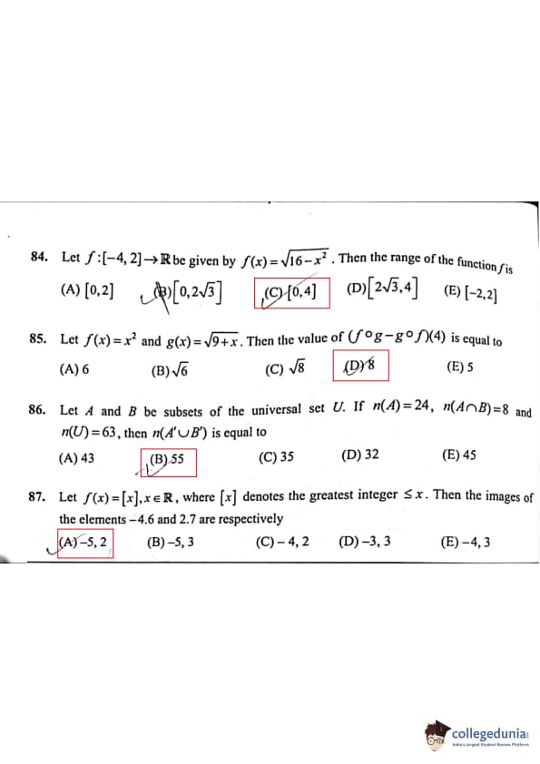
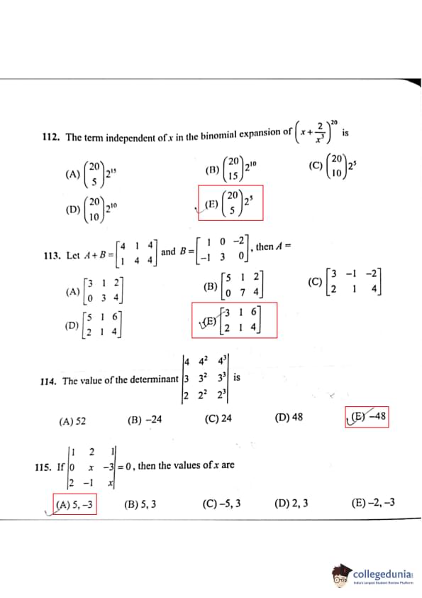
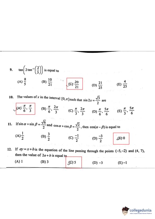
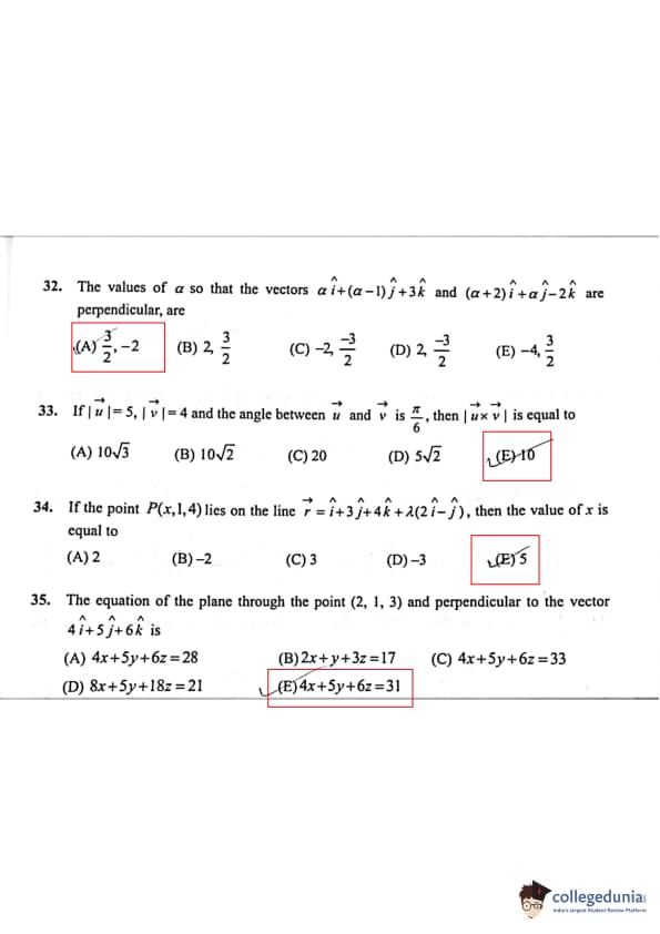
KEAM 2021 Mathematics Question paper with answer key pdf conducted on August 5 in Afternoon Session (2:30 PM to 5 PM) is available for download. The exam was successfully organized by Commissioner of Entrance Examinations Kerala. In terms of difficulty level, KEAM was of Moderate level. The question paper comprised a total of 120 questions.
KEAM 2021 Mathematics Question Paper with Answer Key PDFs Afternoon Session
| KEAM 2021 Mathematics Question Paper PDF | KEAM 2021 Mathematics Answer Key PDF |
|---|---|
| Download PDF | Download PDF |
KEAM Previous Year Question Paper with Answer Key PDFs
| KEAM 2021 Question Papers | KEAM 2020 Question Papers | KEAM 2019 Question Papers |
| KEAM 2018 Question Papers | KEAM 2017 Question Papers | KEAM Practice Papers |

.jpg?h=56&w=56&mode=stretch)

Comments