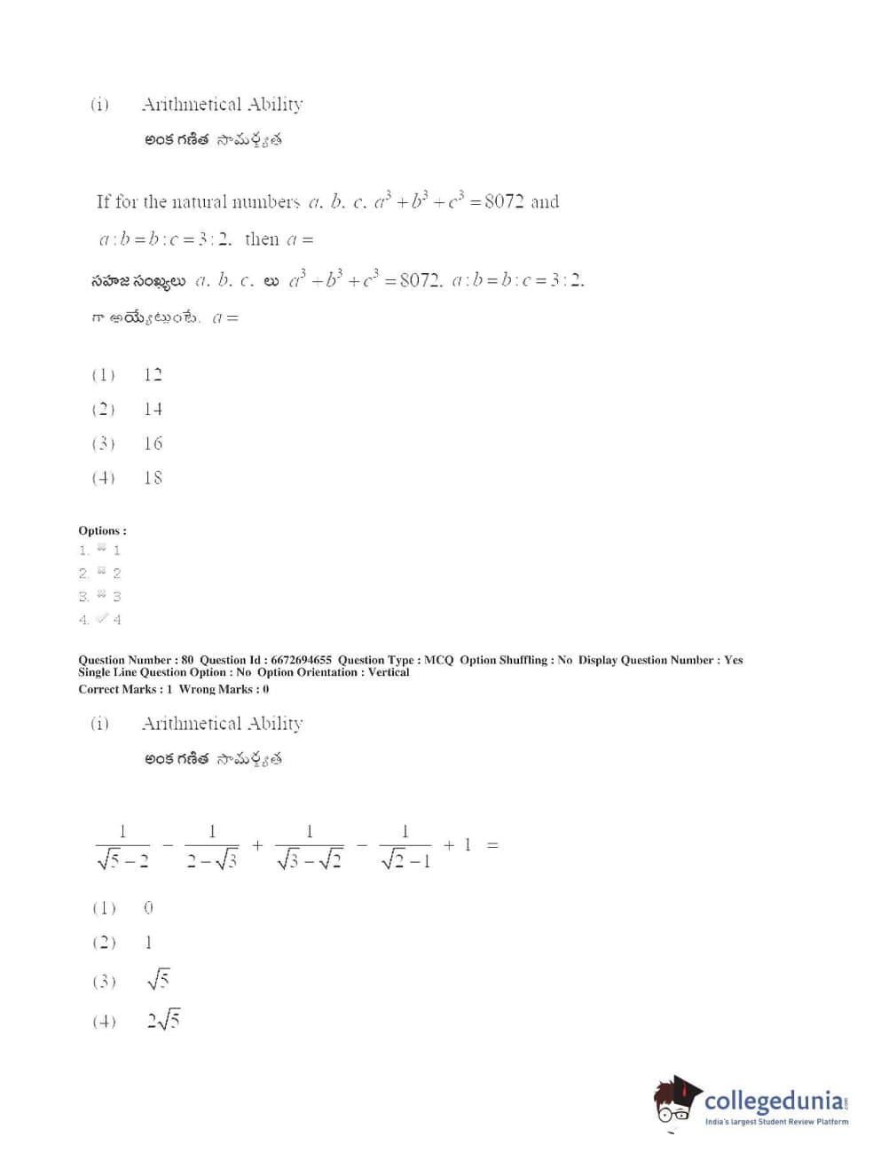
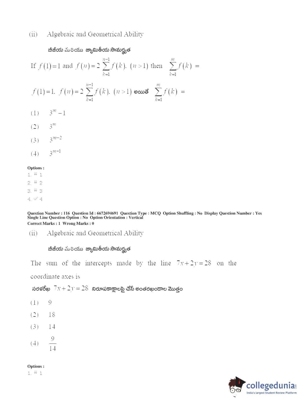
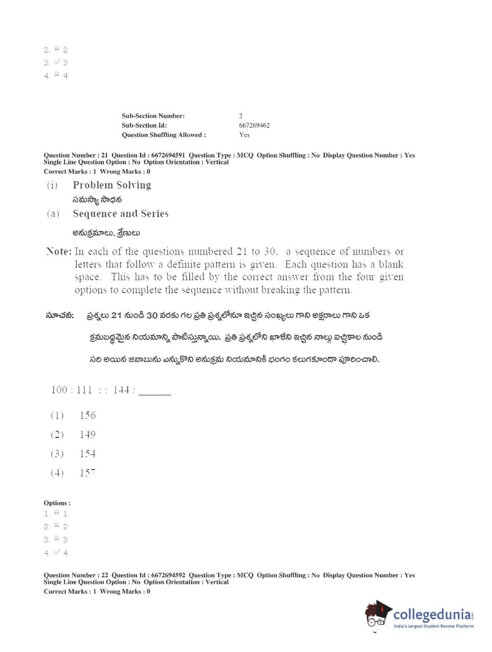
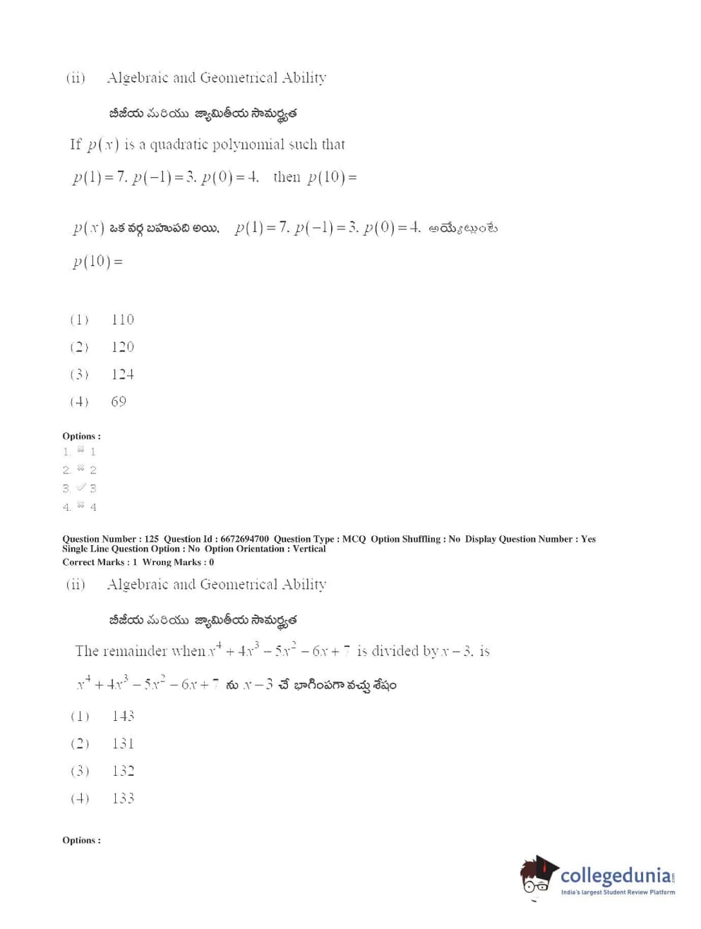
TSICET 2019 Question paper with answer key pdf conducted on May 23, 2019 in Shift 2 is available for download. The exam was successfully organized by Kakatiya University, Warangal. The question paper comprised a total of 200 questions.
TSICET 2019 Question Paper with Answer Key PDFs in Telugu Shift 2
| TSICET 2019 Question Paper PDF | TSICET 2019 Answer Key PDF |
|---|---|
| Download PDF | Download PDF |







Comments