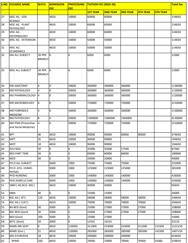
Tantia University Sriganganagar Diploma Ayurveda Nursing And Pharmacy is offered as 2 Years 6 Months Full Time program, with total intake of 50 seats. The minimum eligibility criteria for Diploma is 10+2. The total fees for Tantia University Sriganganagar Diploma Ayurveda Nursing And Pharmacy in 2025 is ₹ 87,500 for the complete course duration, which includes total tuition fees of ₹ 87,500. Earlier, the fees in 2021 - 2022 for Diploma Ayurveda Nursing And Pharmacy was ₹ 80,000.
Tantia University Sriganganagar Hostel Fee is ₹ 70,000 to 1.36 Lakhs.
Tantia University Sriganganagar offers a total of 50 seats for Diploma Ayurveda Nursing And Pharmacy. Check Tantia University Sriganganagar Admission 2025
| Fees (2025 - 2026) | Year 1 (in INR) | Year 2 (in INR) |
|---|---|---|
| Tuition Fees | ₹35000 | ₹52500 |
| Yearly Fees | ₹35000 | ₹52500 |
* Fees is refundable
| Fees | Year 1 (in INR) | Year 2 (in INR) |
|---|---|---|
| Tuition Fees | ₹40000 | ₹40000 |
| Yearly Fees | ₹40000 | ₹40000 |
* Fees is refundable
The minimum eligibility for admission to Diploma Ayurveda Nursing And Pharmacy at Tantia University Sriganganagar is 10+2.
Also Check:
| Course Highlights | Details |
|---|---|
| duration | 2 Years 6 Months (Full Time) |
| course level | UG Diploma (Diploma) |
| mode of study | On Campus |
| total fees | ₹ 87,500 |
| eligibility | 10+2 |
| Fee Type | Total Amount (INR) |
|---|---|
| tuition fee | ₹87,500 |
| total academic fee | ₹87,500 |
| hostel fee | ₹1.78 Lakhs |
| total fee | ₹2.66 Lakhs |

| Events | Dates |
|---|---|
| Admission Timeline [UG Diploma in Paramedical] | Jun 30, 2025 |
Do you think the Dates are wrong ? Report Here
Search from 20K+ Courses and 35+ Streams
.png?h=78&w=78&mode=stretch)




![All India Institute of Medical Sciences - [AIIMS]](https://image-static.collegedunia.com/public/college_data/images/appImage/25796_COVER.png?h=111.44&w=263&mode=stretch)

![SMS Medical College - [SMSMC]](https://image-static.collegedunia.com/public/college_data/images/appImage/9879_1443530382SMSMC_NEW.png?h=111.44&w=263&mode=stretch)



![Sardar Patel Medical College - [SPMC]](https://image-static.collegedunia.com/public/college_data/images/appImage/57887_xd.png?h=111.44&w=263&mode=stretch)



Comments