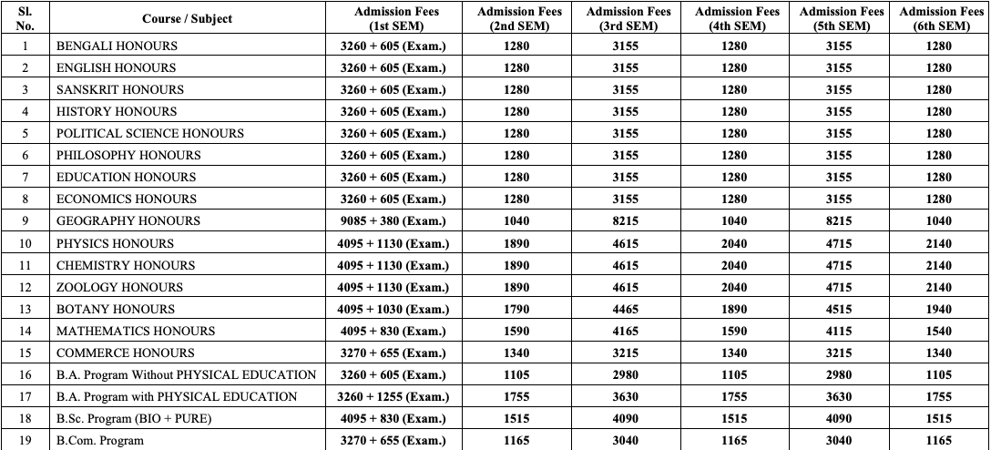
The college in Nadia, affiliated with Kalyani University, offers a four-year graduation program in arts, science, and commerce, structured into six semesters with exams twice a year. Admission is merit-based, requiring an online application with a 2000 INR fee. The large campus hosts about 4,000 students, with a strong faculty-to-student ratio. While fees are a concern for some, they are generally affordable compared to nearby colleges, with concessions for disadvantaged groups.
Despite no direct campus placements, students utilize scholarships like Oasis and Nabanna, and intelligent students from low-income backgrounds may have fees waived or be sponsored for further studies. The institution provides a 100,000 INR loan at low interest and supports job placement opportunities, though employment often depends on political connections. Overall fees are about 1000 INR yearly, with additional specific program fees, and SC/ST students receive a 5000 INR scholarship.





.jpeg?h=78&w=78&mode=stretch)




![Directorate of Open and Distance Learning, University of Kalyani - [DODL]](https://image-static.collegedunia.com/public/college_data/images/appImage/1535520405distancecoverimage.jpg?h=111.44&w=263&mode=stretch)







![Asannagar Madan Mohan Tarkalankar College - [AMMTC]](https://image-static.collegedunia.com/public/college_data/images/appImage/1488179746cvr.png?h=111.44&w=263&mode=stretch)









.jpeg?h=72&w=72&mode=stretch)
 - 2024-11-15T130141.675.jpeg?h=72&w=72&mode=stretch)



![National Academy of Photography - [NAP]](https://image-static.collegedunia.com/public/college_data/images/logos/1611141145NAPlogo2.png?h=72&w=72&mode=stretch)






![Asannagar Madan Mohan Tarkalankar College - [AMMTC]](https://image-static.collegedunia.com/public/college_data/images/logos/1488179746logo.png?h=72&w=72&mode=stretch)
![Barrackpore Rastraguru Surendranath College - [BRSNC]](https://image-static.collegedunia.com/public/college_data/images/logos/1752230053Screenshot20250711160354.png?h=72&w=72&mode=stretch)
![Venkateshwara Open University - [VOU]](https://image-static.collegedunia.com/public/college_data/images/logos/1600157814Logo.jpg?h=72&w=72&mode=stretch)

![Government Industrial Training Institute Kalyani - [GITIK]](https://image-static.collegedunia.com/public/college_data/images/logos/1595843218gitiklogo.png?h=72&w=72&mode=stretch)


Comments