KEAM 2024 Question Paper (June 6) is available for download here. Office of The Commissioner for Entrance Examinations (CEE Kerala) conducted KEAM Engineering exam 2024 in CBT mode on June 6 in afternoon shift from 2 PM to 5 PM. KEAM Engineering 2024 Question Paper consists total of 150 questions carrying 4 mark each with negative marking of 1 for each incorrect answer. KEAM 2024 Question Paper includes Mathematics with 75 questions, Physics with 45 questions and Chemistry with 30 questions to be attempted in total of 180 minutes.
KEAM 2024 Question Paper with Answer Key PDF (June 6)
| KEAM 2024 (June 6) Question Paper with Answer Key | Check Solution |
KEAM 2024 Question Paper with Answer Key PDF (June 6)
If the time period \( T \) of a satellite revolving close to the earth is given as \( T = 2\pi R^a g^b \), then the value of \( a \) and \( b \) are respectively (where \( R \) is the radius of the earth):
View Solution
The angle between \( \vec{A} \times \vec{B} \) and \( \vec{B} \times \vec{A} \) is:
View Solution
If the initial speed of the car moving at constant acceleration is halved, then the stopping distance \( S \) becomes:
View Solution
When a cricketer catches a ball in 30 s, the force required is 2.5 N. The force required to catch that ball in 50 s is:
View Solution
A ball is thrown vertically upwards with an initial speed of 20 ms\(^{-1}\). The velocity (in ms\(^{-1}\)) and acceleration (in ms\(^{-2}\)) at the highest point of its motion are respectively:
View Solution
Which one is an INCORRECT statement?
View Solution
Impending motion is opposed by:
View Solution
A block of 50 g mass is connected to a spring of spring constant 500 Nm\(^{-1}\). It is extended to the maximum and released. If the maximum speed of the block is 3 ms\(^{-1}\), then the length of extension is:
View Solution
A particle is displaced from P \( (3i + 2j - k) \) to Q \( (2i + 2j + 2k) \) by a force \( \mathbf{F} = i + j + k \). The work done on the particle (in J) is:
View Solution
The motion of a cylinder on an inclined plane is:
View Solution
A flywheel ensures a smooth ride on the vehicle because of its:
View Solution
The escape speed of the moon when compared with escape speed of the earth is approximately:
View Solution
The force of gravity is a:
View Solution
The terminal velocity of a small steel ball falling through a viscous medium is:
View Solution
The stress required to produce a fractional compression of 1.5% in a liquid having bulk modulus of \( 0.9 \times 10^9 \, Nm^{-2} \) is:
View Solution
When heat is supplied to the gas in an isochoric process, the supplied heat changes its:
View Solution
1 g of ice at 0°C is converted into water by supplying a heat of 418.72 J. The quantity of heat that is used to increase the temperature of water from 0°C is (Latent heat of fusion of ice = \( 3.35 \times 10^5 \, Jkg^{-1} \)):
View Solution
All real gases behave like an ideal gas at:
View Solution
0.5 mole of \( N_2 \) at 27°C is mixed with 0.5 mole of \( O_2 \) at 42°C. The temperature of the mixture is:
View Solution
A wave with a frequency of 600 Hz and wavelength of 0.5 m travels a distance of 200 m in a time of:
View Solution
If the fundamental frequency of the stretched string of length 1 m under a given tension is 3 Hz, then the fundamental frequency of the stretched string of length 0.75 m under the same tension is:
View Solution
The product of the total electric flux emanating from a closed surface enclosing a charge \( q \) in free space is (\( \epsilon_0 \) - electrical permittivity of free space):
View Solution
Three capacitances 1 \(\mu\)F, 4 \(\mu\)F, and 5 \(\mu\)F are connected in parallel with a supply voltage. If the total charge flowing through the capacitors is 50 \(\mu\)C, then the supply voltage is:
View Solution
The resistance of a wire at 0 °C is 4 \(\Omega\). If the temperature coefficient of resistance of the material of the wire is \(5 \times 10^{-3} / ^\circ C\), then the resistance of a wire at 50 °C is:
View Solution
n number of electrons flowing in a copper wire for 1 minute constitute a current of 0.5 A. Twice the number of electrons flowing through the same wire for 20 s will constitute a current of:
View Solution
If a cell of 12 V emf delivers 2 A current in a circuit having a resistance of 5.8 \(\Omega\), then the internal resistance of the cell is:
View Solution
Torque on a coil carrying current \( I \) having \( N \) turns and area of cross section \( A \) when placed with its plane perpendicular to a magnetic field \( B \) is:
View Solution
A long straight wire carrying a current 3 A produces a magnetic field \( B \) at a certain distance. The current that flows through the same wire will produce a magnetic field \( \frac{B}{3} \) at the same distance is:
View Solution
Which one of the following statement is INCORRECT?
View Solution
When a current passing through a coil changes at a rate of 30 A s\(^{-1}\), the emf induced in the coil is 12 V. If the current passing through this coil changes at a rate of 20 A s\(^{-1}\), the emf induced in this coil is:
View Solution
The reactance of an induction coil of 4 H for a dc current (in \( \Omega \)) is:
View Solution
If the total momentum delivered to a surface by an EM wave is \(3 \times 10^{-4}\) kg m/s, then the total energy transferred to this surface is:
View Solution
The radiations used in LASIK eye surgery are:
View Solution
When two coherent sources each of individual intensity \( I_0 \) interfere, the resultant intensity due to constructive and destructive interference are respectively
View Solution
If the power of a lens is +4 D, then the lens is a
View Solution
In a single slit diffraction experiment, the width of the slit and the wavelength of the light are respectively 5 mm and 500 nm. If the focal length of the lens is 20 cm, then the size of the central bright fringe will be
View Solution
A particle having mass 2000 times that of an electron travels with a velocity thrice that of the electron. The ratio of the de Broglie wavelength of the particle to that of the electron is
View Solution
The process by which the electrons can come out of the metal in a spark plug is:
View Solution
The energy required to excite the hydrogen atom from its first excited state to second excited state is:
View Solution
If the maximum number of neighbours of a nucleon within the range of nuclear force is \( p \) and \( k \) is a constant, then the binding energy per nucleon is approximately:
View Solution
In gamma emission, the nucleus emits
View Solution
If the initial decay rate of a radioactive sample is \( R_0 \), then the decay rate after a half-life time \( T_{1/2} \) is
View Solution
An external voltage \( V \) is supplied to a semiconductor diode having built-in potential \( V_0 \). The effective barrier height under forward bias is
View Solution
If the conductivity of the material lies in the range \(10^2 - 10^8 \, \Omega^{-1}m^{-1}\), then it is a
View Solution
The thickness of the depletion layer on either side of the p-n junction is of the order of
View Solution
The unit of an universal constant is cm\(^{-1}\). What is the constant?
View Solution
Which of the following molecule has the most polar bond?
View Solution
ΔS would be negative for which of the following reactions?
View Solution
Equal volumes of pH 3, 4, and 5 are mixed in a container. The concentration of \( H^+ \) in the mixture is (Assume there is no change in the volume during mixing):
View Solution
The reaction \( H_2O(g) + Cl_2O(g) \rightleftharpoons 2 HOCl(g) \) is allowed to attain equilibrium at 400K. At equilibrium, the partial pressure of \( H_2O(g) \) is 300 mm of Hg, and those of \( Cl_2O(g) \) and \( HOCl(g) \) are 20 mm and 60 mm respectively. The value of \( K_p \) for the reaction at 300K is:
View Solution
Strong intra-molecular hydrogen bond is present in:
View Solution
Which of the following molecule has a Lewis structure that does not obey the octet rule?
View Solution
The rate and the rate constant of a reaction has the same units. The order of the reaction is
View Solution
For the reaction \( 2A + B \rightarrow 2C + D \), the following kinetic data were obtained for three different experiments performed at the same temperature.
The total order and order in [B] for the reaction are respectively
View Solution
The standard molar entropies of \( SO_2(g) \), \( SO_3(g) \), and \( O_2(g) \) are 250 J/K·mol, 257 J/K·mol, and 205 J/K·mol respectively. Calculate standard molar entropy change for the reaction \( 2SO_2(g) + O_2(g) \rightarrow 2SO_3(g) \).
View Solution
An aqueous solution contains 20g of a non-volatile strong electrolyte \( A_2B \) (Molar mass = 60 g mol\(^{-1}\)) in 1 kg of water. If the electrolyte is 100% dissociated at this concentration, what is the boiling point of the solution? (Kb of water is 0.52 K kg mol\(^{-1}\))
View Solution
An organic compound contains 37.5% C, 12.5% H and the rest oxygen. What is the empirical formula of the compound?
View Solution
How many grams of HCl will completely react with 17.4g of pure MnO\(_2\) (s) to liberate Cl\(_2\) (g)? (Atomic mass Mn = 55.0; H = 1; Cl = 35.5)
View Solution
What is the quantity of current required to liberate 16g of O\(_2\) (g) during electrolysis of water? (Given 1F = 96500C)
View Solution
Co-ordination compounds exhibit different types of isomerism. Some complexes are given in Column I and type of isomerism is given in Column II.
View Solution
Which of the following amines will not undergo carblyamine reaction?
View Solution
The 3d block metal having positive standard electrode potential (M\(^{2+}\)/M) is
View Solution
Which of the following statement is incorrect with regard to interstitial compounds of transition elements?
View Solution
The alloy containing about 95% lanthanoids, 5% iron and traces of S, C, Ca and Al which is used in producing Mg-based bullets is:
View Solution
The IUPAC name of the complex \([Cr(NH_3)_3(H_2O)_3]Cl_3\) is:
View Solution
In the Carius method of estimation of halogen, 0.4g of an organic compound gave 0.188g of AgBr. What is the percentage of bromine in the organic compound? (The atomic mass of Ag = 108 g mol\(^{-1}\) \& Br = 80 g mol\(^{-1}\))
View Solution
Which one of the following compounds can exhibit both optical isomerism and geometrical isomerism?
View Solution
Which one of the following nucleophiles is an ambident nucleophile?
View Solution
Choose the achiral molecule in the following:
View Solution
Phenol can be converted to salicylaldehyde by:
View Solution
The order of decreasing acid strength of carboxylic acids is:
View Solution
Chlorophenylmethane is treated with ethanolic NaCN and the product obtained is reduced with H\(_2\) in the presence of finely divided nickel to give:
View Solution
A reagent that can be used to reduce benzene diazonium chloride to benzene is:
View Solution
Which one of the following is not an essential amino acid?
View Solution
14g of cyclopropane burnt completely in excess oxygen. The number of moles of water formed is:
View Solution
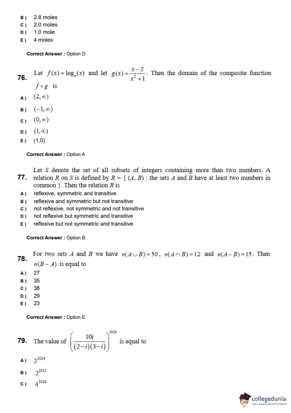
Let \( f(x) = \log_e(x) \) and let \( g(x) = \frac{x - 2}{x^2 + 1} \). Then the domain of the composite function \( f \circ g \) is:
View Solution
Let \( S \) denote the set of all subsets of integers containing more than two numbers. A relation \( R \) on \( S \) is defined by \[ R = \{ (A, B) : the sets A and B have at least two numbers in common \}. \]
Then the relation \( R \) is:
View Solution
For two sets \( A \) and \( B \), we have \( n(A \cup B) = 50 \), \( n(A \cap B) = 12 \), and \( n(A - B) = 15 \). Then \( n(B - A) \) is equal to:
View Solution
The value of \[ \left(\frac{10i}{(2-i)(3-i)}\right)^{2024} \]
is equal to:
View Solution
The period of the function \( f(x) = \sin\left( \frac{3x}{2} \right) \) is equal to:
View Solution
The value of \( \alpha \) for which the complex number \( \frac{2 - \alpha i}{\alpha - i} \) is purely imaginary, is:
View Solution
The centre of a square is at the origin of the complex plane. If one of the vertices is at \( -3i \), then the area of the square is:
View Solution
The modulus of the complex number \[ \frac{(1 + i)^{10} (2 - i)^6}{(2i - 4)^4} \]
is equal to:
View Solution
If \( 0 \leq x \leq 5 \), then the greatest value of \( \alpha \) and the least value of \( \beta \) satisfying the inequalities \( \alpha \leq 3x + 5 \leq \beta \) are, respectively,
View Solution
Let \( A = \begin{pmatrix} 3 & -2 & 1
-1 & 3 & -1 \end{pmatrix} \) and \( B = \begin{pmatrix} 1
\alpha
-1 \end{pmatrix} \). If \( AB = \begin{pmatrix} -2
6 \end{pmatrix} \), then the value of \( \alpha \) is equal to:
View Solution
If \( 2 \) is a solution of the inequality \( \frac{x-a}{a-2x} < -3 \), then \( a \) must lie in the interval:
View Solution
The coefficient of \( x^{14}y \) in the expansion of \( (x^2 + \sqrt{y})^9 \) is:
View Solution
The value of \( x \) that satisfies the equation
View Solution
The sum of the series \( \frac{1}{2^{10}} + \frac{1}{2^{11}} + \cdots + \frac{1}{2^{19}} \) is equal to:
View Solution
Let \( A \) and \( B \) be two sets each containing more than one element. If \( n(A \times B) = 155 \), then \( n(A) \) is equal to:
View Solution
There are 3 different mathematics books and 4 different physics books in a shelf. Then the number of ways these books can be arranged so that the mathematics books are together is:
View Solution
11\( (10P_7) \) =
View Solution
The value of the sum \( 15 C_6 + 14 C_6 + 13 C_6 + 12 C_6 + 11 C_6 + 10 C_6 \) is equal to:
View Solution
Let
and let \( B = \frac{1{|A|} A }\).
Then the value of \( |B| \) is equal to:
View Solution
Let \( f(x) = 2 - 7 \sin{\left( \frac{2x}{7} \right)} \). Then the maximum value of \( f(x) \) is:
View Solution
The second term of a G.P. is \( \frac{1}{2} \). If the product of first five terms is 32, then the common ratio of the G.P. is:
View Solution
The first term and the 6th term of a G.P. are 2 and \( \frac{64}{243} \) respectively. Then the sum of first 10 terms of the G.P. is:
View Solution
An assignment of probabilities for outcomes of the sample space \( S = \{1, 2, 3, 4, 5, 6\} \) is as follows:
If this assignment is valid, then the value of \( k \) is:
View Solution
Three coins are tossed simultaneously. Then the probability that exactly two tails appear is:
View Solution
A bag contains 10 green balls and 5 red balls. If two balls are selected randomly, then the probability that both are green balls, is:
View Solution
Let \( A, B, C \) be three mutually and exhaustive events of an experiment. If \( 2P(A) = 3P(B) = 4P(C) \), then \( P(C) \) is equal to:
View Solution
Two circles \(C_1\) and \(C_2\) have radii 18 and 12 units, respectively. If an arc of length \( \ell \) of \(C_1\) subtends an angle 80° at the centre, then the angle subtended by an arc of same length \( \ell \) of \(C_2\) at the centre is:
View Solution
Given that: \[ \frac{1}{\tan A - \tan B} = \]
View Solution
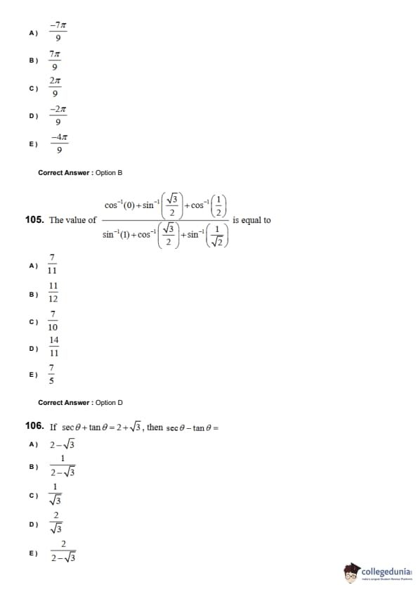
\[ \cos^{-1} \left( \cos \left( \frac{-7\pi}{9} \right) \right) = \]
View Solution
The value of \[ \frac{\cos^{-1}(0) + \sin^{-1}\left( \frac{\sqrt{3}}{2} \right) + \cos^{-1}\left( \frac{1}{2} \right)}{\sin^{-1}(1) + \cos^{-1}\left( \frac{\sqrt{3}}{2} \right) + \sin^{-1}\left( \frac{1}{\sqrt{2}} \right)} \]
is equal to:
View Solution
If \(\sec \theta + \tan \theta = 2 + \sqrt{3}\), then \(\sec \theta - \tan \theta\) is:
View Solution
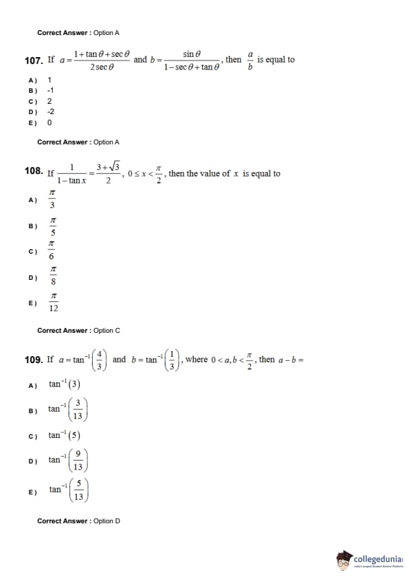
If \( a = \frac{1 + \tan \theta + \sec \theta}{2 \sec \theta} \) and \( b = \frac{\sin \theta}{1 - \sec \theta + \tan \theta} \), then \( \frac{a}{b} \) is equal to:
View Solution
If \[ \frac{1}{1 - \tan x} = \frac{3 + \sqrt{3}}{2}, \quad 0 \leq x \leq \frac{\pi}{2}, \]
then the value of \( x \) is equal to:
View Solution
If \( a = \tan^{-1}\left(\frac{4}{3}\right) \) and \( b = \tan^{-1}\left(\frac{1}{3}\right) \), where \( 0 < a, b < \frac{\pi}{2} \), then \( a - b \) is:
View Solution
If \( 0 \leq \alpha \leq \frac{\pi}{2} \) and \(\sin \left(\alpha - \frac{\pi}{12}\right) = \frac{1}{2}\), then \(\alpha\) is equal to:
View Solution
The equation of the line passing through the point \((-9,5)\) and parallel to the line \(5x - 13y = 19\) is:
View Solution
The radius of the circle with centre at \((-4, 0)\) and passing through the point \((2, 8)\) is:
View Solution
The axis of a parabola is parallel to the y-axis and its vertex is at \((5, 0)\). If it passes through the point \((2, 3)\), then its equation is:
View Solution
The foci of the ellipse \(\frac{x^2}{49} + \frac{y^2}{24} = 1\) are:
View Solution
The line \(y = 5x + 7\) is perpendicular to the line joining the points \((2, 12)\) and \((12, k)\). Then the value of \(k\) is equal to:
View Solution
The centre of the hyperbola \(16x^2 - 4y^2 + 64x - 24y - 36 = 0\) is at the point:
View Solution
The focus of the parabola \(y^2 + 4y - 8x + 20 = 0\) is at the point:
View Solution
For a hyperbola, the vertices are at \( (6, 0) \) and \( (-6, 0) \). If the foci are at \( (2\sqrt{10}, 0) \) and \( -2\sqrt{10}, 0) \), then the equation of the hyperbola is:
View Solution
If a line makes angles \(\alpha\), \(\beta\), and \(\gamma\) with the positive directions of the x, y, and z-axis respectively, then \(\cos 2\alpha + \cos 2\beta + \cos 2\gamma\) equals:
View Solution
Let \( \vec{a}, \vec{b}, \vec{c} \) be three vectors. The angle between \( \vec{a} \) and \( \vec{b} \) is \( 30^\circ \), the angle between \( \vec{a} \) and \( \vec{b} + \vec{c} \) is \( 45^\circ \). If \( |\vec{b}| = \sqrt{6} \) and \( |\vec{c}| = 2\sqrt{2} \), then \( |\vec{b} + \vec{c}| \) is:
View Solution
The vectors \(\vec{a} = 4\mathbf{i} - 3\mathbf{j} - \mathbf{k}\) and \(\vec{b} = 3\mathbf{i} + 2\mathbf{j} + \lambda\mathbf{k}\) are perpendicular to each other. Then the value of \(\lambda\) is equal to:
View Solution
The centre of a circle lies on the y-axis. If it passes through the points \( (-4, 3) \) and \( (3, -4) \), then its radius is:
View Solution
The point of intersection of the lines \(\frac{x-3}{2} = \frac{y-2}{2} = \frac{z-6}{1}\) and \(\frac{x-2}{3} = \frac{y-4}{2} = \frac{z-1}{3}\) is:
View Solution
The angle between the lines \[ \frac{x-1}{6} = \frac{y-5}{8} = \frac{z-3}{10} \quad and \quad \frac{x+1}{2} = \frac{2y+3}{2} = \frac{z+3}{2} \]
is:
View Solution
The angle between \(\vec{a}\) and \(\vec{b}\) is \(\frac{\pi}{3}\). If \(\|\vec{a}\| = 5\) and \(\|\vec{b}\| = 10\), then \(\|\vec{a} + \vec{b}\|\) is equal to:
View Solution
Let \(f(x) = a^{3x}\) and \(a^5 = 8\). Then the value of \(f(5)\) is equal to:
View Solution
Let \( f(x) = \begin{cases} x^2 - \alpha, & if x < 1
\beta x - 3, & if x \geq 1 \end{cases} \). If \( f \) is continuous at \( x = 1 \), then the value of \( \alpha + \beta \) is:
View Solution
The integral \(\int e^x \sqrt{e^x} \, dx\) equals:
View Solution
The area bounded by the parabola \(y = x^2 + 2\) and the lines \(y = x\), \(x = 1\) and \(x = 2\) (in square units) is:
View Solution
Let \( f(x) = x \sin(x^4) \). Then \( f'(x) \) at \( x = \sqrt[4]{\pi} \) is equal to:
View Solution
For \(1 \leq x < \infty\), let \(f(x) = \sin^{-1}\left(\frac{1}{x}\right) + \cos^{-1}\left(\frac{1}{x}\right)\). Then \(f'(x) =\)
View Solution
The value of the limit \(\lim_{t \to 0} \frac{(5-t)^2 - 25}{t}\) is equal to:
View Solution
A particle is moving along the curve \( y = 8x + \cos y \), where \( 0 \leq y \leq \pi \). If at a point the ordinate is changing 4 times as fast as the abscissa, then the coordinates of the point are:
View Solution
The value of the limit \(\lim_{x \to 0} \frac{(2 + \cos 3x) \sin^2 x}{x \tan(2x)}\) is equal to:
View Solution
Evaluate the integral: \[ \int_{\frac{\pi}{5}}^{\frac{3\pi}{10}} \frac{\sqrt{\tan x}}{1 + \sqrt{\tan x}} \, dx \]
View Solution
Let \[ f(x) = \begin{cases} x\left( \frac{\pi}{2} + x \right), & if x \geq 0
x\left( \frac{\pi}{2} - x \right), & if x < 0 \end{cases} \]
Then \( f'(-4) \) is equal to:
View Solution
Let \[ f(x) = \frac{|5 - x|(x + 5)}{\tan(x - 5)} \quad for \quad x \neq 5. \]
Then \[ \lim_{x \to 5} f(x) is equal to: \]
View Solution
The function \[ f(x) = x^{3/5}(5x - 12) \]
is increasing in the set:
View Solution
The value of \[ \lim_{x \to 1} \frac{\frac{1}{2x + 1} - \frac{1}{3}}{x - 1} \]
is equal to:
View Solution
The critical points of the function \( f(x) = (x-3)^3(x+2)^2 \) are:
View Solution
The integrating factor of the differential equation \[ x \frac{dy}{dx} + 2y = x e^x \]
is:
View Solution
The minimum value of the function \( f(x) = x^4 - 4x - 5 \), where \( x \in \mathbb{R} \), is:
View Solution
\[ \int_0^{\frac{\pi}{4}} (\tan^3 x + \tan^5 x) \, dx \]
View Solution
Let \( I = \int_{-\frac{\pi}{4}}^{\frac{\pi}{4}} \frac{\tan^2 x}{1+5^x} \, dx \). Then:
View Solution
\[ \int \left( \frac{\log_e t}{1+t} + \frac{\log_e t}{t(1+t)} \right) dt \]
View Solution
Evaluate the integral: \[ \int \frac{x^2 - 1}{x^4 + 3x^2 + 1} \, dx \]
View Solution
Evaluate the integral:
View Solution
The general solution of the differential equation \( \frac{dy}{dx} = xy - 2x - 2y + 4 \) is:
View Solution
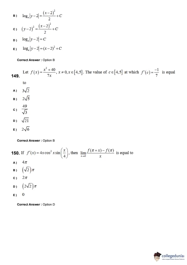
Let \( f(x) = \frac{x^2 + 40}{7x} \), \( x \neq 0 \), \( x \in [4,5] \). The value of \( c \) in \( [4,5] \) at which \( f'(c) = -\frac{1}{7} \) is equal to:
View Solution
If \( f'(x) = 4x\cos^2(x) \sin\left(\frac{x}{4}\right) \), then \( \lim_{x \to 0} \frac{f(\pi + x) - f(\pi)}{x} \) is equal to:
View Solution

.jpg?h=56&w=56&mode=stretch)

.png?h=35&w=35&mode=stretch)

Comments