Ranaghat College Nadia B.Sc {Hons.} Physics is offered as 3 Years Full Time program. The minimum eligibility criteria for B.Sc {Hons.} is 10+2. The total fees for Ranaghat College Nadia B.Sc {Hons.} Physics in 2025 is ₹ 17,650 for the complete course duration, which includes total tuition fees of ₹ 16,820. Earlier, the fees in 2020 - 2021 for B.Sc {Hons.} Physics was ₹ 11,045.
Ranaghat College Nadia B.Sc {Hons.} Physics fees in first year is ₹ 6,440. The detailed fees is mentioned below.Check Ranaghat College Nadia Admission 2025
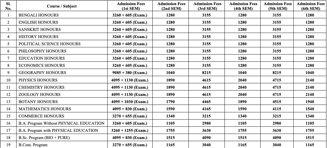
| Fees (2025 - 2026) | Year 1 (in INR) | Year 2 (in INR) | Year 3 (in INR) | |||
|---|---|---|---|---|---|---|
| Semester | 1 | 2 | 3 | 4 | 5 | 6 |
| Tuition Fees | ₹4095 | ₹1515 | ₹4090 | ₹1515 | ₹4090 | ₹1515 |
| Exam Fees | ₹830 | - | - | - | - | - |
| Semester Wise Fees | ₹4925 | ₹1515 | ₹4090 | ₹1515 | ₹4090 | ₹1515 |
| Yearly Fees | ₹6440 | ₹5605 | ₹5605 | |||
* Fees is refundable
| Fees | Year 1 (in INR) | Year 2 (in INR) | Year 3 (in INR) |
|---|---|---|---|
| Tuition Fees | ₹1020 | ₹1020 | ₹1020 |
| Other Fee | ₹2835 | ₹2575 | ₹2575 |
| Yearly Fees | ₹3855 | ₹3595 | ₹3595 |
* Fees is refundable
The minimum eligibility for admission to B.Sc {Hons.} Physics at Ranaghat College Nadia is 10+2.
Also Check:
| Course Highlights | Details |
|---|---|
| duration | 3 Years (Full Time) |
| course level | UG (Degree) |
| mode of study | On Campus |
| total fees | ₹ 17,650 |
| eligibility | 10+2 |
| Fee Type | Total Amount (INR) |
|---|---|
| tuition fee | ₹16,820 |
| total fee | ₹17,650 |

| Events | Dates |
|---|---|
| Physical Document Verification at College for Phase-II WB CAP Admission 2025 [B.Sc] | Oct 09, 2025 - Oct 10, 2025 |
| Physical Document Verification for Phase-III Admission 2025 [B.Sc] | Sep 24, 2025 |
| WB-CAP registration | Jun 17, 2025 - Jul 30, 2025 |
Do you think the Dates are wrong ? Report Here
Search from 20K+ Courses and 35+ Streams


.jpeg?h=78&w=78&mode=stretch)




![Directorate of Open and Distance Learning, University of Kalyani - [DODL]](https://image-static.collegedunia.com/public/college_data/images/appImage/1535520405distancecoverimage.jpg?h=111.44&w=263&mode=stretch)









![Asannagar Madan Mohan Tarkalankar College - [AMMTC]](https://image-static.collegedunia.com/public/college_data/images/appImage/1488179746cvr.png?h=111.44&w=263&mode=stretch)

Comments