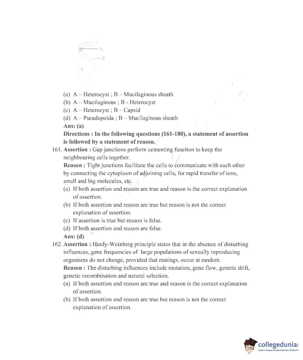
AIIMS PG 2016 Question paper with answer key pdf conducted on January 23, 2016 is available for download. The exam was successfully organized by All India Institute of Medical Sciences (AIIMS). The question paper comprised a total of 200 questions.
AIIMS PG 2016 Question Paper with Answer Key PDF
| AIIMS PG 2016 Question Paper PDF | AIIMS PG 2016 Answer Key PDF |
|---|---|
| Download PDF | Available Soon |







Comments