TS POLYCET 2018 SET A Question paper with answer key pdf conducted on April 21 in Forenoon Session 11 AM to 1 PM is available for download. The exam was successfully organized by State Board of Technical Education and Training. The question paper comprised a total of 120 questions.
TS POLYCET 2018 SET A Question Paper with Answer Key PDFs Forenoon Session
| TS POLYCET 2018 SET A Question Paper PDF | TS POLYCET 2018 SET A Answer Key PDF |
|---|---|
| Download PDF | Download PDF |
TS POLYCET Previous Year Question Papers
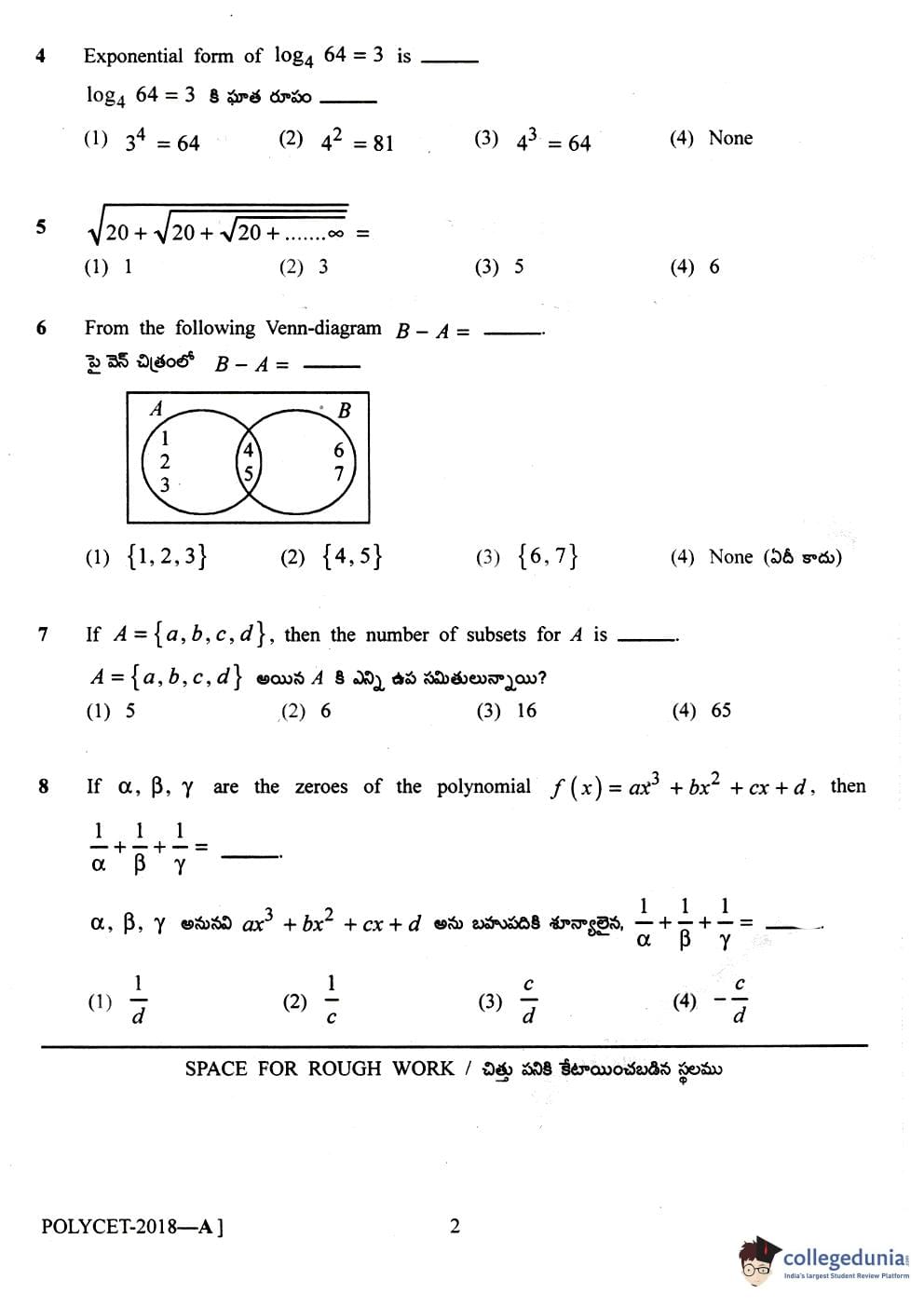
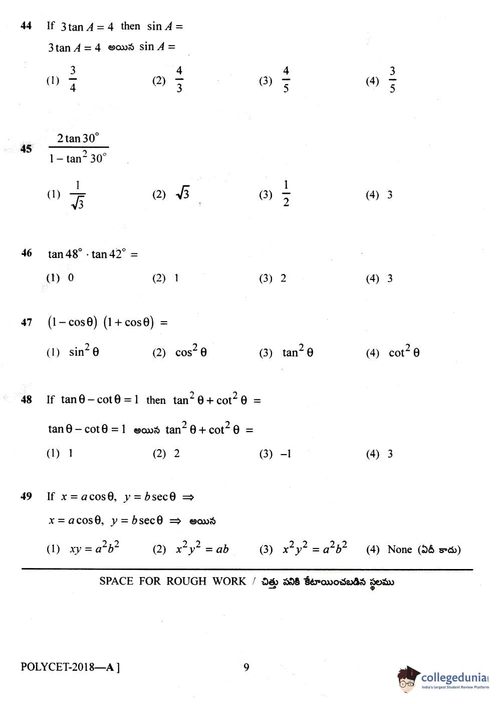
| TS POLYCET 2019 Question Papers | TS POLYCET 2018 Question Papers |
| TS POLYCET 2017 Question Papers | TS POLYCET 2016 Question Papers |



Comments