Tantia University Sriganganagar Ph.D Computer Science is offered as 3 Years Full Time program, with total intake of 1 seats. The minimum eligibility criteria for Ph.D is Post Graduation. The total fees for Tantia University Sriganganagar Ph.D Computer Science in 2025 is ₹ 2.31 Lakhs for the complete course duration, which includes total tuition fees of ₹ 2.25 Lakhs. Earlier, the fees in 2020 - 2021 for Ph.D Computer Science was ₹ 2.25 Lakhs.
Tantia University Sriganganagar Ph.D Computer Science fees in first year is ₹ 81,000. The detailed fees is mentioned below.Tantia University Sriganganagar Hostel Fee is ₹ 70,000 to 1.36 Lakhs.
Tantia University Sriganganagar offers a total of 1 seats for Ph.D Computer Science. Check Tantia University Sriganganagar Admission 2025
| Fees (2025 - 2026) | Year 1 (in INR) | Year 2 (in INR) | Year 3 (in INR) |
|---|---|---|---|
| Tuition Fees | ₹75000 | ₹75000 | ₹75000 |
| Admission Fees | ₹5000 | - | - |
| Processing Fee | ₹1000 | - | - |
| Yearly Fees | ₹81000 | ₹75000 | ₹75000 |
* Fees is refundable
| Fees | Year 1 (in INR) | Year 2 (in INR) | Year 3 (in INR) |
|---|---|---|---|
| Tuition Fees | ₹75000 | ₹75000 | ₹75000 |
| Yearly Fees | ₹75000 | ₹75000 | ₹75000 |
* Fees is refundable
The minimum eligibility for admission to Ph.D Computer Science at Tantia University Sriganganagar is Post Graduation.
Also Check:
| Course Highlights | Details |
|---|---|
| duration | 3 Years (Full Time) |
| course level | Doctorate (Degree) |
| mode of study | On Campus |
| total fees | ₹ 2.31 Lakhs |
| eligibility | Post Graduation |
12 Jun, 2025 Tantia University Sriganganagar has also released Ph.D Computer Science Fee Structure 2025-2026. The total academic fee is ₹ 2.31 Lakhs.
| Fee Type | Total Amount (INR) |
|---|---|
| tuition fee | ₹2.25 Lakhs |
| total academic fee | ₹2.31 Lakhs |
| hostel fee | ₹2.67 Lakhs |
| total fee | ₹4.98 Lakhs |

| Events | Dates |
|---|---|
| Admission Timeline [Ph.D] (Science) | Jun 30, 2025 |
Do you think the Dates are wrong ? Report Here
Search from 20K+ Courses and 35+ Streams
.png?h=78&w=78&mode=stretch)




![All India Institute of Medical Sciences - [AIIMS]](https://image-static.collegedunia.com/public/college_data/images/appImage/25796_COVER.png?h=111.44&w=263&mode=stretch)

![SMS Medical College - [SMSMC]](https://image-static.collegedunia.com/public/college_data/images/appImage/9879_1443530382SMSMC_NEW.png?h=111.44&w=263&mode=stretch)



![Sardar Patel Medical College - [SPMC]](https://image-static.collegedunia.com/public/college_data/images/appImage/57887_xd.png?h=111.44&w=263&mode=stretch)



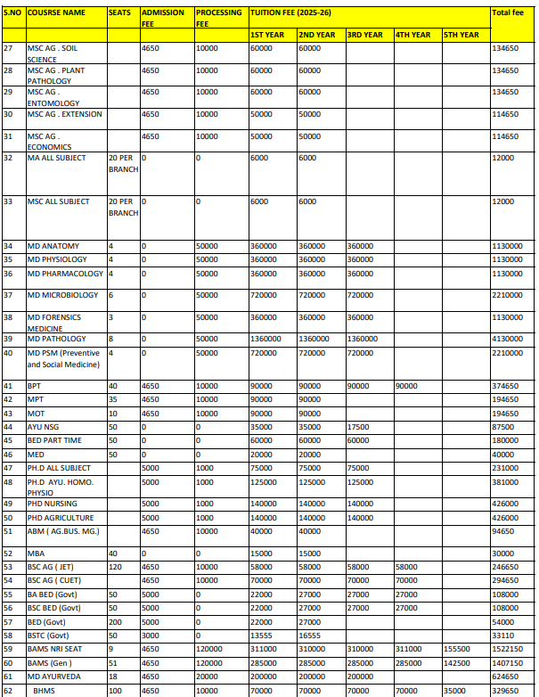
Comments